2.91M
Category: chemistrychemistry

Элементы нелинейного функционального анализа

1.

Элементы
нелинейного
функционального
анализа

2.

Глава 2.
Гладкие многообразия

3.

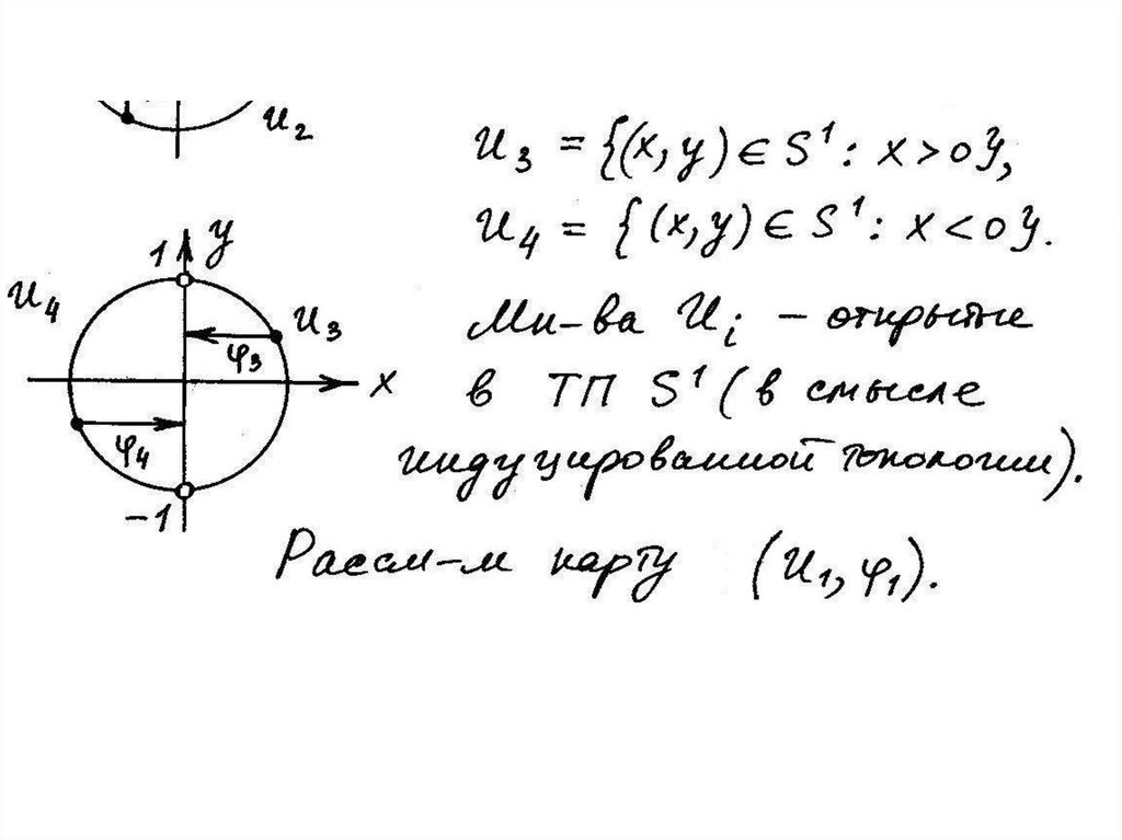
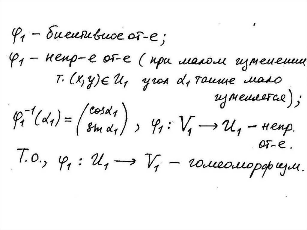
