6.51M

08. Правила дифференцирования

1.

Правила
дифференцирования
Производная
и её геометрический смысл

2.

Сегодня на уроке
1. Повторим определение
производной функции.
3. Познакомимся с правилами
дифференцирования суммы,
произведения и частного.
2. Вспомним известные
формулы производных.
4. Познакомимся с формулой
нахождения производной
сложной функции.

3.

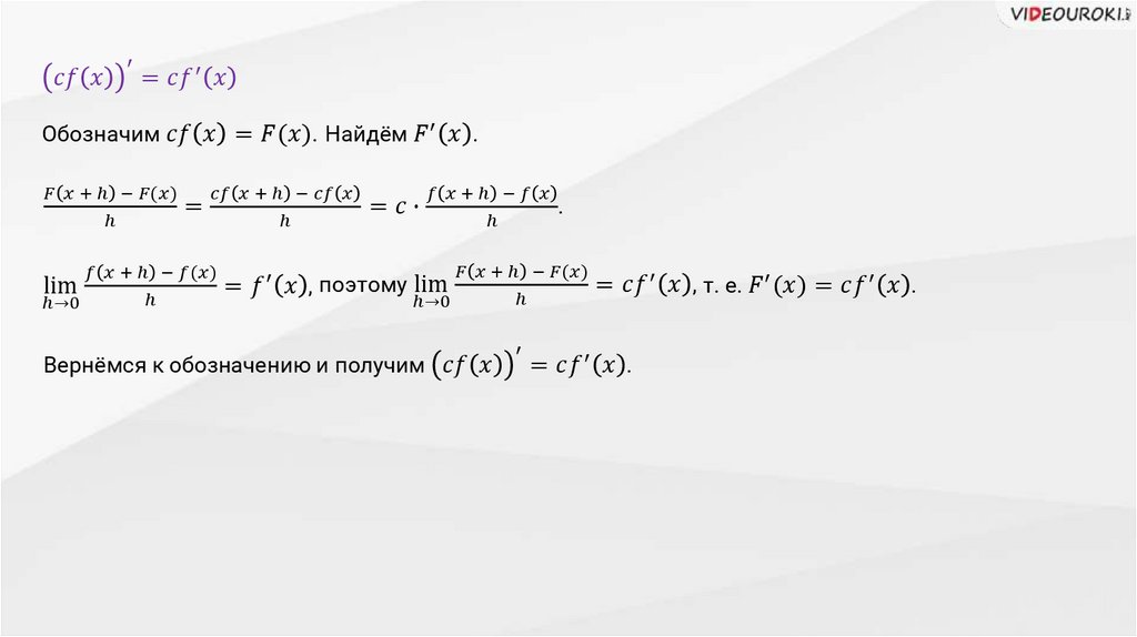
Чему равна производная функции
English     Русский Rules