Занятие 4. Технология лесосечных работ
5.4. ТЕХНОЛОГИЯ ЛЕСОСЕЧНЫХ РАБОТ
Образец технологической карты
Схемы размещения волоков
Метод широкого фронта
Параллельная схема
Радиальная (веерная) схема
Диагональная схема
Определение среднего расстояния трелевки
Определение среднего объема хлыста
Разметка и разрубка погрузочных пунктов (верхних складов)
Выделение зоны безопасности
Схемы разработки пасек
Разбивка лесосеки на пасеки
Схема разработки лесосеки узкими пасеками
Среднепасечная технология
Схема разработки широкими пасеками без подроста
Схема разработки пасеки с валкой на подкладочное дерево
Формирование пачки чокерным оборудованием
Основные технологии и схемы разработки лесосек при сплошных и выборочных рубках
Способы трелевки древесины
Трелевка деревьев
Трелевка хлыстов
Трелевка сортиментов
Среднепасечная технология разработки лесосек с трелевкой деревьев за комли на базе канатно-чокерных трелевочных тракторов и
Среднепасечная технология разработки лесосек с трелевкой деревьев за комли на базе канатно-чокерных трелевочных тракторов и
Широкопасечная технология с трелевкой деревьев за комли на базе трелевочных тракторов манипуляторного типа и бензопил (сплошные
Широкопасечная технология с трелевкой деревьев за комли на базе трелевочных тракторов манипуляторного типа и бензопил (сплошные
Схемы разработки лесосек с трелевкой хлыстов за вершины на базе канатно-чокерных тракторов и бензопил: по узкопасечной
Технология разработки лесосек при групповой выборке деревьев на базе трелевочных тракторов и бензопил
Схема разработки лесосеки при проведении группово-постепенной рубки: а – с наличием группового подроста; б – без подроста
Среднепасечная технология с трелевкой сортиментов на базе колесных канатно-чокерных трелевочных тракторов и бензопил
Среднепасечная технология с трелевкой сортиментов на базе колесных канатно-чокерных трелевочных тракторов и бензопил
Узкопасечная технология разработки лесосек на базе харвестера и форвардера
Узкопасечная технология разработки лесосек на базе харвестера и форвардера
Узкопасечная технология с трелевкой сортиментов на базе форвардеров и безопил
Узкопасечная технология с трелевкой сортиментов на базе форвардеров и безопил
Выбор системы машин на лесосечных работах. Валка деревьев
Харвестеры
Гусеничные канатно-чокерные трелевочные тракторы и колесные тракторы манипуляторного типа с пачковым захватом
Колесные канатно-чокерные трелевочные тракторы: Беларус 82, Беларус ТТР-401М, Кировец-703М, Т-157
Форвардеры
Форма 7. Технология рубок спелых и перестойных лесных насаждений
Итоговые материалы:
10.57M
Category: ecologyecology

СХЕМЫ РАЗРАБОТКИ ЛЕСОСЕК технологии лесосечных работ

1. Занятие 4. Технология лесосечных работ

1

2. 5.4. ТЕХНОЛОГИЯ ЛЕСОСЕЧНЫХ РАБОТ

Задание.
1.На каждый участок, выбранный под рубки спелых
и перестойных лесных насаждений составить
технологическую карту на разработку лесосеки.
2. В технологической карте:
- Составить схему разработки лесосеки, указать
условные обозначения.
- Начертить схему разработки пасеки, указать
условные обозначения.
- Указать характеристику лесосеки.
- Составить технологические указания.
-Перечислить количественные показатели.
3. Подобрать систему машин для лесосечных работ,
найти ее технические характеристики, стоимость,
производительность.
2

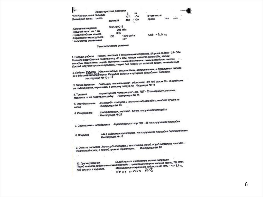
3. Образец технологической карты

3

4.

4

5.

5

6.

6

7.

