План лекции:
Радиус-вектор − проводится из начала координат точки О в точку где находится тело в данный момент времени.
1.90M
Category: physicsphysics

Кинематика

1.

Кафедра физики
ФИЗИКА
КИНЕМАТИКА
Подготовила Тенчурина А.Р.

2. План лекции:

Основные модели
Кинематические уравнения движения
Скорость
Ускорение
Графики
Вращательное движение
Угловые скорость и ускорение
Связь между линейными и угловыми
величинами

3.

Материальная точка − тело размерами
которого можно пренебречь в условиях
данной задачи.

4.

Абсолютно твёрдое тело ни при каких
условиях не может деформироваться и при всех
условиях расстояние между двумя частицами
этого тела остаётся постоянным.

5.

Система отсчёта – совокупность тела
отсчёта, связанной с ним системы
координат и синхронизированных между
собой часов.

6.

Для определения положения точки в
пространстве необходимо задать три
координаты

7. Радиус-вектор − проводится из начала координат точки О в точку где находится тело в данный момент времени.

r r (t )

8.

Кинематические уравнения движения
x x(t )
y y (t )
z z (t )
r r (t )
Верхняя система уравнений записана в
скалярном виде, нижнее в векторном виде

9.

Линия по которой движется тело называется
траекторией. Длина этой линии есть путь.
Вектор проведенный из начального положения
в конечное называется - перемещением
2
S – путь
r1,2 –перемещение
r1,2
S
1

10.

При
прямолинейном
движении
вектор
перемещения совпадает с траекторией и модуль
перемещения Δr равен пройденному пути ΔS
При поступательном движении любая прямая
жестко связанная с телом и проведённая через
две произвольные точки данного тела остается
параллельной самой себе

11.

Скорость- векторная величина, которая определяет
быстроту движения и направление в данный момент
времени. Вектор скорости направлен по касательной
к траектории движения.
v

12.

Средняя скорость
S
t
1
Мгновенная
скорость
2

13.

При прямолинейном равномерном движении тело
за
равные промежутки времени проходит
одинаковый путь

14.

График скорости
const
S

15.

График пути
S
t
s
t
tg

16.

График координаты
x x0 s x0 t

17.

Ускорение – характеристика неравномерного движения, определяющая быстроту
изменения скорости Δυ за время Δt по
модулю и направлению
a
t
м
2
с

18.

Мгновенное ускорение − векторная величина,
определяемая первой производной скорости
по времени или второй производной пути по
времени
d d S
а
2
dt
dt
2

19.

a const
a
0
t
0 at

20.

21.

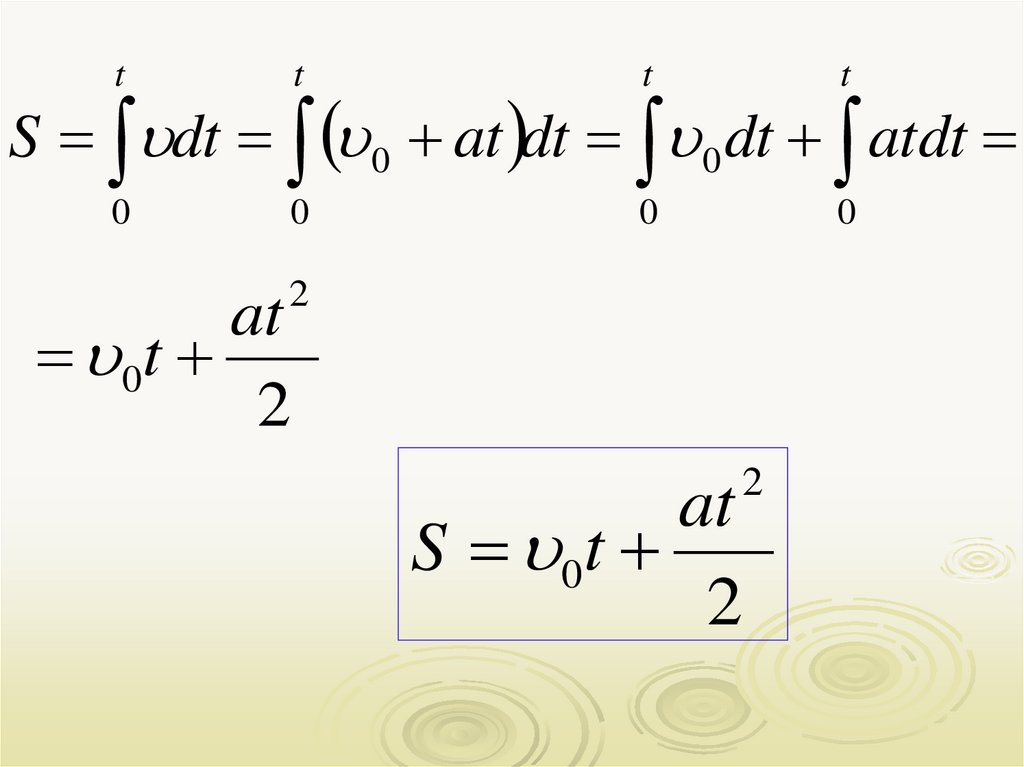
t
t
t
t
0
0
0
0
S dt 0 at dt 0 dt atdt
2
at
0t
2
2
at
S 0t
2

22.

S
a
2
2
0
2a
2
2S
2
0

23.

Криволинейное движение
Любое криволинейное движение можно разделить на
участки движения по прямой и по окружностям разного
радиуса

24.

2 1

25.

Полное ускорение

26.

Тангенциальное ускорение а характеризует
быстроту
изменения скорости по модулю
(направлена по касательной к траектории):
Нормальное
ускорение
аn
характеризует
быстроту
изменения скорости по направлению
(направлена к центру кривизны ):
:

27.

Модуль полного ускорения
Так как при криволинейном неравномерном
движении изменяется величина скорости и её
направление.
Вопрос: Если тело движется равномерно по
окружности, оно движется с ускорением или без?

28.

Прямолинейное равномерное
a 0
an 0
Прямолинейное равнопеременое
Равномерное по окружности
a 0
a n const

29.

Равноускоренное движение

30.

Вращательное движение
Движение при котором все точки тела движутся по
окружностям, центры которых лежат на одной прямой,
называемой осью вращения

31.

Для
характеристики
вращательного
движения аналогично пути в прямо
линейном движении рассматривают угол
поворота

32.

Угловая скорость
t
d
dt

33.

Вектор угловой скорости
Р
Равноускоренное
0 t
t
2
2

34.

Направление угловой скорости –
совпадает
с
направлением
поступательного движения острия винта,
т.е. подчиняется правилу правого винта
(буравчика)

35.

Связь модулей линейной и угловой
скоростей
R
Нормальное ускорение

36.

Угловое ускорение
t
d
dt

37.

Тангенциальное ускорение
d
d
a
R
R
dt
dt
Модуль полного ускорения

38.

При увеличении скорости вращения
направление вектора углового ускорения
совпадает с вектором угловой скорости,
при уменьшении – противоположно.
English     Русский Rules