1.25M
Category:
physics
Similar presentations:
Лекция № 6. Электрическое поле
Движение заряженной частицы в электрическом и магнитном полях. Лекция 6
Магнитное поле. Тема № 6
Магнитное поле. Лекция 6
Магнитное поле в веществе. Лекции 6
Энергия электрического поля. Тема 6
Упругие волны. Лекция 6
Электрические и магнитные поля
Электрическое и магнитное поля
Электроразведка. Электрическое и магнитное поля
Теория упругости. Влияние электрических и магнитных полей. Лекция 6
1.
§ Теория упругости. Влияние
электрических и магнитных полей
2.
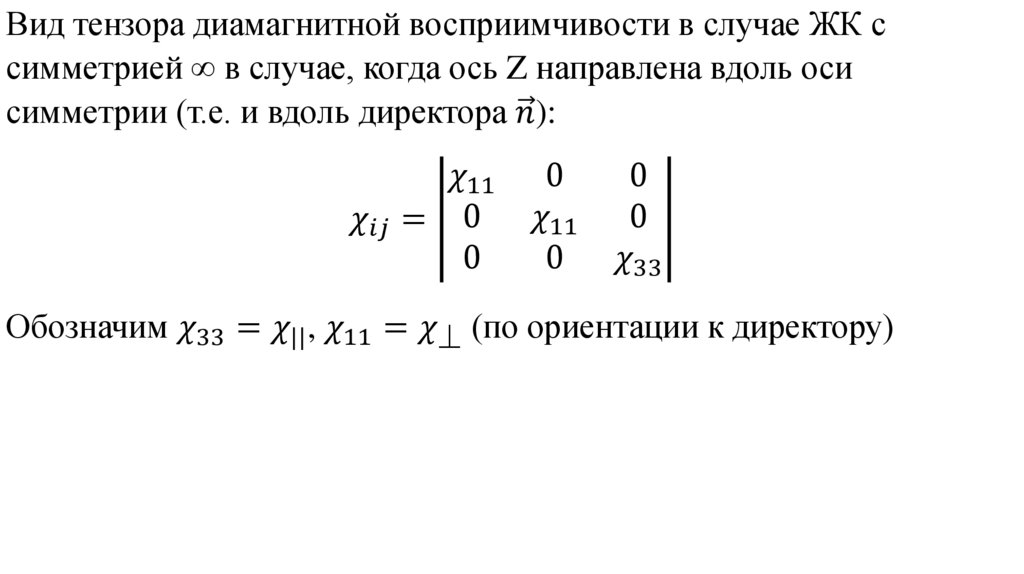
Вид тензора диамагнитной восприимчивости в случае ЖК с
симметрией ∞ в случае, когда ось Z направлена вдоль оси
симметрии (т.е. и вдоль директора
English
Русский
Rules