75.74K

А11 Геометрический смысл производной - уравнение касательной

1.

Вариант 1
Ф.И.:
__________________________
Найдите уравнение касательной к
графику функции:
1. y = x² в точке x₀ = 1
2. y = sin(x) в точке x₀ = 0
3. y = e^x в точке x₀ = 0
4. y = ln(x) в точке x₀ = 1
5. y = x^3 + 2x в точке x₀ = -1
6. y = sqrt(x) в точке x₀ = 4
Вариант 3
Ф.И.:
__________________________
Найдите уравнение касательной к
графику функции:
1. y = x⁴ в точке x₀ = -1
2. y = tan(x) в точке x₀ = 0
3. y = e^(2x) в точке x₀ = 0
4. y = ln(2x) в точке x₀ = 0.5
5. y=x^2 + 4x + 1 в точке x₀ = -2
6. y = x^(3/2) в точке x₀ = 4
Вариант 5
Ф.И.:
__________________________
Найдите уравнение касательной к
графику функции:
1. y = √x в точке x₀ = 9
2. y = 2sin(x) в точке x₀ = π
3. y = e^(-x) в точке x₀ = 0
4. y = ln(x²) в точке x₀ = 1
5. y = x^3 - 3x^2 + 2 в точке x₀ = 1
6. y = x^2 - 5x + 6 в точке x₀ = 3
Вариант 2
Ф.И.:
__________________________
Найдите уравнение касательной к
графику функции:
1. y = x³ в точке x₀ = 2
2. y = cos(x) в точке x₀ = π/2
3. y = 2^x в точке x₀ = 1
4. y = log₂(x) в точке x₀ = 2
5. y = 3x^2 - x в точке x₀ = 2
6. y=1/x в точке x₀ = 1
Вариант 4
Ф.И.:
__________________________
Найдите уравнение касательной к
графику функции:
1. y = 1/x в точке x₀ = 2
2. y = cot(x) в точке x₀ = π/2
3. y = 3^x в точке x₀ = 0
4. y = log₃(x) в точке x₀ = 3
5. y=x/(x+1) в точке x₀ = 0
6. y=x/(x-1) в точке x₀ = 2
Вариант 6
Ф.И.:
__________________________
Найдите уравнение касательной к
графику функции:
1. y = x^(5/2) в точке x₀ = 1
2. y = -cos(x) в точке x₀ = 0
3. y = 4^x в точке x₀ = 0
4. y = log₄(x) в точке x₀ = 4
5. y= sin(2x) в точке x₀ = π/4
6. y=x^4+3x^2+1 в точке x₀ = -1

2.

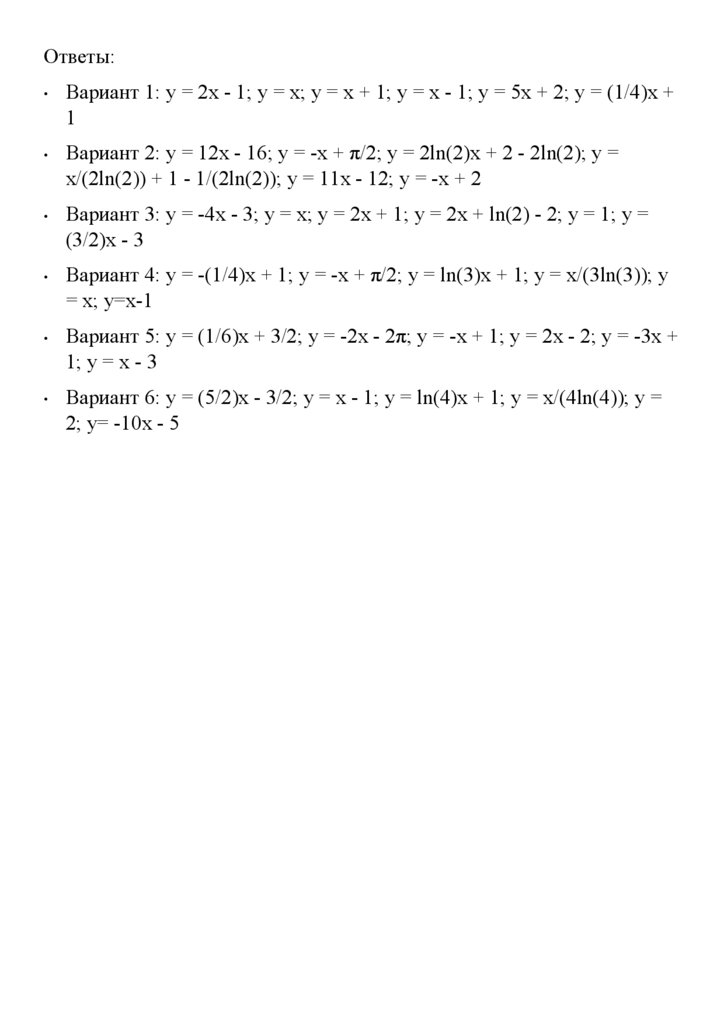
Ответы:
Вариант 1: y = 2x - 1; y = x; y = x + 1; y = x - 1; y = 5x + 2; y = (1/4)x +
1
Вариант 2: y = 12x - 16; y = -x + π/2; y = 2ln(2)x + 2 - 2ln(2); y =
x/(2ln(2)) + 1 - 1/(2ln(2)); y = 11x - 12; y = -x + 2
Вариант 3: y = -4x - 3; y = x; y = 2x + 1; y = 2x + ln(2) - 2; y = 1; y =
(3/2)x - 3
Вариант 4: y = -(1/4)x + 1; y = -x + π/2; y = ln(3)x + 1; y = x/(3ln(3)); y
= x; y=x-1
Вариант 5: y = (1/6)x + 3/2; y = -2x - 2π; y = -x + 1; y = 2x - 2; y = -3x +
1; y = x - 3
Вариант 6: y = (5/2)x - 3/2; y = x - 1; y = ln(4)x + 1; y = x/(4ln(4)); y =
2; y= -10x - 5
English     Русский Rules