, противогрибковые, противопротозойные и противопарази- тарные средства
Вирусы
НАИБОЛЕЕ РАСПРОСТРАНЕНЫЕ ВИРУСНЫЕ ЗАБОЛЕВАНИЯ
Трудности лечения вирусных инфекции и создания противовирусных препаратов
Variety of viruses
Разнообразие вирусов
Классификация противовирусных средств
Классификация противовирусных средств по спектру действия
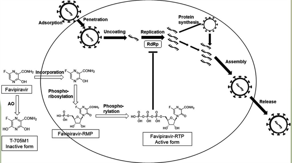
Аналоги нуклеозидов
Аналоги нуклеозидов
Аналоги нуклеозидов
Аналоги нуклеозидов
Аналоги нуклеозидов
Производные адамантана
Производные адамантана
Ингибиторы нейраминидазы
Ингибиторы протеазы
Ингибиторы протеазы
Ингибиторы фузии (слияния)
Препараты, активные в отношении ВИЧ - противоретровирусные средства (ПРВС)
Препараты, активные в отношении вируса гепатита С
Противогрибковые средства
Актуальность
Микозы - классификация
Кандидозы
Поверхностные дерматомикозы
Поверхностные дерматомикозы
Dermatomycosis - Subcutaneous
Системные микозы
Особенности физиологии и строения микроскопических грибков
Клеточная стенка грибков
Механизмы действия противогрибковых препаратов
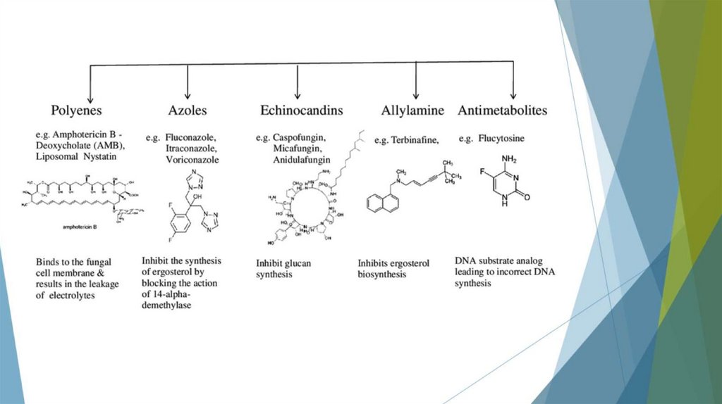
Классификация противогрибковых средств
Полиеновые антибиотики
Полиеновые антибиотики
Азолы
Азолы
Азолы
Аллиламины
Эхинокандины
Эхинокандины
Гризеофульвин
Гризеофульвин
Гризеофульвин
Противопротозойные средства
Притивопротозойные средства: классификация
МАЛЯРИЯ
МАЛЯРИЯ - эпидемиология
МАЛЯРИЯ - эпидемиология
Жизненный цикл плазмодий
1. Экзоэритроцитарная шизогония
2. Эритроцитарная шизогония
3. Гаметоцитогония
Жизненный цикл плазмодий
Лечение малярии направлено:
Противомалярийные средства
Пириметамин
Амебиаз
Средства для лечения амебиаза
Химиотерапия амебиаза (на основе кинических рекомендаций)
Средства для лечения амебиаза (не применяются в РФ)
Нитроимидазолы
МЕХАНИЗМ ДЕЙСТВИЯ ИМИДАЗОЛОВ
Трихомониаз
Лямблиоз (гиардиаз)
Лейшманиоз
Противолейшманиозные средства
Антигельминтные (противоглистные) средства
Актуальность
Наиболее частые гельминтозы
Аскаридоз
Энтеробиоз
Стронгилоидоз (угричная инфекция, ползучая сыпь)
Дракункулез (ришта)
Анкилостомоз
Ангиостронгилез (Легочная нематода крыс)
Наиболее частые гельминтозы
Цестодозы – клинические проявления
Эхинококкоз
Наиболее частые гельминтозы
Описторхоз
Шистосомоз
Противоглистные средства
Препараты для лечения нематодозов
Препараты для лечения цестодозов и трематодозов
Препараты для лечения внекишечных гельминтозов
Празиквантел
Албендазол
Левамизол
Пирантел
Пиперазина адипинат
Препараты для лечения нематодозов
Препараты для лечения цестодозов и трематодозов
Препараты для лечения внекишечных гельминтозов
Фитопрепараты
Эктопаразиты человека
Педикулёз
Чесотка
Средства для лечения кожных паразитозов
Средства для лечения кожных паразитозов
24.70M
Category: medicinemedicine

Противогрибковые, противопротозойные и противопаразитарные средства

1. , противогрибковые, противопротозойные и противопарази- тарные средства

English     Русский Rules