Зубные ткани
Зубные ткани
Зубные ткани/Дентин
Зубные ткани/Дентин
Зубные ткани/Дентин
Зубные ткани/Дентин
Зубные ткани/Дентин
Зубные ткани/Дентин
Зубные ткани/ Дентин
Зубные ткани/Дентин
Зубные ткани/Дентин
Зубные ткани/Дентин
Дентиногенез
Дентиногенез
Дентиногенез
Дентиногенез
Цемент
Цемент
Эмаль
Эмаль
Эмаль
Эмаль/Амелогенез
Эмаль/Амелогенез
Эмаль/Амелогенез
Эмаль/Амелогенез
Эмаль/Амелогенез
Эмаль/Амелогенез
Эмаль/Амелогенез
Эмаль/Амелогенез
Эмаль/Амелогенез
1.85M
Category: medicinemedicine

Биохимия

1.

СЗГМУ им. И.И.МЕЧНИКОВА
КАФЕДРА КЛИНИЧЕСКОЙ ЛАБОРАТОРНОЙ ДИАГНОСТИКИ,
БИОЛОГИЧЕСКОЙ И ОБЩЕЙ ХИМИИ им. В.В.СОКОЛОВСКОГО
БИОЛОГИЧЕСКАЯ ХИМИЯ - БИОХИМИЯ ПОЛОСТИ РТА
Раздел XI / Биохимия тканей и жидкостей полости рта /
Биохимия минерализованных тканей
ЛЕКЦИЯ
БИОХИМИЯ ТВЕРДЫХ ТКАНЕЙ ЗУБА
Доцент АНТОНОВА Ж.В.
2025 / 2026

2.

Список сокращений
КЛ I типа – коллаген I типа
ГАП - гидроксиапатиты
ПГ - протеогликаны
ГАГ- гликозаминогликаны
ОСП – остеопонтин
ОНК - остеонектин
ГФП – гликофосфопротеин
ГП – гликопротеин
НКБ – неколлагеновый белок
ФРФ – фактор роста фибробластов
β- ТФР – β- трансформирующий фактор роста
ИФР-1 – инсулиноподобный фактор роста
ФНО-α – фактор некроза опухоли- α
ИЛ-1-β – интерлейкин -1- β
МАП – магниевые апатиты
КАП – карбонатные апатиты
ФАП - фторапатиты
2.Ж.В

3.

Ткани полости рта по физическим свойствам делятся
на
твердые (минерализованные)
эмаль
дентин
цемент
альвеолярная кость
мягкие
пульпа
десна
надкостница альвеолярных отростков
периодонт (периодонтальные связки)
3.Ж.В.

4. Зубные ткани

Зубные ткани
1. Дентин - твердая минерализованная ткань,
образует основу зуба, его форму.
Снаружи дентин покрывают 2 вида твердых
минерализованных тканей:
2. Эмаль - в области коронки зуба
3. Цемент - от шейки зуба до основания корня
4.Ж.В.

5. Зубные ткани

4. Срединная часть зуба под дентином - это пульпарная
камера (полость), заполненная пульпой, рыхлой
соединительной тканью.
5. Прикрепление зуба к костной лунке осуществляет
поддерживающий аппарат, который состоит из
десны
костной стенки зубной альвеолы
периодонтальных волокон
(периодонта, периодонтальных связок)
цемента
и называется пародонт.
5.Ж.В.

6. Зубные ткани/Дентин

Дентин
Гетерогенное образование, состоит из слоев, отличающихся по
степени минерализации (или ее отсутствию) и по структурной
организации матрикса.
Предентин – самый глубокий слой дентина, расположен
на границе с пульпой зуба. Это тонкий пласт
неминерализованной органической матрицы, содержащей в
основном коллагеновые белки.
Различают 2 слоя дентина,
образующихся в процессе развития зуба:
Минерализованный околопульпарный (1) и
плащевой (2)
6.Ж.В.

