771.74K
Category: medicinemedicine

Организация медицинской помощи сельскому населению

1.

Организация медицинской помощи
сельскому населению
Преподаватель:
Глухов Алексей Валерьевич

2.

Особенности в оказании МП сельским жителям
Низкая плотность населения, разбросанность населенных пунктов и
их отделенность друг от друга и от медицинских организаций, в связи
с чем медицинская помощь удаляется от села
Плохое качество или отсутствие дорог, увеличивающее время доезда
скорой помощи в экстренных ситуациях
Проблемы с общественным транспортом в глубинке при
недостаточных материальных возможностях населения
Специфика сельскохозяйственного труда (сезонность полевых работ,
зависимость от погодных условий и пр.). Профилактический осмотр
сельских жителей рекомендовано проводить в осенне-зимний период,
чтобы до начала полевых работ закончить оздоровление выявленных
больных.

3.

• Отличные от городских условия и образ жизни населения,
оказывающие свое влияние на формирование здоровья
населения: тяжелый физический труд, низкий уровень
благосостояния, недостаточная санитарная культура
• Недостаточная по сравнению с городским населением
доступность медицинской помощи в связи с реорганизацией
сельского здравоохранения. Закрытие ряда ФАПов,
участковых и районных больниц, неукомплектованность их
медицинским персоналом. Сокращение в результате
оптимизации коечного фонда сельских и районных больниц
привело к увеличению смертности сельского населения по
сравнению с городским, в том числе от сердечно-сосудистых

4.

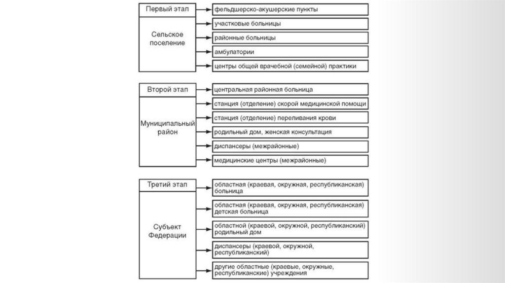
Этапы оказания МП сельским жителям
Первый этап (сельское поселение) – ФАП как структурное
подразделение участковой или центральной районной больницы;
врачебная амбулатория, участковая больница; районная больница.
Рекомендуемая численность обслуживаемого ФАП населения – 300700 чел., включая детское население.
Второй этап (муниципальный район) – ЦРБ (стационар, в том
числе родильное и акушерское отделения, поликлиника, женская и
детская консультация, отделение скорой медицинской помощи);
межрайонная больница
Третий этап (субъект РФ) – РБ, ДРБ, РИБ, республиканские
диспансеры

5.

6.

ФАП в Лахколампи (Суоярвский район)

7.

8.

• ФАП организуется в сельских населенных пунктах как
отдельное структурное подразделение участковой, районной
или центральной районной больницы. В основу организации
деятельности ФАПа положен семейно-территориальный
принцип.
• Основной задачей является обеспечение:
доступной и качественной доврачебной первичной медикосанитарной помощи
неотложной медицинской помощи
содействия в оказании паллиативной помощи и в решении
медико-социальных проблем семьи (обеспечение
бесплатными лекарствами, изделиями медицинского

9.

На ФАПе организуются:
Амбулаторный прием обратившихся пациентов
Посещение пациентов на дому по вызову
Проведение для пациентов образовательных программ (школ
здоровья)
Отбор пациентов для проведения скрининговых исследований
Лечение больных в пределах компетенции фельдшера
Направление на срочную/плановую госпитализацию пациентов
фельдшером
Ведение медицинской документации
Взаимодействие с другими учреждениями здравоохранения

10.

Функции фельдшера ФАП
Осуществляет доврачебный амбулаторный прием пациентов
Ведет наблюдение за состоянием здоровья и развитием детей первого года
жизни (патронаж здоровых детей первого года жизни)
Обеспечивает требования контроля по инфекционной безопасности
Осуществляет диагностику синдромов и заболеваний в пределах своей
компетенции
Сообщает врачу врачебной амбулатории, участковой больницы или ЦРБ обо
всех обнаруженных тяжелых заболеваниях и осложнениях у пациентов
Проводит электрокардиографическое исследование: определяет типичные
ЭКГ–признаки инфаркта миокарда и острых нарушений ритма

11.


Вводит лекарственные препараты, в том числе
противошоковые средства, больным по жизненным
показаниям
Назначает соответствующее обследование,
лечение, выписывает рецепты на лекарственные
препараты в пределах своей компетентности,
выдает листки нетрудоспособности сроком до 10
дней.

12.

• Заведующий ФАПа находится в непосредственном
подчинении руководителя вышестоящего
медицинского учреждения или его структурного
подразделения: врачебной амбулатории,
участковой больницы, центральной районной
(городской) больницы, заместителя главного врача
по амбулаторной службе

13.

Обязанности акушерки ФАП
Несет ответственность, за обеспечение и уровень оказания
медицинской помощи беременным и гинекологическим больным, а
также за санитарнопросветительную работу по вопросам охраны
материнства и детства
Выявляет беременных и гинекологических больных и оказывает им
соответствующую лечебно-профилактическую помощь
Непосредственно подчиняется заведующему ФАПа, Методическое
руководство ее работой осуществляет врач лечебно-профилактического
учреждения, на которого возложена ответственность за оказание
акушерско-гинекологической помощи населению на территории
деятельности ФАПа

14.

В этих целях акушерка ФАП:
ведёт амбулаторный прием, осуществляет патронаж беременных
(дородовый патронаж) и родильниц на дому
оказывает экстренную акушерскую и гинекологическую помощь с
последующим вызовом врача или направлением женщин в
соответствующие медицинские организации, сопровождая их в
необходимых случаях лично
своевременно направляет беременных к врачам и в
соответствующие стационары
проводит профилактические осмотры женщин согласно
установленным срокам
проводит санитарно-просветительную работу среди населения по
вопросам охраны материнства и детства

15.

Врачебная амбулатория
В последнее время во многих субъектах РФ происходит процесс реорганизации
участковых больниц и амбулаторий в центры общей врачебной (семейной)
практики.
Врачебная амбулатория может быть самостоятельной медицинской организацией
(Толвуйская амбулатория) или входить в состав участковой больницы. Однако,
независимо от мощности, в ее задачи, прежде всего, входят оказание
амбулаторной помощи терапевтическим и инфекционным больным, помощь в
родах, лечебнопрофилактическая помощь детям, экстренная хирургическая и
травматологическая помощь. Врачи ведут прием взрослых и детей,
осуществляют вызовы на дом и неотложную помощь. В приеме больных могут
принимать участие и фельдшера, однако амбулаторная помощь в сельской
врачебной амбулатории преимущественно должна оказываться врачами.
Проводится экспертиза временной нетрудоспособности, а в случае
необходимости больные направляются на МСЭ.
English     Русский Rules