402.79K
Category:
biology
Similar presentations:
Protein synthesis
Protein synthesis
Understanding Protein Synthesis
Cost: chemical synthesis with in vitro 1st step experiments
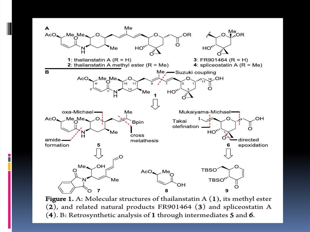
Synthesis of Thailanstatin A
1.
Synthesis of Thailanstatin A
English
Русский
Rules