304.10K
Category: mathematicsmathematics

Работа над ошибками СОР. Подготовка к СОЧ

1.

Работа над ошибками СОР
Подготовка к СОЧ

2.

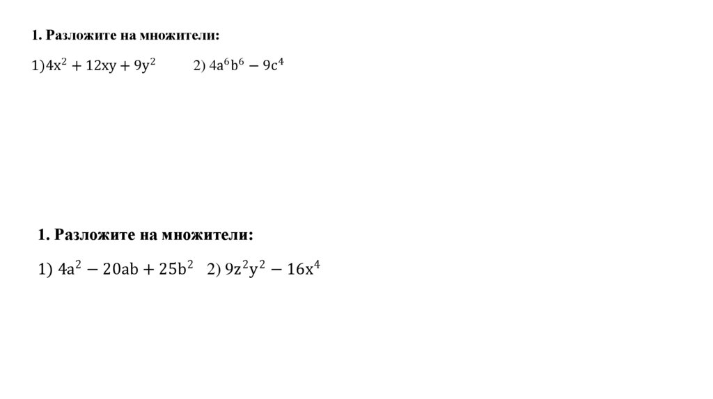
1. Разложите на множители:
1)4x 2 + 12xy + 9y 2
2) 4a6 b6 − 9c 4
1. Разложите на множители:
1) 4a2 − 20ab + 25b2 2) 9z 2 y 2 − 16x 4

3.

2. Вычислите, используя формулы сокращенного умножения
1) 1572 − 1562
2)1262 + 252 ∙ 74 + 742
2. Вычислите, используя формулы сокращенного умножения
1) 2412 − 2392
2) 392 + 78 ∙ 61 + 612

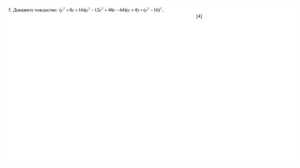
4.

3. Упростите выражение:
(
English     Русский Rules