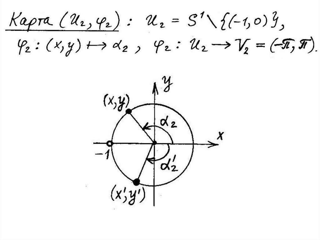
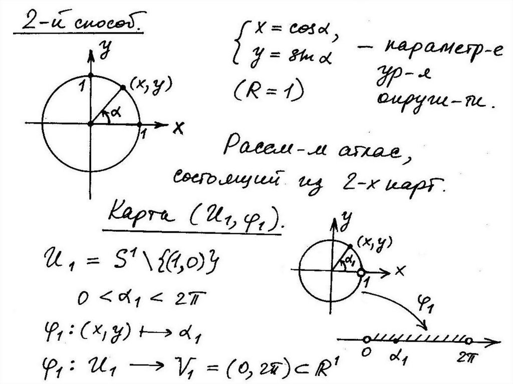
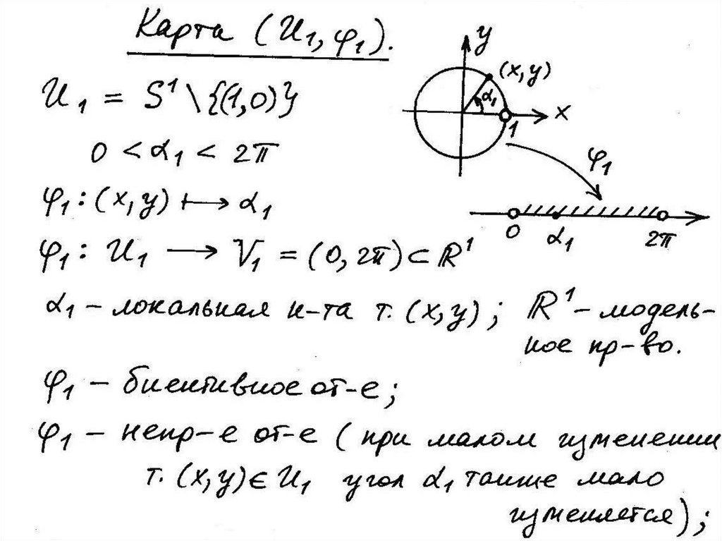
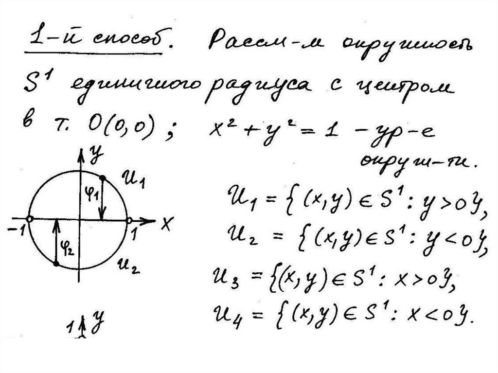
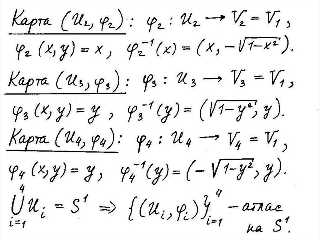
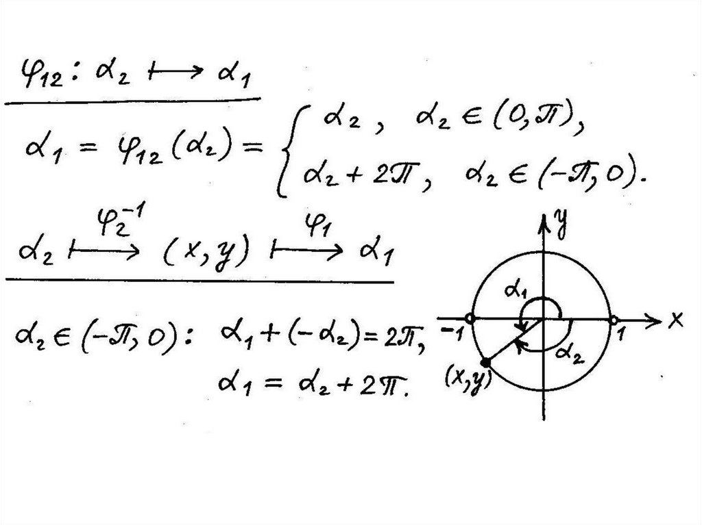
§ 3. Два способа задания
атласа на окружности