7

8. Схемы размещения волоков

8

9. Метод широкого фронта


1 – лесовозный ус; 2 – погрузочные
площадки; 3 – пасеки; 4 – пасечные
волоки; 5 – магистральные волоки; l –
длина лесосеки; b – ширина лесосеки
схема
характеризуется
частым
расположением
погрузочных
площадок вдоль лесовозного уса и
применяется в тех случаях, когда
погрузочные пункты просты, затраты
на их подготовку очень малы и
ограничиваются
расчисткой
их
бульдозером. Штабеля хлыстов могут
располагаться рядом друг с другом,
необходим лишь разрыв для выезда
порожнего трелевочного трактора. По
этой схеме создаются обычно запасы
хлыстов у трасс лесовозных дорог.
Волоки при методе широкого фронта
располагают
параллельно
один
другому. На одну площадку хлысты
трелюют с одного-двух волоков.
Среднее расстояние трелевки при
методе широкого фронта
l cp 0,5b
9

10. Параллельная схема


Эта схема применяется при равнинном
рельефе местности и позволяет более
строго выдерживать их разметку на
местности, упрощает обеспечение
очередности работ с соблюдением
условий безопасности, при этом несколько
увеличивается среднее расстояние
трелевки древесины. Как правило, данную
схему применяют в тех случаях, когда
требуется концентрация стрелеванного
леса в одном месте, например к
сучкорезной машине. При этом несколько
пасечных, параллельных друг другу
волоков выходят на один магистральный
волок, по которому лес трелюют на
погрузочный пункт.
Параллельная схема может применяться
также в тех случаях, когда по условиям
рельефа или другим причинам нельзя
разместить несколько площадок вдоль
уса, как это делается при методе широкого
фронта. Среднее расстояние трелевки
при методе широкого фронта
l cp 0,5b 0,5l.
10

11. Радиальная (веерная) схема


Схема с радиальным размещением волоков
приемлема для всех типов рубок на
лесосеках вытянутой формы. По этой схеме
1-2 магистральных волока проходят на всю
глубину лесосеки, к ним примыкают по
углом 30-45° пасечные волоки. Данную
схему применяют в тех случаях, когда
устройство погрузочных пунктов требует
больших затрат, например при
сортиментной вывозке леса. Чем выше
стоимость и трудоемкость подготовки
погрузочного пункта, тем большая площадь
леса должна тяготеть к нему. Но расстояния
трелевки должны быть при этом по
возможности небольшими. Радиальная
схема позволяет при данной площади
лесосеки значительно сократить расстояния
трелевки, по сравнению с параллельной
схемой. Среднее расстояние трелевки для
радиальной схемы может быть определено
по формуле
l cp 0,5b 0,4l.
11

12. Диагональная схема


Схема с диагональным размещением
волоков рекомендуется для лесосек с
пересеченным рельефом местности. Ее
применение усложняет разметку волоков и
пасек на лесосеке, но позволяет сократить
расстояние трелевки.
Общая площадь волоков при сплошных
рубках с последующим возобновлением
должна составлять не более 20%, при
выборочных, постепенных и сплошных с
сохранением подроста – 15% от площади
всей лесосеки.
Длина пасечных волоков (максимальное
расстояние трелевки по ним) не должна
превышать в лесах первой и второй групп
250 м, в лесах третьей группы – 300 м. В
зимний период при промерзшем грунте и
других условиях длина волоков может
увеличиваться. Ширина пасечного волока,
как правило, 4 м, магистрального – 5 м.
l cp 0,5b 0,2l.
12

13. Определение среднего расстояния трелевки

• Среднее расстояние определяется в зависимости
от схемы волока по формулам:
• Метод широкого фронта – l cp 0,5b 0,5l.
• Параллельная схема – l cp 0,5b 0,5l.
• Радиальная схема (веерная схема) – l cp 0,5b 0,4l.
• Диагональная схема – l cp 0,5b 0,2l.
13

14. Определение среднего объема хлыста


Средний объем хлыста находится
по средней высоте и диаметру
вырубаемой породы, используя
таблицы разрядов высот
(«Справочник таксатора»).
Например, мы вырубали осину и
березу, средний диаметр – 24 см,
средняя высота – 28 м, средний
объем хлыста (ствола) равен 0,59
см3.
14

15. Разметка и разрубка погрузочных пунктов (верхних складов)


