3.08M
Category: life safetylife safety

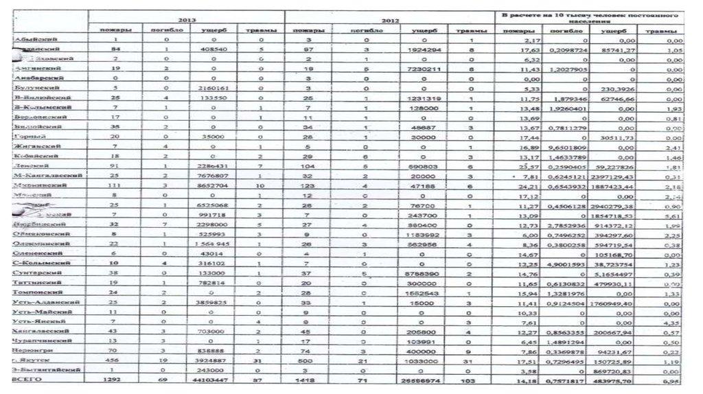
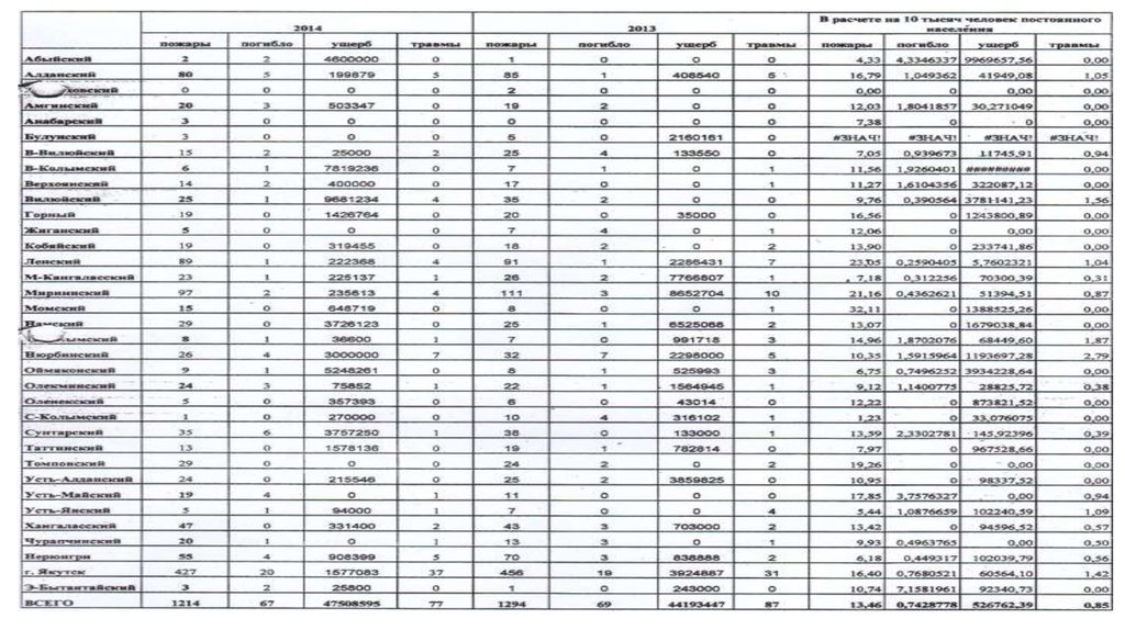
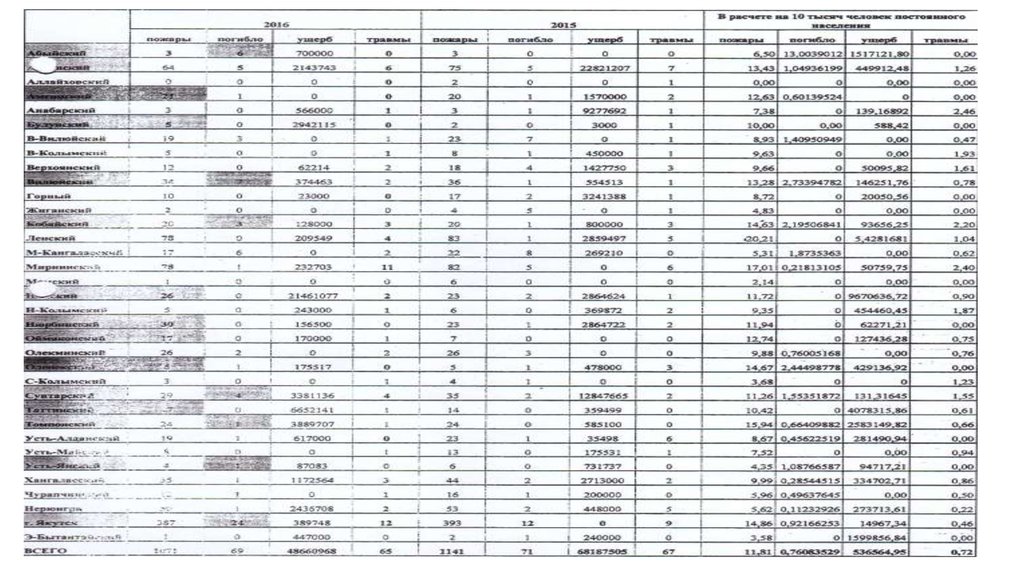
Загорания и пожары. Статистика

1.

2.

Загорания и пожары
4000
3500
3000
2500
2000
1500
1000
500
0
2012
2013
2014
Количество пожаров
Количество загораний
2015
2016

3.

Ущерб от пожаров (в тыс. руб.)
80000
70000
60000
50000
40000
30000
20000
10000
0
2012
2013
2014
Ущерб от пожаров
2015
2016

4.

Кол-во смертей от пожара от пожара
120
100
80
60
40
20
0
2012
2013
Погибло людей
2014
В том числе детей
2015
Погибло скота
2016
English     Русский Rules