1.80M
Category: chemistrychemistry

Фенолы

1.

Фенолы

2.

Фенолы – это производные ароматических
углеводородов, содержащие одну или
несколько гидроксильных групп у атомов
углерода бензольного кольца.
Молекулярная формула: С6Н5ОН
Структурная формула:

3.

4.

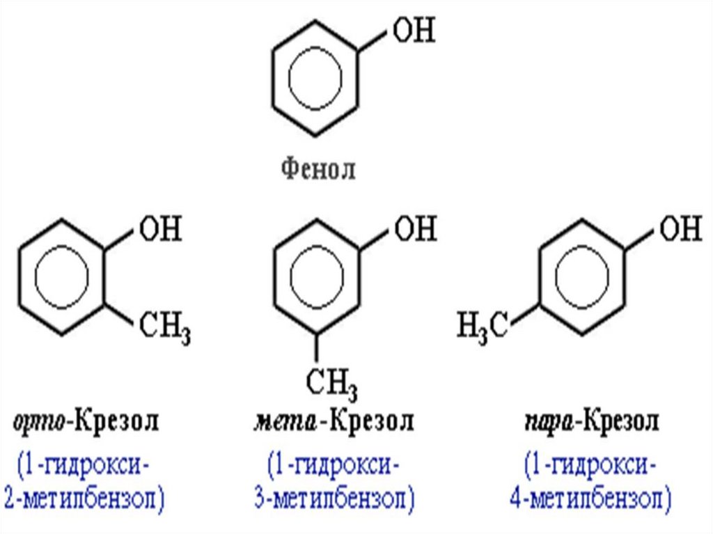
Классификация фенолов

5.

6.

Типы изомерии:
• Изомерия положения заместителей
в бензольном кольце;
• Изомерия боковой цепи.

7.

8.

Электронное строение
Фенолы представляют собой полярные соединений
диполи. Бензольное кольцо является отрицательным
концом диполя, группа –ОН – положительным.
Неподеленная электронная пара атома кислорода
взаимодействует с ароматической П- системой,
в результате:

9.

1. Увеличивается электронная плотность на
ароматической системе, происходит ее
перераспределение , и на атомах
2,4,6 появляется избыточный отрицательный
заряд;
2. Электронная пара связи О-Н смещается к
атому кислорода и связь становится менее
Прочная по сравнению со спиртами;
3. Увеличивается прочность связи атома
кислорода с атомом углерода, входящим в
ароматическое кольцо, и группа – ОН не способна
к реакциям замещения.

10.

Физические свойства
Фенол С6Н5ОН (карболовая кислота) :
• Бесцветное кристаллическое вещество;
• На воздухе окисляется и становится розовым;
• При обычной температуре ограниченно
растворим в воде;
• Выше 66 градусов смешивается с водой в
любых соотношениях.
Фенол – токсичное вещество, вызывает
ожоги кожи!!!

11.

Химические свойства
I Реакции с участием гидроксильной группы
1. Взаимодействие со щелочами

12.

2. Взаимодействие с активными металлами
Фенолят натрия

13.

II Реакции с участием бензольного кольца
( реакции замещения)
3. Галогенирование (бромирование)
2,4,6-трибромфенол – нерастворимое в воде вещество белого цвета,
Реакция используется как одна из качественных реакций для
определения фенола.

14.

4. Нитрование с концентрированной HNO3
(пикриновая кислота)
5. Гидрирование (реакция присоединения)

15.

III Качественные реакции на фенолы
В водных растворах одноатомные фенолы
взаимодействуют с хлоридом железа (III)
FeCl3 с образованием комплексных фенолятов,
которые имеют фиолетовую окраску;
окраска исчезает после прибавления
сильной кислоты.

16.

17.

2. Взаимодействие галогенпроизводных
ароматических УВ со щелочами
3. Из каменноугольной смолы.
Каменноугольную смолу, содержащую в
качестве одного из компонентов фенол,
обрабатывают вначале раствором щелочи
(образуются фенолята), а затем кислотой:

18.


C6H5OH + NaOH = C6H5ONa + H2O
Фенолят натрия
(промежуточный продукт)
• C6H5ONa + H2SO4 = C6H5OH + NaHSO3
фенол
English     Русский Rules