Заготовленную древесину транспортируют к лесопогрузочным пунктам - площадкам
у лесотранспортного пути для временного размещения деревьев, хлыстов,
сортиментов и для их погрузки на лесотранспортные средства.
Лесопогрузочный пункт (верхний склад) намечается на свободных от леса местах
или участках с редким древостоем у лесовозных путей преимущественно на сухих,
прямолинейных и горизонтальных участках или же с небольшим уклоном в сторону
пути. Площадки под погрузочные пункты располагаются на лесосеке так, чтобы
расстояния трелевки были наименьшими для данных условий, а их размеры должны
быть достаточными для размещения оборудования и необходимого запаса леса.
Количество погрузочных пунктов и их расположение на лесосеке зависят от
размеров лесосеке, принятого расстояния трелевки и типа лесовозного транспорта и
регламентируются Правилами заготовки древесины.
Общая площадь под погрузочными пунктами, производственными и бытовыми
объектами должна быть по возможности наименьшей и составлять от общей
площади лесосеки величиной свыше 8 га не более: 5% при сплошных рубках с
последующим возобновлением, 4% при постепенных и сплошных с сохранением
подроста и 3% при выборочных рубках.
На небольших лесосеках площадью 8 га и менее погрузочные пункты могут занимать
площадь: при сплошных рубках с последующим возобновлением – до 0,40 га, с
предварительным возобновлением и постепенных рубках – 0,30; выборочных рубках
– 0,25 га. В среднем размер одной погрузочной площадки принимается равным 40 х
50 м (0,2 га).
Подготовка площадки под погрузочный пункт включает срезание деревьев и пней
заподлицо с землей, уборку подлеска, подроста, валежника и валунов. Участки со
слабыми грунтами укрепляются сучьями. Для укладки лесоматериалов устраивается
подштабельное основание, состоящее из одной или двух подкладок.
15

16. Выделение зоны безопасности

• Вокруг погрузочной площадки, а также
других объектов, расположенных на
лесосеках: стоянок машин, столовых и
др. необходимо произвести разрубку
зоны безопасности шириной 50 м.
Ширина зоны определяется, начиная от
границ погрузочной площадки или от
границ других производственных
объектов.
16

17. Схемы разработки пасек

17

18. Разбивка лесосеки на пасеки


Пасекой называют часть делянки, с которой поваленные деревья или
хлысты трелюются по одному трелевочному волоку.
Ширину пасек устанавливают в зависимости от состава насаждений, рельефа
местности, почвенных условий и др. Ширина пасек определяется по формуле
В 2Н sin
где Н – высота древостоя, м; α – угол валки дерева к середине волока, град.
При разработке лесосек с сохранением подроста методом узких пасек
оптимальным углом валки считается угол, равный 30°. Следовательно, с
некоторым допущением можно принять ширину пасеки равной средней высоте
древостоя Нср (sin30°=1/2).
При разработке лесосек без сохранения подроста угол валки составляет 45-60°,
следовательно, ширина пасеки В = 35-45 м.
При разработке лесосек с сохранением подроста на подкладное дерево угол
валки составляет 40-45° и ширина пасеки определяется по формуле
В 2 Н sin b0
где b0 – ширина пасечного волока, м.
Длина пасек при параллельной схеме разработки лесосек и при методе
широкого фронта равна ширине делянки, т.е. она может быть 100-500 м. При
радиальной и диагональной схемах разработки лесосек длина пасек может
доходить до 300 м.
Технология разработки пасек в лесосеках при сплошных рубках и тракторной
трелевке зависит от рельефа, почвенно-грунтовых условий, характеристики
лесонасаждений, наличия и характеристики жизнеспособного подроста,
18
способа трелевки и др.

19. Схема разработки лесосеки узкими пасеками


При наличии жизнеспособного подроста и трелевке
трактором с канатно-чокерным оборудованием
целесообразно применение схемы. Ширину пасеки
в этом случае принимают равной полуторной
средней высоте деревьев – 1Н (20-25 м). Валку
деревьев начинают на волоке шириной 4-5 м (на 1
м больше ширины трактора) с ближнего к
лесопогрузочному конца вершинами вперед. После
отхода вальщика на безопасное расстояние или при
переходе на другую пасеку при необходимости
обрубают сучья и трелюют деревья за вершину.
Валку деревьев на одной из полупасек также
начинают с ближнего к лесопогрузочному пункту
конца. При трелевке хлыстов сучья обрезают на
безопасном от валки расстоянии (не менее 50 м) и
выносят на волок, где они уплотняются при проходе
трактора. Набор пачки трактор производит, не сходя
с волока, подтаскивая деревья без их разворота, так
как вершины лежат на волоке, а углы между
направлением валки и осью волока не превышают
обычно 30°. Такой способ разработки пасеки
позволяет сохранить до 75 % подроста.
19

20. Среднепасечная технология

• Среднепасечная
технология – 2650 м.
20

21. Схема разработки широкими пасеками без подроста

• Незначительно отличается от
разработки узкими пасеками. В
этом случае принимают несколько
большую (45-50 м) ширину пасек и
деревья на полупасеках валят под
углом 45-60° к волоку. Полупасеку
делят на ленты шириной 8-10 м и
валят на них деревья
последовательно: сначала на волоке, затем, осуществив трелевку,
на средних лентах, а потом,
последовательно, на крайних.
21

