327.00K
Category: chemistrychemistry

Решение задач

1.

РЕШЕНИЕ ЗАДАЧ
Расчёт величины адсорбции по уравнению Ленгмюра при
заданных константах.
Экспериментально установлено, что максимальная величина
адсорбции ПАВ (Mr=60) некоторым адсорбентом составляет
5,0*10-3моль/г; α=0,06 моль/л. Сколько граммов вещества
адсорбировалось из раствора с равновесной концентрацией
0,1моль/л двумя граммами данного адсорбента?

2.

Расчёт осевой длины и площади поперечного сечения молекулы по
величине предельной адсорбции.
Площадь поперечного сечения молекулы пальмитиновой кислоты равна
2,1*10-19 м2. Определите величину предельной адсорбции
пальмитиновой кислоты на границе бензольный раствор – воздух.
Вычислите объём раствора, содержащего 4,24 г кислоты в 1 л бензола,
требуемый для покрытия монослоем (после испарения бензола) 1,5 м2
водной поверхности.

3.

Задача №1 При изучении адсорбции стеариновой кислоты С17Н35СООН на поверхности водного
раствора найдено, что максимальная величина адсорбции Г∞ =7,465.10-10 моль/см2. Плотность кислоты
850 кг/м3. Найдите площадь поперечного сечения молекулы s и длину молекулы l.
Решение. Все поверхностные молекулы воды характеризуются ненасыщенными межмолекулярными водородными связями, т. Е.
можно считать, что они являются активными центрами. Если на каждом активном центре адсорбируется одна молекула кислоты, то в
пределе поверхность воды сплошь покроется молекулами кислоты, причём полярная группа –СООН втягивается в воду, неполярный
радикал
-С17Н35 вытягивается из воды в воздух образуя «частокол».
Площадь, занимаемая одним молем кислоты при образовании мономолекулярного слоя, есть величина, обратная Г∞.
2
1
1
9 см
1,340 10
Г 7,465 10 10
моль
Тогда площадь, занимаемая одной молекулой, или же площадь поперечного сечения молекулы
s
1,340 10 9 1,340 10 9
22,2 10 16 см 2 22,2 10 20 м 2
23
NA
6,023 10
Где NА- число Авогадро. Объём одного моля кислоты равен отношению молярной массы к плотности
M
284,49 г
3
моль 334 см
V
моль
0,85 г 3
см
Если молекулы кислоты расположены в виде монослоя, то высота монослоя или же длина молекулы определяется из
соотношения: V=slNA
Отсюда:
l
V
334,69
25,0 10 8 см
sN A 22,2 10 16 6,023 10 23

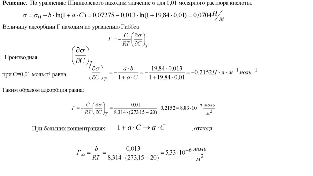
4.

Задача №2 Изменение поверхностного натяжения σ водных растворов маслянной
кислоты С3Н7СООН с концентрацией с при температуре 20ОС подчиняется
эмпирическому уравнению Шишковского
0 b ln(1 aс)
Где b=0,013Н.м-1 и a=19,84л.моль-1. Поверхностное натяжение чистой воды при
20ОС равно σ0=0,07275 Н.м-1. Найдите поверхностное натяжение и величину
адсорбции для 0,01 молярного раствора кислоты. Рассчитайте предельное
значение адсорбции Г∞.

5.

Решение. По уравнению Шишковского находим значение σ для 0,01 молярного раствора кислоты.
0 b ln(1 a C ) 0,07275 0,013 ln(1 19,84 0,01) 0,0704 H м
Величину адсорбции Г находим по уравнению Гиббса
С
Г
RT C T
Производная
C T
a b
19,84 0,013
0,2152 Н л м 1 моль 1
1 a C
1 19,84 0,01
C T
при С=0,01 моль.л-1 равна:
Таким образом адсорбция равна:
Г
С
0,01
моль
0,2152 8,83 10 7
RT C T 8,314 (273,15 20)
м2
При больших концентрациях:
Г
1 а С а С
, отсюда:
b
0,013
моль
5,33 10 6
RT 8,314 (273,15 20)
м2

6.

1. При конденсации тумана, состоящего из капель кадмия, образовалось 12. 10 - 6 м 3
жидкого кадмия. Поверхностное натяжение при температуре конденсации равно
570мДж/м2. Cвободная поверхностная энергия всех капель составляла 53 Дж. Вычислите
дисперсность и диаметр капель жидкого кадмия.
2. Рассчитайте полную поверхностную энергию 10 г эмульсии гексана в воде с
концентрацией 70% массовых и дисперсностью D=1 мкм-1 при температуре 298 К.
Плотность гексана при этой температуре 0,655 г/см3, поверхностное натяжение
18,41 мДж/м2, температурный коэффициент поверхностного натяжения гексана
dσ/d T= -0,104 мДж/(м2 К).
English     Русский Rules