3.67M
Category:
finance
Similar presentations:
Вклады. Кредиты. Комиссии
Банки: вклады и кредиты
Банки. Вклады. Кредиты
Сберегательные вклады. Кредиты (тема 1.2)
Статистика кредита
Финансовая математика. Банки, вклады, кредиты ( 1 часть)
Деньги, банки и кредиты
Банк. Кредиты. Банковские вклады. Операции с ценными бумагами
Финансовая математика: банки, вклады, кредиты. Часть 2
Финансовая математика. Кредиты
Вклады, кредиты
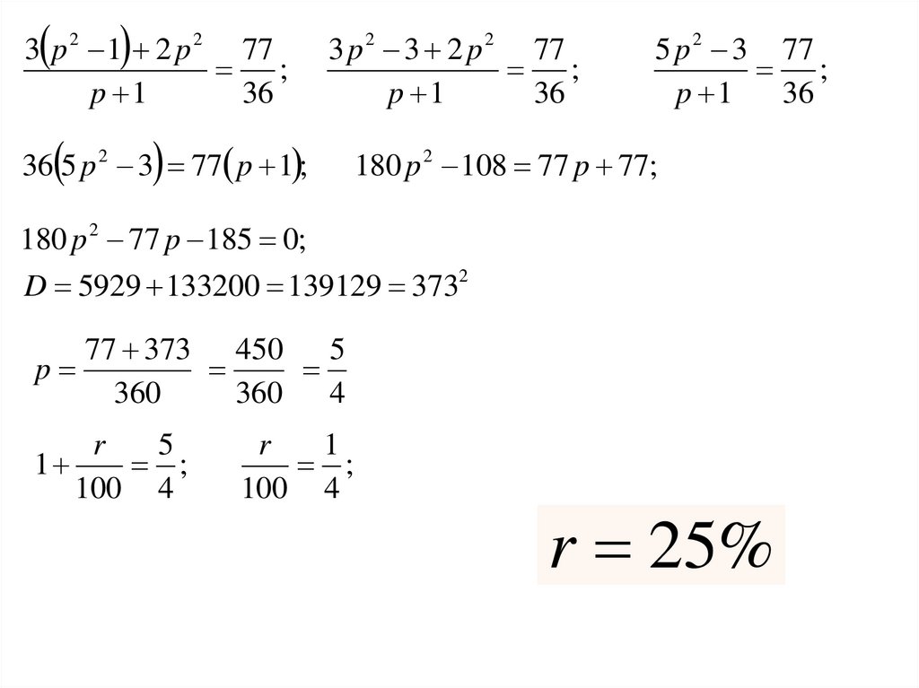
1.
ВКЛАДЫ
КРЕДИТЫ
2.
p
k= 1 +
р%- процентная ставка
100
Qn - размер вклада по итогам n-го года
p
p
Q1 =Q+Q100 =Q 1+ 100 =Q∙k
English
Русский
Rules