8.80M
Category: chemistrychemistry

Липиды и их функции. Лекция 20

1.

Лекция 20
Липиды и их функции

2.

Липиды – это вещества разного строения, хорошо растворимые в
неполярных органических растворителях (эфире, ацетоне,
хлороформе и др.), но не в воде.
Липиды, относительно растворимые в воде, являются исключениями (например, - лизолецитины)
Липиды – НЕ биополимеры!
Типичный липид - это сложный эфир высших жирных кислот (ЖК) и
многоатомных спиртов
Высшие ЖК – больше 12, но чаще от 16 С.

3.

Функции липидов
1) Структурная (в мембранах – фосфолипиды, гликолипиды, стерины, пчелиных сотах – воска)
2) Запасающая - резервная (ТАГ (триацилглицерины) в жировой ткани, в горбе верблюда,
в семенах масличных культур)
3) Энергетическая. 1г ТАГ – 39 кДж (1 г глюкозы 16,9 кДж) (около 10 ккал). Жиры должны
составлять 30-35% от общей калорийности рациона.
4) Источник эндогенной воды. При окислении 100 г ТАГ выделяется 107 мл воды.
5) Защитная – от to, механических повреждений, свободных радикалов…
6) Регуляторная и сигнальная – гормоны, вторичные мессенджеры производные
липидов.

4.

Химизм липидов
“Типичный” липид - это сложный эфир высших жирных кислот (ЖК) и
многоатомных спиртов
Высшие ЖК – больше 12 С, чаще от 16 (до 36).
Многоатомные спирты – несколько групп –ОН
Жирные кислоты часто образуют со спиртами сложноэфирную связь:

5.

Спирты в составе липидов
Глицерин
Сфингозин
(С18:1, (С4); 2-NH2; 3-ОН)
Есть аминоспирты, состоящие из 16, 17,19, 20 С.
Холестерол
!
- место присоединения жирной кислоты

6.

Разнообразие ЖК (известно более 200)
двойные связи, норма между 9=10. исключение – арахидоновая!

7.

Жирные кислоты
С12
С14
С16
(См. учебник
Анисимова)
СН3 - (СН2)10 - СООН
СН3 - (СН2)12 - СООН
СН3 - (СН2)14 - СООН
СН3 - (СН2)16 - СООН
С18
С16
С18
С18
СН3 - (СН2)5 - СН=СН - (СН2)7 - СООН
СН3 - (СН2)7 - СН=СН - (СН2)7 - СООН
СН3 - (СН2)4 - СН=СН - СН2 - СН = СН - (СН2)7 - СООН
СН3 - СН2 - СН=СН - СН2 - СН = СН - СН2 - СН = СН - (СН2)7 - СООН
С18
С20
СН3 – (СН2)4 - СН=СН - СН2 - СН = СН - СН2 - СН = СН - СН2 - СН = СН - (СН2)3 - СООН

8.

Жирные кислоты
С12
С14
С16
(См. учебник
Анисимова)
СН3 - (СН2)10 - СООН
СН3 - (СН2)12 - СООН
СН3 - (СН2)14 - СООН
СН3 - (СН2)16 - СООН
С18
С16
С18
С18
СН3 - (СН2)5 - СН=СН - (СН2)7 - СООН
СН3 - (СН2)7 - СН=СН - (СН2)7 - СООН
СН3 - (СН2)4 - СН=СН - СН2 - СН = СН - (СН2)7 - СООН
СН3 - СН2 - СН=СН - СН2 - СН = СН - СН2 - СН = СН - (СН2)7 - СООН
С18
С20
СН3 – (СН2)4 - СН=СН - СН2 - СН = СН - СН2 - СН = СН - СН2 - СН = СН - (СН2)3 - СООН

9.

Изомерия ненасыщенных ЖК
• Природные – в большинстве цис
• Проблема транс-жиров
1925 Эванс, Бэр
Цис- С18:1; C9 – олеиновая. При комнатной t0 – жидкая.
Более реакционноспособна.
Незаменимые ЖК должны быть
ЦИС-изомерами
Транс-изомеры – антагонисты
незаменимых ЖК (в маргарине)
Ее транс-изомер (элаидиновая). При комнатной t0 - твердая

10.

Жирные кислоты
- пальмитиновая кислота

11.