4.

5.

6.

7.

8.

9.

10.

11.

12.

13.

14.

15.

16.

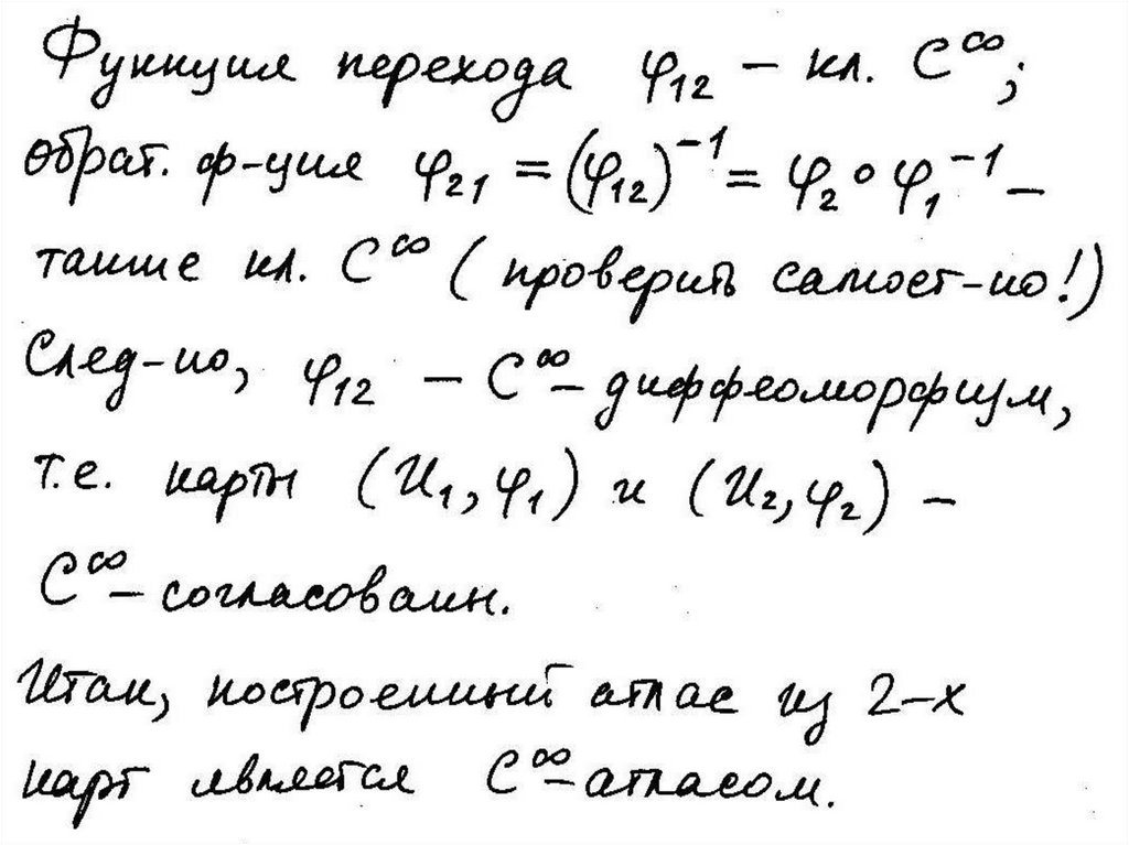
r
C – согласованность
карт

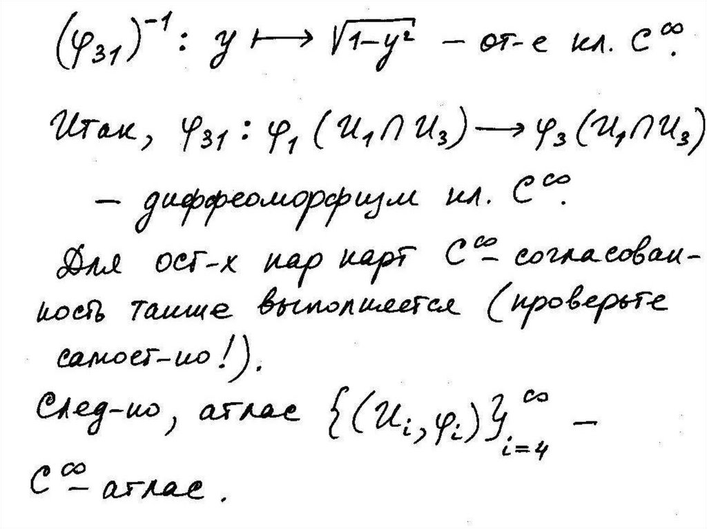
17.

18.

19.

