Биологическое окисление. Митохондриальная цепь переноса электронов
Биологическое окисление
Ферменты тканевого дыхания
3. Коэнзим Q
4. Система цитохромов
1.85M
Category: biologybiology

Биолог Окисл. МЦПЭ

1. Биологическое окисление. Митохондриальная цепь переноса электронов

2. Биологическое окисление

• Биологическое окисление – совокупность
окислительно-восстановительных реакций,
протекающих в живых организмах.
• Функция БО – энергетическое обеспечение
потребностей организма.
• Если акцептором Н+ и электронов является О2,
то конечным продуктом будет вода, а такой
процесс окисления называется тканевым
дыханием
• Тканевое (клеточное) дыхание локализовано в
матриксе митохондрий

3.

• ТД состоит из ряда окислительновосстановительных реакций, в результате
которых происходит переброс протонов и
электронов от восстановленного субстрата
на кислород. Осуществляется при помощи
специальных ферментов.
• Такой ступенчатый переброс протонов и
электронов называется дыхательной
цепью, или МЦПЭ, или ЦПЭ.
• Ферменты ТД - ОКВ ферменты и
коферменты, локализованные во
внутренней мембране митохондрий.

4. Ферменты тканевого дыхания

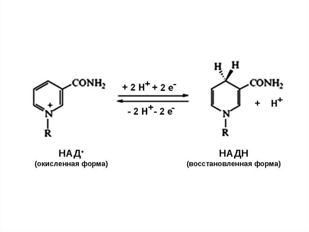
• 1. НАД-зависимая дегидрогеназа. В состав
входит витамин РР (В5)

5.

6.

• 2. Флавиновый фермент ФАД
• ФлавинАдениДинуклеотид

7.

8. 3. Коэнзим Q

9. 4. Система цитохромов

• Цв →Цс1 →Цс → Цаа3
• Окрашены, содержат гем. Цитохромы –
промежуточные переносчики электронов.
• Fe в цитохромах может обратимо менять
валентность.
• Цаа3 - цитохромоксидаза, является
дыхательным ферментом непосредственно
взаимодействующим с О2
English     Русский Rules