22. Схема разработки пасеки с валкой на подкладочное дерево

• Применяют при трелевке деревьев за
комель. Работы на пасеке шириной 35-40 м
начинают с дальнего от лесопогрузочного
пункта конца волока, деревья валят в
сторону, обратную направлению трелевки.
После трелевки с волока продолжают валку
на полупасеках, и снова с дальнего конца.
Полупасеки разрабатывают лентами, под
углом к волоку. Сначала валят вдоль ленты
крупное, стоящее ближе к волоку,
подкладочное дерево под углом 45°,
вершиной от волока. Затем на него валят
деревья вершинами на волок. Ширину
ленты принимают 8-10 м в зависимости от
нагрузки на рейс трактора и запаса
древесины на 1 га. При формировании
пачки деревья легко скользят по
подкладочному дереву, низкий подрост
пригибается, а затем выпрямляется.
Подкладочное дерево облегчает чокеровку,
так как комли поваленных на него деревьев
22
приподняты.

23. Формирование пачки чокерным оборудованием

• Формирование пачки чокерным оборудованием производится в
три приема: оттаскивание каната, чокеровка и сбор пачки
лебедкой. Тяговый канат трелевочного трактора оттаскивают
двое рабочих. Чтобы облегчить оттаскивание каната с лебедки,
его размывают двигателем. Затем чокеровщик протаскивает
рабочий канат лебедки через кольца чокеров заранее
зачокерённых хлыстов или деревьев. Пропустив канат через
все кольца чокеров, в петлю собирающегося каната
вставляется упорное разрезное кольцо. Приемы чокеровки и
формирования пачки показаны на рис.: а – чокеровка
одинарной петлей, б – чокеровка двойной петлей, в –
последовательная прицепка хлыстов, г – зигзагообразная
прицепка хлыстов
23

24. Основные технологии и схемы разработки лесосек при сплошных и выборочных рубках

24

25. Способы трелевки древесины

25

26. Трелевка деревьев

• Осуществляется в основном за комли.
• Преимущества: создаются условия для утилизации
всех фракций дерева; появляется возможность
механизации обрубки сучьев с помощью
передвижных сучкорезных машин; отпадает
необходимость захода обрубщиков сучьев в лес, что
имеет значение при глубоком снеге и с точки зрения
безопасности; облегчается выравнивание комлей
перед погрузкой; значительная часть сучьев
(особенно в морозы) отпадает при трелевке, что
уменьшает объем обрубки.
• Недостатки: происходит обеднение почвы;
снижаются на 30-40% рейсовые нагрузки на
трелевочный трактор; деревья сжимаются в пакет, то
затрудняет обрубку; требуется отбрасывать сучья и
убирать их с эстакады; увеличивается расход троса
за счет удлинения чокеров и резкого возрастания
сопротивления при сборе пачки; повышается выход
26
из строя задних мостов, рам и балансиров тракторов.

27. Трелевка хлыстов

• Производится, как правило, за вершины.
• Преимущества: возможность рациональной
раскряжевки дерева; валка вершиной на волок
позволяет укреплять его порубочными остатками; в
случае отказа от очистки лесосек или при применении
подборщиков сучьев открывается возможность
полностью освободить малые комплексные бригады от
сбора сучьев; условия обрубки сучьев в бесснежный
период и на плотных грунтах наиболее благоприятны,
так как деревья лежат рассредоточено, а не в пакете:
имеется возможность набора полногрузных возов;
возможна механизация обрезки сучьев с помощью
бензосучкорезок или легких бензопил; возможно
сохранение подроста.
• Недостатки: при трелевке хлыстов за вершины можно
отнести затрудненную работу обрубщиков сучьев при
глубоком снеге и возможность захода обрубщиков
сучьев в зону валки.
27

28. Трелевка сортиментов

• Трелевка сортиментов при аккуратном
выполнении работ при несплошных
рубках и рубках ухода не приводит к
повреждению древостоя, позволяет
обходиться без складских работ в лесу.
Здесь требуются машины меньшей
мощности, меньшего веса и меньших
габаритов. По всем этим причинам
трелевка сортиментов считается сейчас
наиболее перспективной.
28

29. Среднепасечная технология разработки лесосек с трелевкой деревьев за комли на базе канатно-чокерных трелевочных тракторов и

