Теория радиационной деформации в «некубических» металлах: явление анизотропной диффузии
Модель диффузионной миграции и взаимодействия дефектов, взятая из химической кинетики:
92.00K
Category: chemistrychemistry

Теория радиационной деформации в «некубических» металлах: явление анизотропной диффузии

1. Теория радиационной деформации в «некубических» металлах: явление анизотропной диффузии

Васильев Михаил

2. Модель диффузионной миграции и взаимодействия дефектов, взятая из химической кинетики:

A+B → C
(1)
(2)
где
(3)
(4)

3.

1
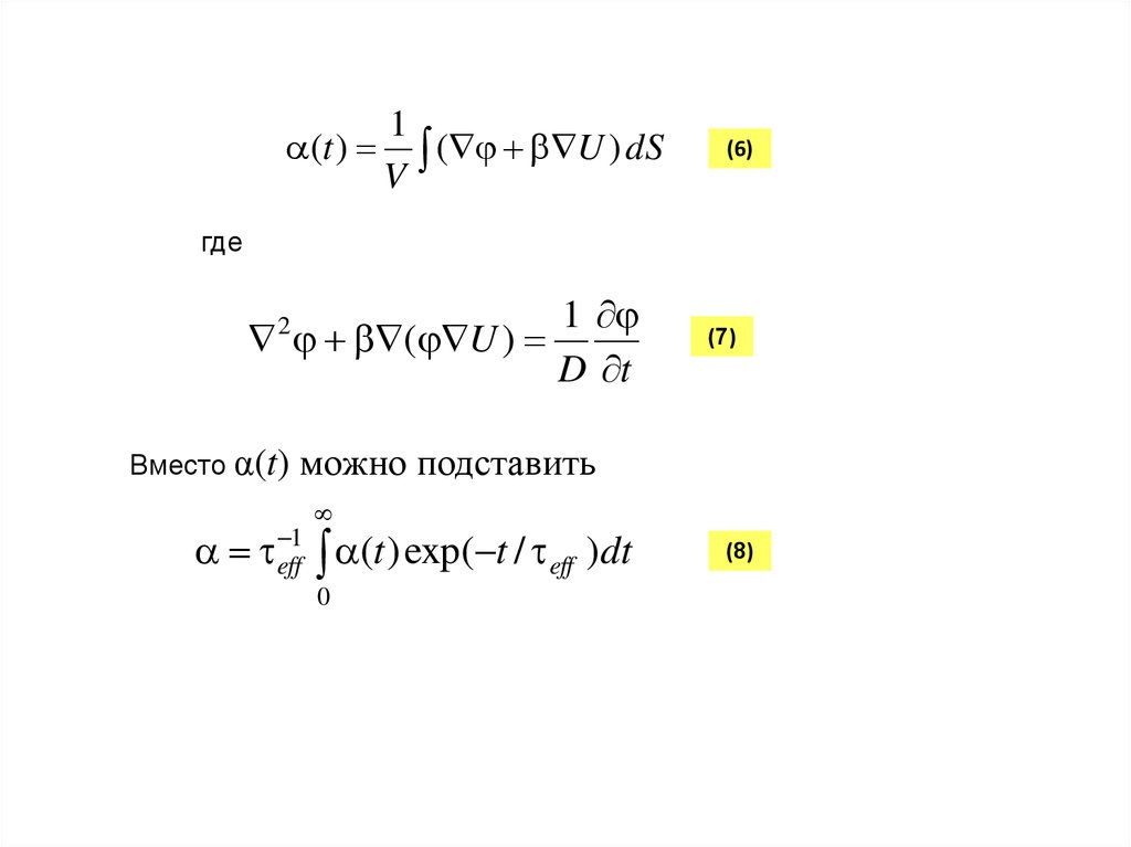
(t ) ( U ) dS
V
(6)
где
1
( U )
D t
2
Вместо α(t)
(7)
можно подставить
1
eff
(t ) exp( t / eff )dt
0
(8)
English     Русский Rules