ПРИМЕР ПОСТРОЕНИЯ НАБЛЮДАТЕЛЯ ДЛЯ СИТЕМЫ 3-го ПОРЯДКА
Модель системы с наблюдателем
Результат измерения y(t)
Результат наблюдения x1
Результат наблюдения Х2
Результат наблюдения Х3
Альтернативная схема получения Х2 и Х3 (без наблюдателя)
Сравнение двух способов получения координаты Х2
Сравнение двух способов получения координаты Х3
Наблюдение координаты Х2 при λ = - 3
ТИПОВАЯ СТРУКТУРА КОНТУРА РЕГУЛИРОВАНИЯ
Наблюдение координат состояния и медленно изменяющегося f
Схема наблюдения координат состояния и f(t)
Наблюдение координаты Х1
Наблюдение координаты Х2
Наблюдение величины f = X3
МОДЕЛИ РЕЛЕЙНЫХ УСТРОЙСТВ В SIMULINK MATLAB
Модель трехпозиционного реле
РЕГУЛИРОВАНИЕ РАСХОДА ПРИ ПОМОЩИ МЭО И ЗАДВИЖКИ
МОДЕЛЬ РЕГУЛИРОВАНИЯ ТЕМПЕРАТУРЫ ВОДЫ В КОТЛЕ
421.00K
Categories: mathematicsmathematics physicsphysics

Построение наблюдателя для ситемы 3-го порядка. (Тема 7)

1. ПРИМЕР ПОСТРОЕНИЯ НАБЛЮДАТЕЛЯ ДЛЯ СИТЕМЫ 3-го ПОРЯДКА

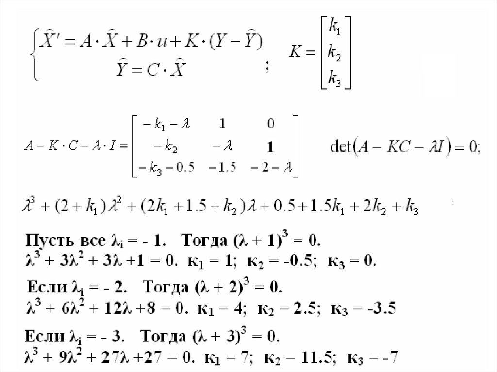
2.

3. Модель системы с наблюдателем

4. Результат измерения y(t)

5. Результат наблюдения x1

6. Результат наблюдения Х2

7. Результат наблюдения Х3

8. Альтернативная схема получения Х2 и Х3 (без наблюдателя)

9. Сравнение двух способов получения координаты Х2

10. Сравнение двух способов получения координаты Х3

11. Наблюдение координаты Х2 при λ = - 3

12. ТИПОВАЯ СТРУКТУРА КОНТУРА РЕГУЛИРОВАНИЯ

13.

14.

15. Наблюдение координат состояния и медленно изменяющегося f

16.

17. Схема наблюдения координат состояния и f(t)

18. Наблюдение координаты Х1

19. Наблюдение координаты Х2

20. Наблюдение величины f = X3

21. МОДЕЛИ РЕЛЕЙНЫХ УСТРОЙСТВ В SIMULINK MATLAB

1. Двухпозиционное реле

22. Модель трехпозиционного реле

23. РЕГУЛИРОВАНИЕ РАСХОДА ПРИ ПОМОЩИ МЭО И ЗАДВИЖКИ

24. МОДЕЛЬ РЕГУЛИРОВАНИЯ ТЕМПЕРАТУРЫ ВОДЫ В КОТЛЕ

English     Русский Rules