820.11K
Category:
mathematics
Similar presentations:
Acrsin. Решение уравнений sint=a
Arccos. Решение уравнений cost=a
Решение уравнения cosx=a
Решение уравнения sint=a
Арксинус. Решение уравнения sin x = a
Арксинус. Решение уравнения sin t = a
Арксинус. Решение уравнения Sin t = a
Арккосинус и решение уравнения cos x = a
Арккосинус. Решение уравнения cosx=a
Решение уравнения Cos x=a
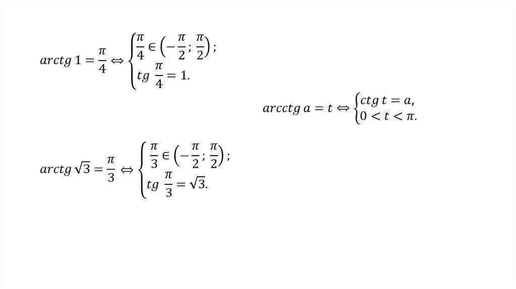
Arctg, arcctg. Решение уравнений tgt=a, ctgt=a
1.
Arctg, arcctg. Решение уравнений tg t=a, ctg t=a
English
Русский
Rules