бензопил (сплошные рубки)
• Ширина пасек – в пределах величины, равной 30…40 м, при
необходимости может быть доведена до 60 м. Разработку
волока начинают с дальнего конца, а первые деревья валят в
свободные промежутки между стоящими деревьями. После
трелевки деревьев с волока, приступают к разработке каждой
полупасеки лентами шириной 6…10 м, примыкающими к волоку
под углом 45…60о. Разработку полупасеки начинают с дальнего
конца. На одной ленте должно быть повалено столько деревьев,
сколько необходимо для набора одной пачки. Трелевка
производиться сразу после валки, иначе нельзя производить
валку на следующей ленте. Вальщик может выполнять работу
чокеровщика, следовательно, численный состав бригады может
быть сокращен на одного рабочего. При малых расстояниях
трелевки создать межоперационный запас невозможно, что
приводить к частым простоям трактора в ожидании поваленных
деревьев или простоя вальщика при значительных расстояниях
трелевки. После ухода трактора на расстояние более 50 м
вальщик приступает к валке очередной группы деревьев для
следующей пачки.
29

30. Среднепасечная технология разработки лесосек с трелевкой деревьев за комли на базе канатно-чокерных трелевочных тракторов и

бензопил (сплошные рубки)
1 – лесовозный ус; 2 – магистральный волок; 3 – растущий лес; 4 – прорубка
волоков с помощью бензопил; 5 – граница пасек; 6 – граница зоны
безопасности; 7 – вальщик; 8 –лесопогрузочный пункт; 9 – пасечный волок; 10 –
трелевочный трактор; 11 – спиленные деревья; 12 – граница лент; 13 – пни; 14 –
ходы вальщика; 15 – очередность разработки пасек; 16 – штабель деревьев; 17
30
– обрезчик сучьев; 18 – штабель хлыстов

31. Широкопасечная технология с трелевкой деревьев за комли на базе трелевочных тракторов манипуляторного типа и бензопил (сплошные

рубки)
• Делянка осваивается пасеками шириной 50…60
м, которые разрабатываются параллельными
лентами шириной (– ширина ленты
формирования пачки трактором). Валка и
трелевка деревьев производится на разных
пасеках. Деревья на ленте валят от стены леса
на 10…15о или параллельно направлению
трелевки, комлями в сторону лесопогрузочного
пункта. Вальщик движется параллельными
ходами поперек ленты. После валки деревьев на
всей ленте производится формирование пачек и
их трелевка.
31

32. Широкопасечная технология с трелевкой деревьев за комли на базе трелевочных тракторов манипуляторного типа и бензопил (сплошные

рубки)
1 – лесовозный ус; 2 – магистральный волок; 3 – растущий лес; 5 – граница
пасек; 6 – граница зоны безопасности; 7 – вальщик; 8 –лесопогрузочный пункт; 9
– пасечный волок; 10 – трелевочный трактор; 11 – спиленные деревья; 12 –
граница лент; 13 – пни; 14 –ходы вальщика; 15 – очередность разработки пасек;
16 – штабель деревьев; 17 – обрезчик сучьев; 18 – штабель хлыстов
32

33. Схемы разработки лесосек с трелевкой хлыстов за вершины на базе канатно-чокерных тракторов и бензопил: по узкопасечной

Схемы разработки лесосек с трелевкой хлыстов за вершины на базе канатночокерных тракторов и бензопил: по узкопасечной технологии (сплошная
рубка с сохранением подроста); по среднепасечной технологии (выборочная
рубка)
Делянка разбивается на пасеки, ширина пасек в пределах 30…40 м.
Полупасеки делят на ленты шириной 5…10 м. В целях сохранения от
повреждения подроста и оставляемых на корню деревьев, на
поворотах пасечных и магистральных волоков оставляются отбойные
деревья из числа назначенных в рубку, которые вырубаются после
завершения лесосечных работ. Валка деревьев на волоке и
полупасеках начинается с ближнего к лесопогрузочному пункту конца
пасеки. Полупасеки (справа и слева от волока) разрабатывают в два
захода. В первый заход валят деревья на ленте (шириной 5…7 м),
примыкающей к волоку, под острым углом (5…20°) к нему. После
трелевки хлыстов с первой ленты валят деревья на ленте, удаленной
от волока, на изреженную часть пасеки в образовавшиеся просветы
под углом 30…45° к волоку.
После валки деревьев на первой пасеке вальщик приступает к обрезке
сучьев или переходит на следующую пасеку, разработка которой
начинается с прорубки волока шириной 5 м. В это время на первой
пасеке работают обрезчики сучьев, а трактор с канатно-чокерным
оборудованием проводит трелевку за вершины хлыстов. Сучья
обрезают на пасеках моторным инструментом и укладывают на волок,
уплотняя в процессе трелевки. Порубочные остатки, находящиеся
далее 5 метров от края волока, собирают в мелкие кучи в местах,
33
свободных от подроста.

