1.49M
Category:
physics
Similar presentations:
Постоянный электрический ток. Решение задач повышенной сложности по физике
Решение задач повышенной трудности ЕГЭ по физике
Решение задач повышенной сложности. (Часть 1)
Решение задач повышенной сложности. (Часть 2)
Методика решения физических задач повышенной сложности
Подготовка к решению задач ЕГЭ по физике повышенного уровня («Молекулярная физика и термодинамика»)
Решение задач по теме «Электрический ток»
Статика. Решение заданий повышенной сложности
Электрический ток. Задачи
Вычисление работы и мощности электрического тока. Решение задач
Электрический ток (решение задач повышенного уровня)
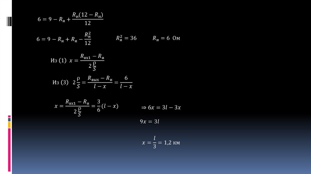
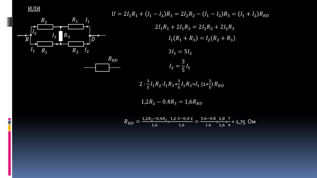
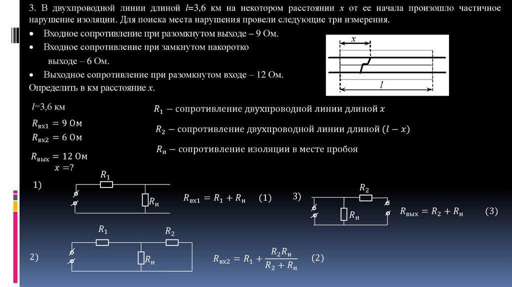
1.
English
Русский
Rules