85.83K
Category: economicseconomics

Упрощённые методы оценки эффективности инвестиционных проектов

1.

Упрощённые методы оценки
эффективности
инвестиционных проектов.

2.

1. Сравнительная экономическая
эффективность капитальных
вложений

3.

C 2 C1
Å
Ê1 Ê 2

4.

C 2 C1
Å
Åí
Ê1 Ê 2

5.

Ê1 Ê 2
Ò
Ñ2 Ñ1

6.

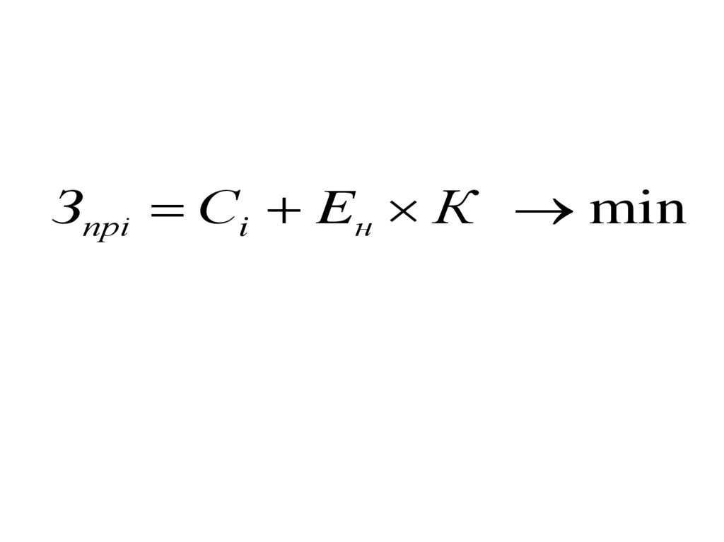
Зпрi Сi Eн К min

7.

(С2 + С1) > Ен · (К1 – К2)

8.

2. Абсолютная эффективность
капитальных вложений

9.

- для прибыльных предприятий
П
Е
К
E= (Ц–С)/К

10.

- для убыточных предприятий
(С1 С 2 ) Q2
Е
К
Т ок
К
П

11.

Т ок
К
(С1 С 2 ) Q2
С удi
Ci
Qi
К удi
Кi
Qi

12.

Годовой экономический эффект от
проведения мероприятий
Эгод Э усл.год Е н К
Э усл.год С1 С 2
Эгод (С1 С 2 ) Q2 Ен ( К 2 К1 ) Q2
English     Русский Rules