34.


Схема разработки лесосек с трелевкой хлыстов за вершины на базе канатночокерных тракторов и бензопил по узкопасечной технологии (сплошная рубка с
сохранением подроста): 1 − лесовозный ус; 2 – лесопогрузочный пункт; 3 −
штабель хлыстов; 4 – магистральный волок; 5 − зона безопасности; 6 –
растущий лес; 7 − пни; 8 − хлысты; 9 − обрезчик сучьев; 10 − сохраненный
подрост; 11 – спиленные деревья; 12 – вальщик леса; 13 – пасечный волок; 14 –
очередность разработки лент; 15– трелевочный трактор; 16 – порубочные
остатки
34

35.


Схема разработки лесосек с трелевкой хлыстов за вершины на базе
канатно-чокерных тракторов и бензопил по среднепасечной технологии
(выборочная рубка): 1 − лесовозный ус; 2 – лесопогрузочный пункт; 3 −
штабель хлыстов; 4 – магистральный волок; 5 − зона безопасности; 6 –
растущий лес; 7 − пни; 8 − хлысты; 9 − обрезчик сучьев; 11 –
спиленные деревья; 12 – вальщик леса; 13 – пасечный волок; 14 –
очередность разработки лент; 15– трелевочный трактор; 16 –
порубочные остатки; 17 – раскряжевщик; 18 − штабель сортиментов
35

36. Технология разработки лесосек при групповой выборке деревьев на базе трелевочных тракторов и бензопил

• Приемлема при проведении выборочных рубок (группововыборочных и группово-постепенных (котловинных) рубок).
• Разработка лесосек предусматривает трелевку хлыстов. Возле
лесовозной дороги разрубается (или выбирается место)
лесопогрузочный пункт, а затем волоки. После трелевки
древесины с волоков приступают к валке деревьев в «окнах» (в
местах расположения группового подроста) и
лесовозобновительных кольцах. Направление валки −
вершинами в сторону трелевки с максимальным сохранением
подроста. Очистка деревьев от сучьев производится на
лесосеке легкими бензопилами, сучья укладываются на волок.
• При наличии группового подроста разработка лесосеки ведется
по схеме (рис. а). Пасечные волоки прорубаются так, чтобы они
проходили с двух сторон «окна».
• Без наличия подроста разработка лесосек ведется по схеме,
приведенной на рис.б. Расстояние между пасечными
трелевочными волоками 50…60 м. «Окна» с
«лесовозобновительными кольцами» закладывают с таким
расчетом, чтобы волок проходил через середину «окна».
36

37. Схема разработки лесосеки при проведении группово-постепенной рубки: а – с наличием группового подроста; б – без подроста

Схема разработки лесосеки при проведении групповопостепенной рубки: а – с наличием группового подроста;
б – без подроста
1 − лесовозная дорога; 2 − волока; 3 − вырубленные деревья; 4 −
сохраненный подрост; 5 − окна; 6 − хлысты; 7− лесовозобновленные
37
кольца; 8 − лесопогрузочный пункт

38. Среднепасечная технология с трелевкой сортиментов на базе колесных канатно-чокерных трелевочных тракторов и бензопил

(выборочные рубки)
Валку деревьев на технологическом коридоре (волоке) начинают с
ближнего конца, деревья валят вершиной по направлению к верхнему
складу. После спиливания достаточного количества деревьев, вальщик
выполняет обрезку сучьев с поваленных деревьев, производит разметку
хлыстов, с последующей их раскряжевкой на сортименты и частичным их
окучиванием. По окончании трелёвки сортиментов с волоков приступают к
разработке полупасек.
Полупасеки (справа и слева от волока) разрабатывают в два приема. В
первый прием валят деревья на ленте, примыкающей к волоку, шириной
5…7 м, вершинами на волок. После перехода вальщика на другую пасеку
или после того, как вальщик свалит деревья по длине ленты не менее 50 м,
обрезают сучья с поваленных деревьев и раскряжевывают хлысты на
сортименты. Порубочные остатки укладывают на волок.
Колесный трактор с канатно-чокерным оборудованием производит трелевку
сортиментов на верхний склад. На верхнем складе рабочий отцепляет
сортименты, а трактор формирует из них штабель. После окончания
трелевки сортиментов с первой ленты, за второй прием валят деревья на
удаленной от волока ленте на изреженную часть пасеки. Технология
выполнения работ аналогична ранее описанной.
С целью уменьшения повреждаемости оставляемого древостоя при
выборочных рубках следует производить подтрелевку сортиментов из
центральной части пасеки на волок. Этот приём позволит уменьшить
38
количество манёвров трактора при сборе и трелёвки сортиментов.

