561.36K
Category: physicsphysics

10 технолог класс на тему__ Движение тел под действием нескольких сил_

1.

« Движение тел
под действием
нескольких сил»
Первые два слайда для
повторения, не переписывать.

2.

3.

Он уже есть в тетради
1.Записать условие, перевести нужные величины в СИ
2. Нарисовать рисунок на котором показать:
а) все действующие силы
б) направление ускорения (скорости)
3.Записать второй закон Ньютона в векторном виде
(векторная сумма всех сил равна произведению массы
на ускорение)
4. Выбрать оси координат (ось х направить в сторону
движения тела)
5. Записать проекции сил на оси для конкретной
задачи
4.Написать формулы сил (трения, упругости и т.д.)
5. Найти искомую величину (решить задачу)
.

4.

ЗАДАНИЕ!!!!!
На следующих слайдах все типы
задач, которые решаются по
алгоритму. Переписать и разобрать
все задачи. (Не нойте, они все из 9
класса). Объяснять мне будете
каждую букву, поэтому не тупо
списываем, а разбираемся в
решении!!!!!!

5.

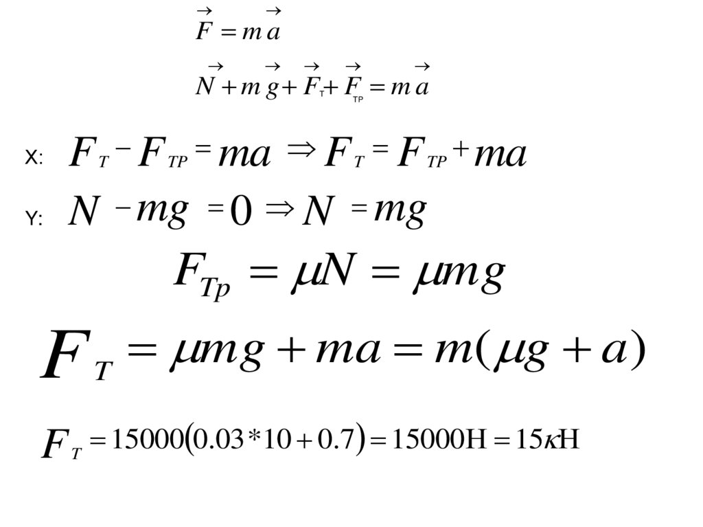
Задача № 1.
Автобус, масса которого с полной нагрузкой равна 15 т,
трогается с места с ускорением 0,7 м/с. Найти силу тяги,
если коэффициент сопротивления движению
равен 0,03.
2
Дано:
m 15m 15000кг
м
a 0,7 2
с
0,03
y
Решение:
a
N
Fтр
т
x
Найти:
F ?
F
mg

6.

F ma
N m g F F m a
T
TP
F F ma F F ma
Y: N mg 0 N mg
Х:
T
TP
T
TP
FTp N mg
mg
ma
m
(
g
a
)
FT
F 15000 0.03 *10 0.7 15000 15
T

7.

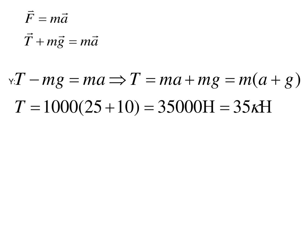
Задача № 2
Подъемный кран поднимает груз массой 1 т. Какова сила
натяжения троса в начале подъема, если груз двигается
(очень кратковременно) с ускорением 25 м/с .
2
Решение:
Дано:
m 1000кг
a 25 м / с
y
Т
2
а
Найти:
Т-?
mg

8.

F ma
T mg ma
T mg ma T ma mg m(a g )
T 1000(25 10) 35000 35
Y:

9.

