МКТ РЕШЕНИЕ ЗАДАЧ.
ФОРМУЛЫ
457.00K
Category: physicsphysics

МКТ. Решение задач

1. МКТ РЕШЕНИЕ ЗАДАЧ.

2.

Советы по решению задач на газовые
законы
1. Если в задаче рассматривается одно
состояние газа и требуется найти какойнибудь параметр этого состояния, нужно
использовать уравнение МенделееваКлайперона. Если значения давления и
объема явно не заданы, их нужно выразить
через данные в условии величины.
2. Если в задаче рассматриваются два
состояния газа и его масса остается
постоянной, можно применять уравнение
Клайперона. Если же при этом не
изменяется еще один из параметров
(давление, объем, температура),
используют закон, описывающий данный
изопроцесс.
3. Если в двух состояниях масса газа разная,
то для каждого состояния записывают
уравнение Менделеева – Клайперона. Затем

3. ФОРМУЛЫ

m
плотность кг / м 3
V
M m0 N A
M M 10
2
p nE
3
p nkT
3
r
m
m
N N A N A
M
M
N
n
V
[кг/моль]
3
Ek kT
2
p1V1 p2V2
T1
T2
m
pV
RT
M
k = 1, 38∙10-23 Дж/К

4.

В компрессоре воздух быстро
подвергается сильному сжатию.
Изменяется ли состав и размеры
молекул? промежутки между
молекулами?

5.

Каким способом можно ускорить
процесс засолки огурцов? Объясните
это явление.

6.

Воспользуйтесь таблицей Менделеева и
определите молярную массу ацетилена
С2H2. Чему равна масса одной
молекулы ацетилена в единицах в
единицах СИ?
формулы

7.

Дано:
M 2 12 2 1 26 10 3 кг / моль
С2H2
m0
М-?
26 10 3
=4∙10-26 кг
m0
23
6 10
m0 - ?
M
NA
Ответ: 26∙10-3кг/моль;
4∙10-26кг

8.

Сколько молекул содержится в 10 г
углекислого газа?
формулы

9.

Дано:
СИ
СО2
m=10 г
m
N NA
M
1∙10-2 кг
10 2
N 6 10
1,36∙1023
3
44 10
23
N-?
Ответ: 1,36∙1023

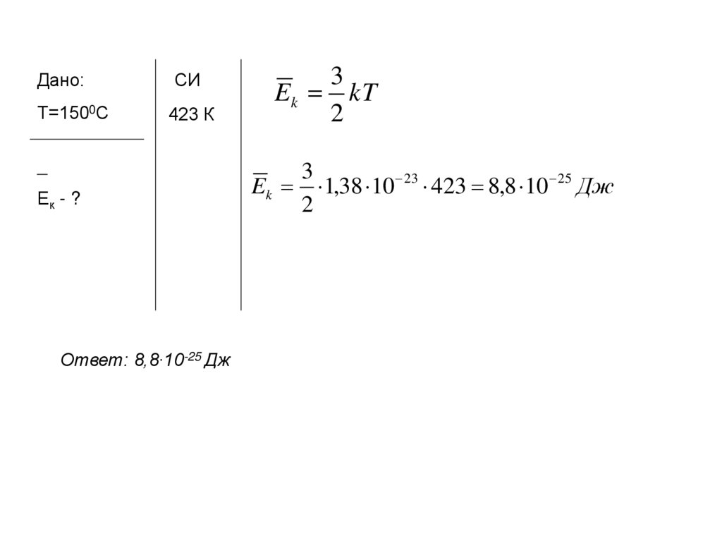
10.

Определите среднюю кинетическую
энергию поступательного движения
молекулы газа при температуре 1500С.
формулы

11.

Дано:
СИ
Т=1500С
423 К
_
Ек - ?
Ответ: 8,8∙10-25 Дж
3
Ek kT
2
3
Ek 1,38 10 23 423 8,8 10 25 Дж
2

12.

В сосуде вместимостью 2 л
находится кислород при
температуре 270С и давлении
2∙105 Па. Определите массу
кислорода в сосуде.
советы по
решению
формулы

13.

Дано:
СИ
О2
V=2л
2∙10-3 м3
Т = 27 0С
300 К
p = 2∙105 Па
pV
m
RT
M
2 105 2 10 3 32 10 3
m
0,051∙10-1 кг =
8,31 300
=5,1∙10-3 кг
m-?
Ответ: 5,1∙10-3кг
pVM
m
RT

14.

Баллон вместимостью 40 л содержит
кислород массой 2,6 кг. При какой
температуре возникает опасность
взрыва, если допустимое давление не
более 50∙105 Па?
советы по
решению
формулы

15.

Дано:
СИ
О2
V = 40 л
40∙10-3 м3
m = 2,6 кг
p = 50∙105 Па
Т-?
Ответ: 296 К
pV
m
RT
M
pVM
Т
mR
50 105 40 10 3 32 10 3
T
296 К
2,6 8,31

16.

Объем воздуха в баллоне при
температуре 170С и давлении 5∙105 Па
равен 8 л. Определите давление
воздуха, если объем его уменьшился в
4 раза, а температура повысилась до
1270С.
советы по
решению
формулы

17.

Дано:
СИ
Т1=170С
290 K
Т2=1270С
400 К
p1V1 p2V2
T1
T2
p1V1T2 4 p1V1T2 4 p1T2
p2
T1V1
T1
T1V2
p1=5∙105 Па
V1=8 л
8∙10-3 м3
V2=1/4V1
2∙10-3 м3
p2 - ?
Ответ: 27,6∙105 Па
4 5 105 400
p2
27,6 105 Па
290

18.

Газ изотермически сжимают от объема 4
л до объема 2 л. При этом давление
возрастает на 1,5∙105 Па. Определите
начальное давление газа.
советы по
решению
формулы

19.

СИ
p1V1 = p2V2
V1 = 4 л
4∙10-3 м3
V2 = 2 л
2∙10-3 м3
( p1 1,5 105 ) 2 10 3
p1
4 10 3
Дано:
Т = const
p2 = p1+ 1,5∙105 Па
2 p1 p1 1,5 105
p1 - ?
p1 1,5 105 Па
Ответ: 1,5∙105 Па
p2V2
p1
V1

20.

Газ при температуре 170С занимает
объем 230 см3. Определите объем
этого газа при температуре 00С.
Процесс изобарный.
советы по
решению
ФОРМУЛЫ

21.

Дано:
СИ
p = const
V1 = 230 cм3
230∙10-6 м3
Т1 = 170С
290 K
Т2 = 00С
273 K
V2 - ?
Ответ: 217∙10-6 м3
V1 V2
T1 T2
V1T2
V2
T1
230 10 6 273
V2
217 10 6 м 3
290
English     Русский Rules