Незаменимые (эссенциальные) для человека и животных
полиненасыщенные ЖК
ОМЕГА-3
Представители:
α-линоленовая (18:3, 9,12,15 т.е. 18-3),
эйкозапентаеновая (20:5, 5, 8,11,14,17 т.е. 20-3)
ОМЕГА-6
Представители:
линолевая кислота (18:2, 9,12 т.е. 18-6)
арахидоновая (20:4, 5,8,11,14, т.е.20-6)
(“ЭЙКОЗА” (греч.) – 20)
12
18
15
При недостатке:
- Чешуйчатые дерматиты,
- Нарушения транспорта липидов, синтеза мембран
- проблемы с репродукцией (для крыс)
18
Группа риска:
- искусственное вскармливание детей,
- длительное внутривенное питание больных

12.

ЖК могут сами выполнять определенные функции
“ЭЙКОЗА” (греч.) - 20
Арахидоновая к-та С20:4– предшественник эйкозаноидов
Она составляет 20-25% от всех ЖК фосфолипидов клеточных и субклеточных биомембран.
Олеиновая к-та (С18:1) – некрофорез у общественных насекомых

13.

Эйкозаноиды
1. Простагландины
2. Тромбоксаны
Функции:
- раздражение и реакции иммунной системы на
введенные токсины и патогены.
- рост мышечной ткани,
- нейромедиаторы и гормоны
3. Лейкотриены

14.

Классификация липидов
1. Ацилглицеролы
2. Фосфолипиды
3. Гликолипиды
4. Стерины (стероиды)
5. Воска
6. Терпены и терпеноиды

15.

Классификация липидов

16.

1. Ацилглицеролы
(нейтральные липиды)
ДАГ – диацилглицеролы
ТАГ – триацилглицеролы
Если все три кислотных радикала принадлежат одной и той же
жирной кислоте, то такие триацилглицеролы называют простыми,
если же разным жирным кислотам, — то смешанными.
1-стеарино-2-лауролаурин
Функции:
- Резервно-энергетическая
- энергосберегающая
Реакция омыления жиров

17.

Собрать ДАГ с участием:
миристиновой (С14:0) и
олеиновой (С18:1, C9)
миристиновая
Кислоту нужно перевернуть к глицерину!
олеиновая

18.

2. Фосфолипиды
В составе – фосфат
2.1. Глицерофосфолипиды
2.2. Сфингофосфолипиды

19.

2.1. Глицерофосфолипиды
Общая формула глицерофосфолипида
Х – полярная группа
Фосфатидная кислота = “фосфатидил”
Общая формула фосфатидаля (плазмалогена)
Общая формула лизофосфолипида
В фосфатидалях Х = холин, серин,
этаноламин

20.

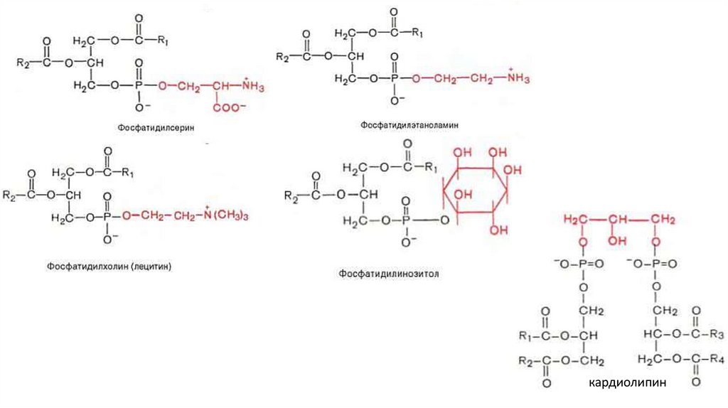
Полярная группа Х в фосфолипидах:
1) Этаноламин
2) холин – в липидах ЛЕЦИТИНАХ
3) Серин
4) Глицерин (глицерин-2 ЖК-ФК + глицерин)
5) Инозит
6) Фосфатидилглицерин
(глицерин-2 ЖК-ФК + глицерин + ФК-2ЖК-глицерин)
7) сахар (например, галактоза) (фосфатидилсахара
только у растений)
(учить формулы, уметь присоединять
через фосфорную кислоту Х)

21.

кардиолипин

22.

“Лизофосфолипиды”
Лизофосфатидилхолин и лизофосфатидилэтаноламин
оказывают сильное гемолитическое действие

23.