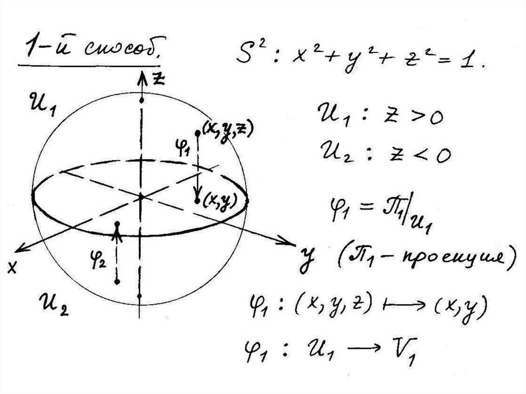
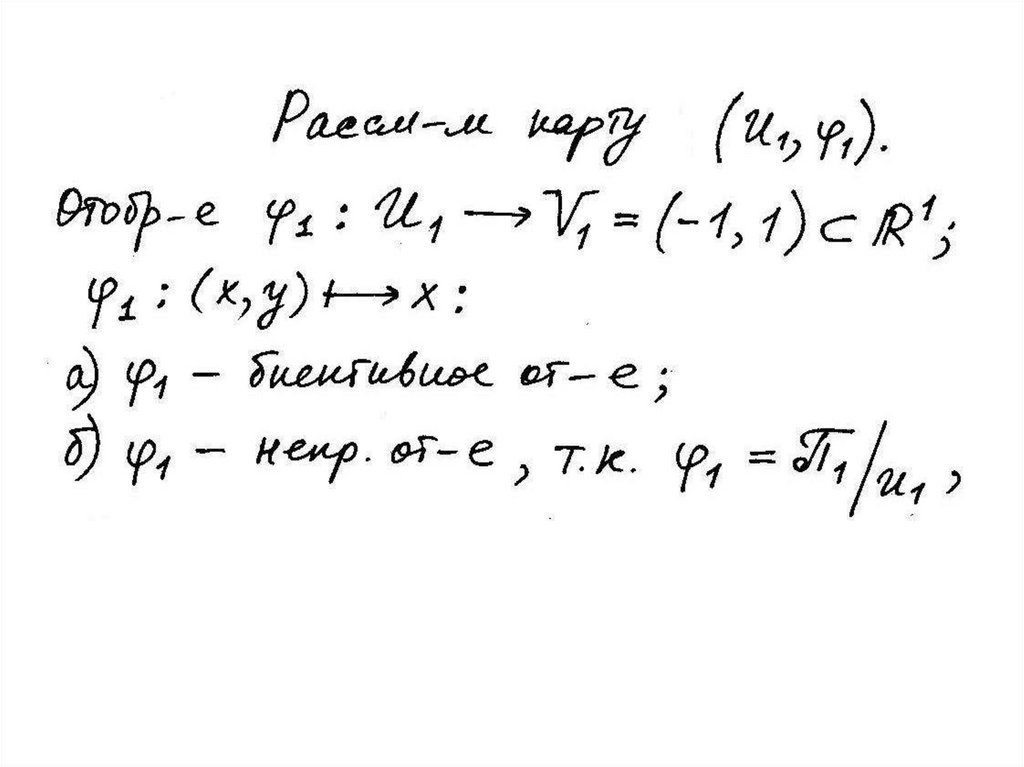
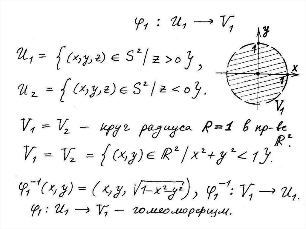
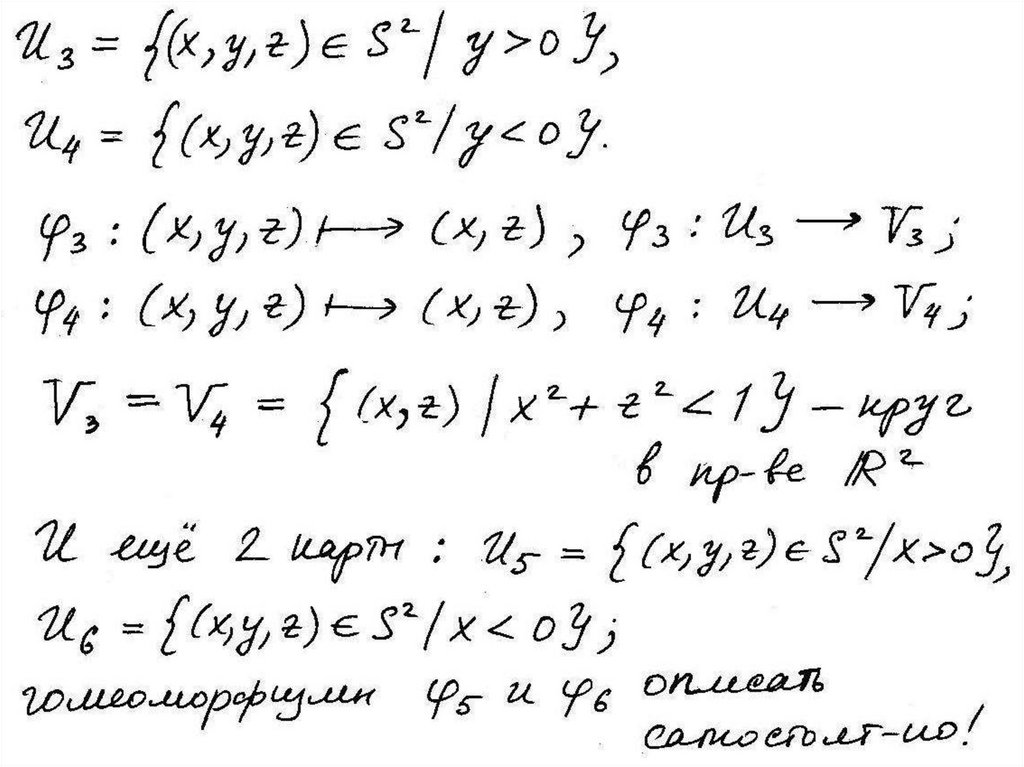
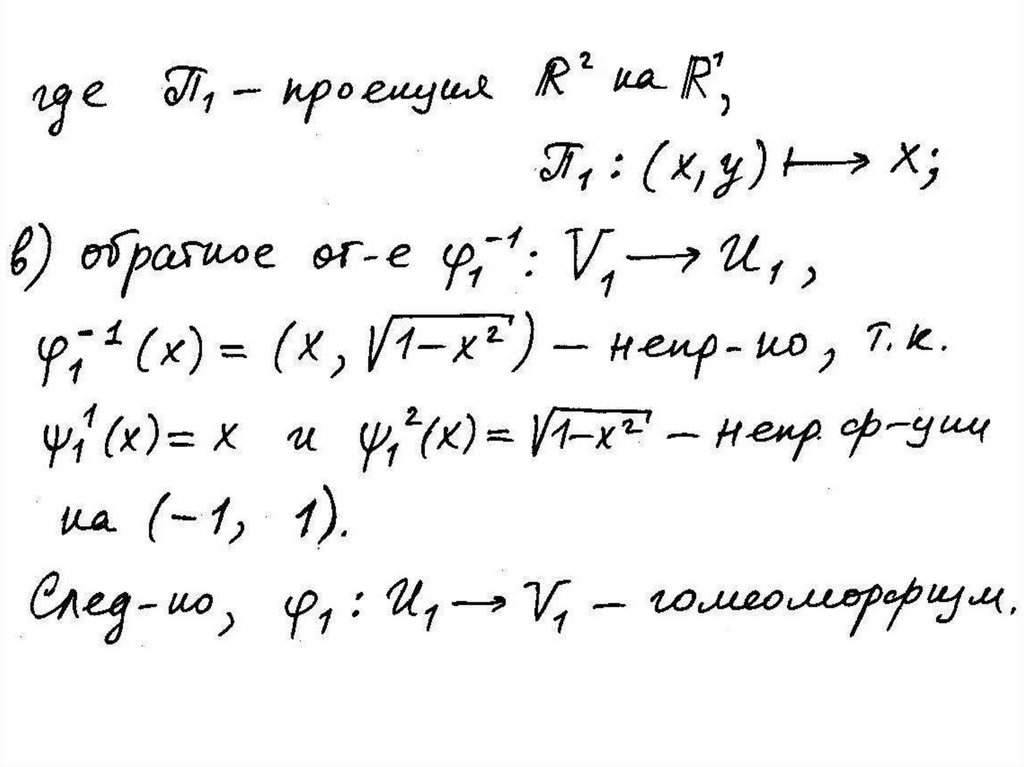
§ 4. Атлас на сфере

20.

21.

22.

23.

24.

25.

Литература
Борисович Ю. Г., Близняков Н. М.,
Израилевич Я. А., Фоменко Т. Н.
«Введение в топологию»
English     Русский Rules