39. Среднепасечная технология с трелевкой сортиментов на базе колесных канатно-чокерных трелевочных тракторов и бензопил

(выборочные рубки)
1 – лесовозный ус; 2 – магистральный волок; 3 – колесный трактор с канатно-чокерным
оборудованием; 4 – верхний склад; 5 – пасечный волок; 6 – перестойные и спелые деревья,
подлежащие вырубке; 7 – граница пасек; 8 – сортименты, заготовленные при прорубке
коридора; 9 – зона безопасности; 10 – вальщик при разрубке волока; 11 – неспелые
деревья, подлежащие оставлению на выращивание; 12 – сортименты, заготовленные при
разрубке лент; 13 – обрезчик сучьев; 14 – граница лент; 15 – ленты, пройденные рубкой
(неспелые деревья, включая подрост)
39

40. Узкопасечная технология разработки лесосек на базе харвестера и форвардера


Приемлема для реализации всех видов сплошных рубок, в том числе с
предварительным возобновлением, преимущественно в насаждениях с
мелким подростом и с низко- и среднепроизводительными древостоями,
выборочных рубок (чересполосные, равномерно-постепенные и др.).
При сплошных рубках, харвестер разрабатывает лесосеку пасеками
шириной до 1,5…2 величины вылета манипулятора.
На технологической стоянке срезают деревья, валят их и подтаскивают
на волок, очищают от сучьев и раскряжевывают стволы на сортименты.
Поочередно срезают и обрабатывают все деревья, находящиеся в зоне
действия манипулятора. При укладке сортиментов в пачки может
проводиться их сортировка.
Сбор и подвозка сортиментов на верхний склад производится с
помощью форвардера, где укладываются в штабеля и могут быть
предварительно сортированы. При выборочных рубках разработка
лесосек может осуществляться путем комбинированной технологии,
при которой деревья, расположенные в зоне действия манипулятора
харвестера, обрабатывают машинным способом. Остальные деревья,
назначенные в рубку, валят бензопилой в просветы между деревьями
на свободные от подроста места вершинами на волок.
40

41. Узкопасечная технология разработки лесосек на базе харвестера и форвардера


1– лесовозный ус; 2 – магистральный волок; 3 – харвестер; 4 – верхний склад; 5
– штабель сортиментов; 6 – граница зоны безопасности; 7 – пни; 8 –
сохраненный подрост; 9 – насаждения до рубки; 10 – насаждение с подростом
до рубки; 11 – разворотное кольцо; 12 – форвардер; 13 – пасечный
технологический коридор; 14 – порубочные остатки;
41
15 – пачки сортиментов; 16 – граница пасек

42. Узкопасечная технология с трелевкой сортиментов на базе форвардеров и безопил

• Приемлема для реализации всех видов сплошных рубок, в т.ч. с
предварительным возобновлением, а также выборочных рубок
при ограниченной вырубке деревьев в технологических целях,
преимущественно с прокладкой непрямолинейных
технологических коридоров (чересполосные постепенные,
равномерно-постепенные рубки в мягколиственных
насаждениях со вторым ярусом и подростом и др.).
• Вальщики леса последовательно выполняют весь комплекс
лесосечных работ – валку деревьев, обрезку сучьев с укладкой
их на волок и частичным оставлением на пасеке для
перегнивания, разметку и раскряжевку хлыстов, подноску
(подтаскивание) сортиментов в зону действия манипулятора
форвардера и укладку в пачки. Сбор и транспортировка
сортиментов на верхний склад, сортировка и штабелевка
сортиментов производятся форвардером. Один форвардер в
зависимости от состава и крупномерности древостоя должен
обслуживать 3…5 вальщиков.
42

43. Узкопасечная технология с трелевкой сортиментов на базе форвардеров и безопил


