Химические вспениватели
469.16K

Химические вспениватели

1. Химические вспениватели

2.

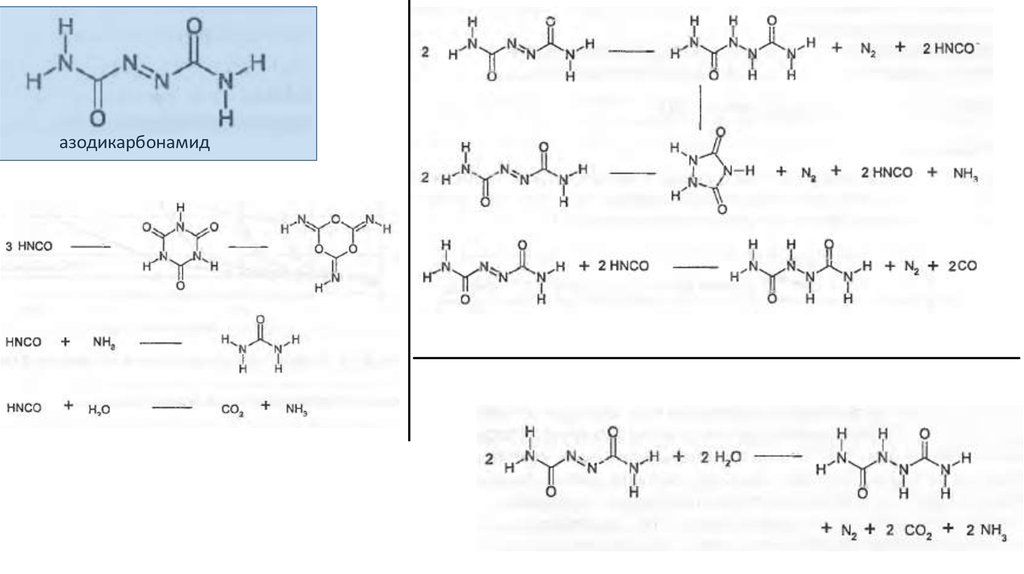
азодикарбонамид

3.

Пара-толуолсульфонилгидразид

4.

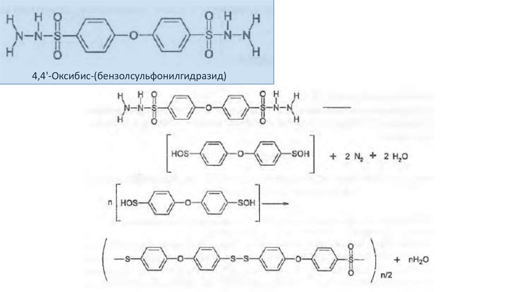
4,4'-Оксибис-(бензолсульфонилгидразид)

5.

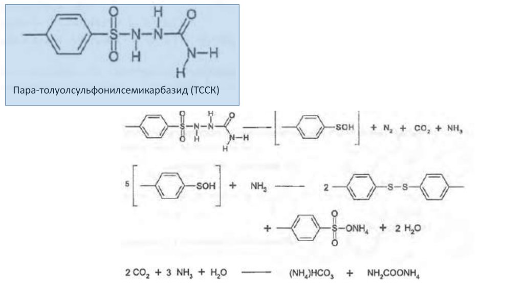
Пара-толуолсульфонилсемикарбазид (ТССК)

6.

трифенил-s-триазин
5-Фенилтетразол (5-ФТ)
3,5-дифенил- 1,2,4-триазол
4-N-амино-3,5-дифенил-1,2,4-триазол

7.

N,N’-Динитрозо-пентаметилентетрамин (ДНПТ)
English     Русский Rules