Задания в контрольной
Написать формулу фосфатидилэтаноламина –
производного двух остатков олеиновой кислоты (С18:1, C9)
Написать формулу фосфатидилсахара,
содержащего любые ЖК и глюкозу
Этаноламин
ЖК расписать!

24.

2.2. Сфингофосфолипиды
сфингозин
Или так:
церамид
(сфингозин+ЖК)
Если Х= холин, то липид – СФИНГОМИЕЛИН:

25.

3. Гликолипиды
Сахар присоединен НЕ через фосфат.
3.1.Гликоглицеролипиды
(например гликозилдиацилглицерины)
Фосфат отсутствует.
3.2. Гликосфинголипиды
- цереброзиды
- церамидолигосахариды
- ганглиозиды
Функции гликосфинголипидов:
Есть только у растений!
1) входят в состав мембран нервных клеток
2) выполняют роль антигенов клеточной поверхности
3) участвуют в восприятии сигналов клеткой

26.

Цереброзиды
(церамид + сахар)
Церамидолигосахариды
(церамид = сфингозин + ЖК)
галактоцереброзид или галактозидцерамид
ЖК здесь – цереброновая (С24:0, 2-OH)
Церамид + один моносахарид
Церамид + несколько моносахаридов

27.

Ганглиозиды
(=сиаловая кислота)
Церамид + несколько моносахаридов, в том числе сиаловая кислота

28.

Сфинголипиды
Сфингофосфолипиды
Гликосфинголипиды
Сфингомиелин
Цереброзиды
Церамидоолигосахара
Ганглиозиды
+ фосфор и
полярная группа
Сфингозин + жирная кислота = церамид
+ углевод

29.

4. Стерины (стеролы)
Эфир холестерина с жирной кислотой
Холестерид
Основа всех стеролов структура
циклопентанпергидрофенантрена
Функции стеролов:
1) Структура мембран
2) Предшественники для синтеза
- стероидных гормонов
- желчных к-т

30.

Примеры стероидных гормонов
Животные
Растения

31.

5. Воска
Это сложные эфиры
высших многоатомных алифатических спиртов С22-С32 (редко – ароматических) и
высших ЖК (часто С24-С36)
+ углеводороды парафинового ряда
Пчелиный воск:
до 33% мирицилпальмитата:
Пальмитиновая к-та С16:0
+
Мирициловый спирт
СН3-(СН2)30-ОН
или
1-триаконтанол
СН3-(СН2)29-ОН

32.

Карнаубский воск (с листьев бразильской пальмы
Copernicia cerifera – до 7г с 1 листа):
до 80% - эфира
мирицилового спирта и церотиновой к-ты С26:0
Церотиновая и карнаубовая к-ты – только в восках
Спермацет тоже относят к воскам

33.

5. Терпены
ОСНОВА - изопрен
Терпеноиды – О-содержащие терпены
Убихинон человека включает 10 остатков
изопрена (Q10)
Сквален - предшественник терпенов
животных (стероидов)
Долихол (n= 8-10)
Долихол участвует в
гликозилировании белков в ЭПР

34.

Изопрен в витамине Е

35.

Для подготовки к контрольной работе по липидам
1. Классификация липидов.
2. Уметь узнавать по формуле, к какому классу и подклассу липидов относится данное
соединение.
3. Уметь написать формулу предложенного липида.
4. Знать формулы следующих жирных кислот: олеиновой, пальмитиновой, стеариновой,
линолевой, линоленовой, арахидоновой. Как (какой группой) они присоединяются к
спиртам.
5. Знать формулы спиртов: глицерина, сфингозина, холестерола. И куда к ним
присоединяются ЖК

36.

Общая схема строения “типичного” липида
Модели строения
триацилглицеринов
Модели строения
жирных кислот

37.

Фосфолипиды входят в состав клеточных мембран
цепь сфингозина
Функции фосфолипидов:
- структурная
- регуляторная (участие в сигнальных
каскадах (фосфатидилинозитолы)

38.

Эхолокация у китов
Спермацет (твердый воск, выделенный из головы кашалота).
Состоит в основном из гексадецилового эфира пальмитиновой
кислоты С15Н31СООС16Н33.
Применяют в производстве кремов, мазей, смазок и мыла
English     Русский Rules