Подготовка к ИГА 11 класс.
А.- 1) х-0,04х=0,96х Б- 2) у+0,3у=1,3у В- 3) 6х-4у Г- 4) 6х+4у
1.36M
Category: mathematicsmathematics

Тест по алгебре и началам анализа

1. Подготовка к ИГА 11 класс.

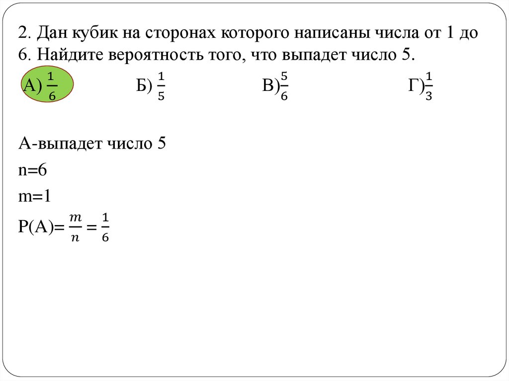
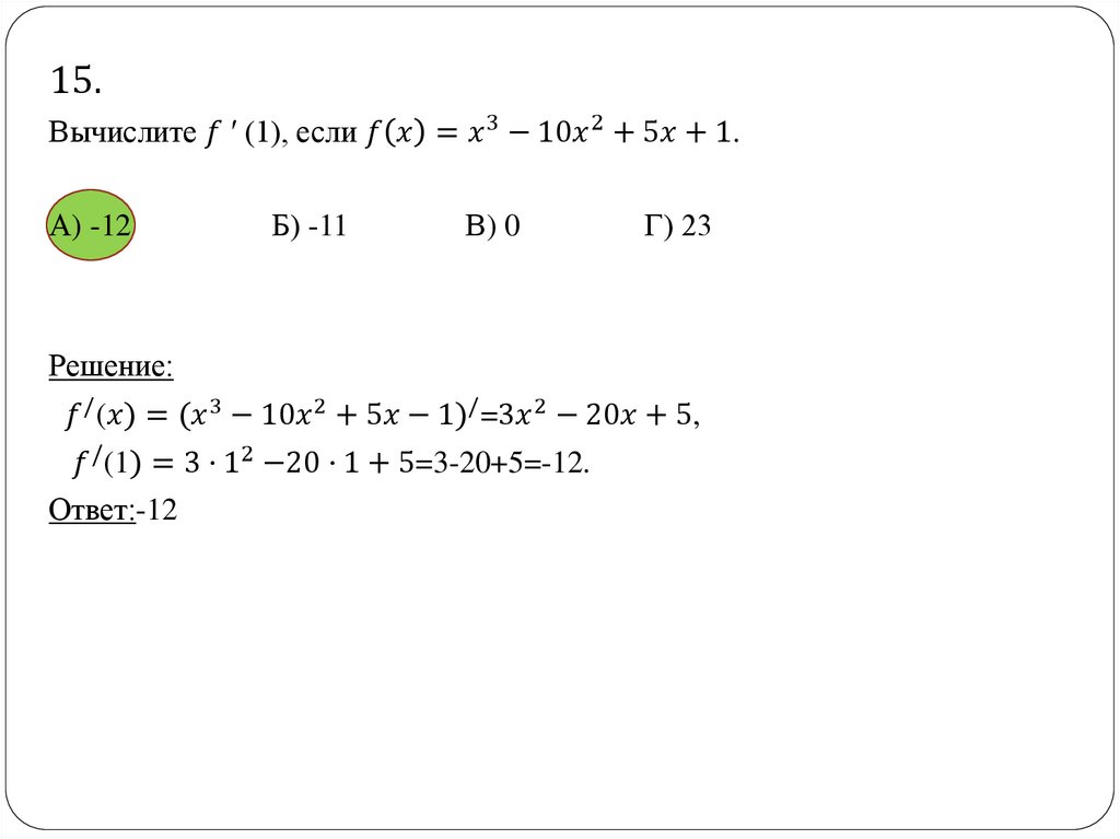
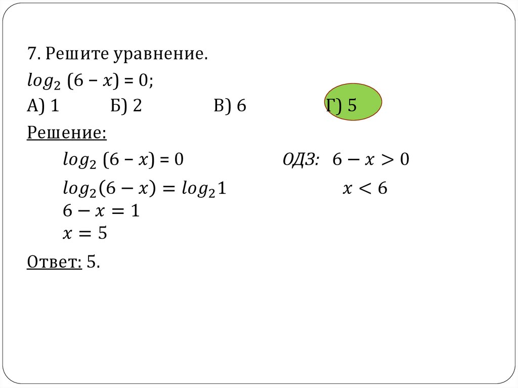
2.

ТЕСТ ПО АЛГЕБРЕ И НАЧАЛАМ АНАЛИЗА По алгебре и
началам анализа - 28 тестовых заданий. Часть ❶ - 15 тестовых
заданий.
Эта часть теста содержит задания с выбором ответа. К
каждому вопросу даётся 4 варианта ответов, из которых
только один правильный. Обведите правильный ответ
кружочком.

3.

1. Выберите рисунок, наиболее точно соответствующий
2
графику функции
English     Русский Rules