1 – лесовозный ус; 2 – магистральный волок; 3 – пасечный волок; 4 –
сортименты, заготовленные при разрубке пасеки; 5 – верхний склад; 6 –
штабеля сортиментов; 7 – граница пасек; 8 – пни; 9 – граница зоны
безопасности; 10 – насаждения до рубки; 11 – сортименты, заготовленные при
прорубке волоков (коридоров); 12 – вальщик при прорубке волока; 13 –
разворотное кольцо; 14 – форвардер; 15 – валка деревьев на пасеки; 16 –
порубочные остатки; 17 – сохраненный подрост
43

44. Выбор системы машин на лесосечных работах. Валка деревьев


Специализированные пилы с
высоким расположением рукояток
«Урал-2» применяются в основном
для валки деревьев и могут быть
использованы также на раскряжевке
хлыстов, обрезке толстых сучьев и
вершин, подготовительных и других
работах.
Универсальные пилы с низким
расположением рукояток: «Тайга214», «Тайга-245» предназначены
для обрезки сучьев и вершин,
раскряжевки хлыстов и валки
деревьев в насаждениях со средним
объемом хлыста до 0,3 м3.
Из зарубежных фирм и моделей в
РФ используются пилы фирм
«Хускварна», «Штиль», «Йонсеред».
44

45. Харвестеры


Харвестеры представляют собой
трактор с колесным или
гусеничным двигателем,
установленным на нем
технологическим оборудованием –
гидроманипулятором на консоли
которого расположено валочносучкорезно-раскряжевочное
устройство. Перерезание ствола
дерева и его раскряжевка
производятся цепными пилами, а
обрезка сучьев – сучкорезной
головкой с ножами силового
резания и вальцовым
протаскивающим механизмом.
Наиболее удачными
отечественными харвестерами
являются «Софит-Х», «МТЗабсолют».
Основными зарубежными
фирмами, производящими
комплексы для сортиментной
технологии, являются
скандинавские концерны «Раума»
(«Тимберджек»), «Партек Форекст»
45
(«Валмет»).

46. Гусеничные канатно-чокерные трелевочные тракторы и колесные тракторы манипуляторного типа с пачковым захватом

• Тракторы гусеничные,
например ЛХТ-55, ТЛТ-10006, ТДТ-55А.
• Тракторы колесные, с
пачковым захватом.
Пачковые захваты берут
заранее сформированную
пачку и делают это за один
прием. Погруженная пачка
удерживается не в конике, а
в самом захвате. Пачковый
захват состоит из двух
основных узлов – стрелы и
собственного захвата
(манипулятор).
46

47. Колесные канатно-чокерные трелевочные тракторы: Беларус 82, Беларус ТТР-401М, Кировец-703М, Т-157

Колесные канатно-чокерные трелевочные
тракторы: Беларус 82, Беларус ТТР-401М, Кировец703М, Т-157
47

48. Форвардеры


Подборщики-сортиментовозы
(форвардеры) предназначены для сбора,
погрузки на себя и трелевки сортиментов
на погрузочную площадку. Базовый
трактор – повышенной проходимости с
колесным или гусеничным движителем и
шарнирно-сочлененной рамой. На
передней полураме расположены
гидроманипулятор с клещевым захватом
бревен и грузовая платформа со стойками
для сортиментов. Гидроманипулятор
предназначен для захвата и погрузки на
грузовую платформу форвардера
лесоматериалов, разгрузки и укладки в
штабель у лесовозной дороги.
На лесозаготовках имеют применение
форвардеры отечественного производства
Софит-4Ф, МЛ-74.
Основными зарубежными фирмами,
производящими форвардеры, являются
скандинавские концерны «Раума»
(«Тимберджек», «Локомо»), «Партек
Форест» («Валмет»).
48

49. Форма 7. Технология рубок спелых и перестойных лесных насаждений

Объект
Год,
месяц
рубки
Вид
рубки
Вырубаемый
запас,
м3/га
Вырубаемый
запас,
общий,
м3
Технологические операции рубок
Интенсивность
рубки,
%
валка
деревьев
обрезка
сучьев
раскряжевка
хлыстов
трелевка
очистка
мест
рубок
49

50. Итоговые материалы:

1)
2)
3)
3)
6 технологических карт.
Форма 7.
Пояснительная записка с обоснованием:
схем расположения волоков;
схем разработки пасек;
способа трелевки заготовленной древесины;
технологий и общих схем разработки лесосек
при сплошных и выборочных рубках;
выбора системы лесосечных машин.
Технические характеристики выбранной
системы лесосечных машин, их стоимость и
производительность.
50
English     Русский Rules