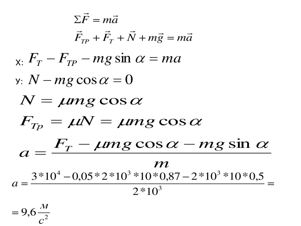
Задача№3 Вагонетку поднимают по эстакаде с углом наклона
30 к горизонту. Масса вагонетки 2т. Определить ускорение
если сила натяжения троса 30кН,коэффициент трения
равен 0,05.
0
Дано:
30
Решение:
0
m 2 *10 кг
3
FT 3 *10 4 H
Х
FT
а-?
У
FTP
0.05
Найти:
а
N
mg

10.

F ma
FTP FT N mg ma
Х:
FT FTP mg sin ma
N mg cos 0
N mg cos
FTp N mg cos
У:
FT mg cos mg sin
a
m
3 *10 4 0,05 * 2 *103 *10 * 0,87 2 *103 *10 * 0,5
a
3
2 *10
м
9,6 2
с

11.

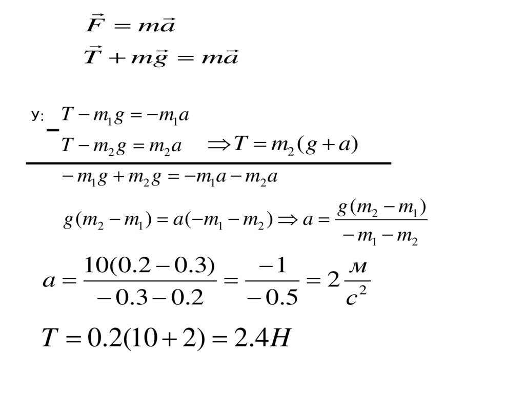
Задача№4
На шнуре, перекинутом через неподвижный блок,
помещены грузы массами 0,3 и 0,2кг.С каким
ускорением движется система? Каковасила
натяжения шнура во время движения?
Решение:
Дано:
m1 0.3кг
m2 0.2кг
m1 g
Найти:
a ?
T ?
a
T
У
T
m2 g
a

12.

F ma
T mg ma
У:
T m1 g m1a
T m2 g m2 a
T m2 ( g a)
m1 g m2 g m1a m2 a
g (m2 m1 )
g (m2 m1 ) a ( m1 m2 ) a
m1 m2
10(0.2 0.3)
1
м
a
2 2
0.3 0.2
0.5
с
T 0.2(10 2) 2.4 H

13.

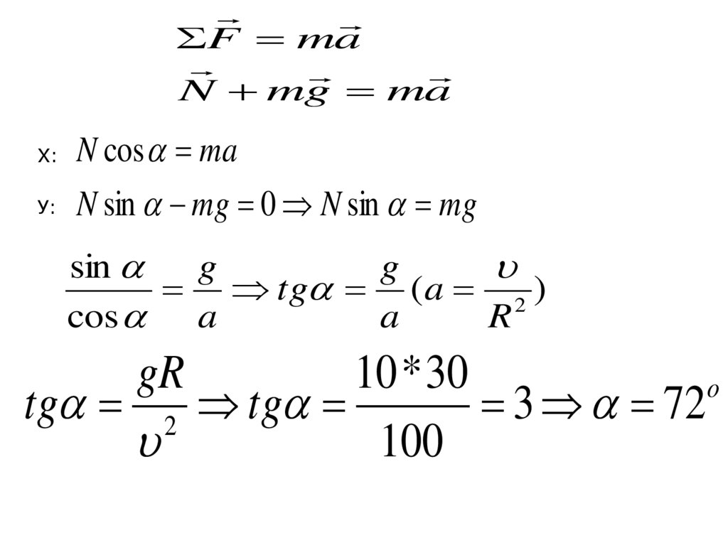
Задача№5 Конькобежец движется со скоростью 10м/с по
окружности радиусом 30 м.Под каким углом к горизонту он
должен наклониться, чтобы сохранить равновесие?
Решение:
Дано:
м
10
с
R 30 м
Найти:
?
а
N
mg
Х
У

14.

F ma
N mg ma
N cos ma
У: N sin mg 0 N sin mg
Х:
sin
g
g
tg (a 2 )
cos a
a
R
gR
10 * 30
o
tg 2 tg
3 72
100
English     Русский Rules