7. Зубные ткани/Дентин

1) Минерализованный околопульпарный состоит из
(интра)-интертубулярного дентина
перитубулярного дентина (ПД)
отростков одонтобластов
а) интертубулярный (первичный) заполняет пространство
м/у дентиновыми трубочками (Рис.1, 2)
Особенности состава
КЛ I типа, вдоль которого расположены кристаллы ГАП
ПГ с хондроитин-4-сульфатом и хондроитин-6-сульфатом
ГАГ: - гл. образом гиалуроновая к-та, образующая защитную пленку в
мембранах Неймана дентинных трубочек
Липиды –в виде липосом
7.Ж.В.

8. Зубные ткани/Дентин

Преобладают ГАП, но много карбонатных и магниевых,
(особенно в перитубулярном дентине), фторапатитов,
аморфного фосфата кальция
Нет фибронектина
Содержит ОСП
Специфические белки дентина
матриксный белок дентина-1 (кислый ГФП):
связывает много Са 2+ и активно участвует в формировании и
росте кристаллов ГАП в ходе дентиногенеза
дентинсиалопротеин (ГП): составляет 8% от всех НКБ белков
дентина, содержит сиаловые кислоты (10%) и углеводы (30%).
8.Ж.В.

9. Зубные ткани/Дентин

Фосфофорин: самый главный НКБ матрикса дентина ( 50%).
Синтезируется одонтобластами, содержит многократно повторяемое
звено из АСП и 2-3х остатков фосфосерина
… Асп - Сер
-
Сер
-
Сер …
n
СОО- (ОРО3)2- (ОРО3)2- (ОРО3)2Самый кислый белок, ИЭТ=1,1; имеет большое сродство к Са2+ и
действует как нуклеатор в первых этапах минерализации;
влияет на рост и формирование кристаллов.
9.Ж.В.

10.

11.

11.Ж.В.

12. Зубные ткани/Дентин

б) перитубулярный дентин (ПД) окружает каждую
дентинную трубочку и образует ее стенку (Рис.1,2)
Процесс образования идет непрерывно в присутствии
жизнеспособных одонтобластов, поэтому с возрастом этот
слой увеличивается, что уменьшает просвет дентинной
трубочки.
Особенности состава
ПГ
Нет фибриллярных структур
12.Ж.В.

13. Зубные ткани/Дентин

Преобладают ГАП, но очень много магниевых и
карбонатных апатитов, которые легко растворяются
Минимальное содержание органических веществ в ПД
Повышена степень минерализации
При действии кариесогенных факторов (кислоты,
декальцинация) ПД разрушается быстрее, чем
интертубулярный.
Это приводит к расширению трубочек и увеличению
проницаемости дентина.
13.Ж.В.

14. Зубные ткани/ Дентин

в) отростки одонтобластов находятся в дентинных трубочках
(ДТ), пронизывающих дентин от пульпы до эмали и в корне до
цемента (Рис. 1, 2).
Изнутри трубочка покрыта мембраной Неймана. Это слой ГАГ,
(гл. образ. гиалуроновая кислота), который регулирует поток
воды, ионов, защищает от микроорганизмов.
Между отростком и стенкой трубочки–
периодонтобластическое пространство. Оно заполнено
дентинной жидкостью (ДЖ).
ДЖ-это транссудат периферических капилляров пульпы и по
белковому составу сходен с плазмой. В ней содержатся ГП,
фибронектин, интертубулярные коллагеновые фибриллы.
14.Ж.В.

15. Зубные ткани/Дентин

2) Плащевой дентин - наружный, покрывающий
околопульпарный:
в коронке идет параллельно дентиноэмалевой границе
(интерглобулярный дентин) и на периферии корневого отдела (зернистый
слой Томса, в котором нет перитубулярного дентина).
Особенности состава
КЛ I и КЛ V(мало) типов; волокна ориентированы параллельно
дентинным трубочкам; КЛ меньше, чем в околопульпарном дентине
ПГ, связанные с кристаллами ГАП
Фибронектин, ОНК
Матрикс менее минерализован
Нет ОСП и фосфорилированных сиаловых кислот
15.Ж.В.

16. Зубные ткани/Дентин

Виды дентина, которые образуются у взрослых
Вторичный дентин (часть околопульпарного) - отражает
остаточную активность одонтобластов, которая сохраняется после
активного дентиногенеза.
Формируется медленно, всю жизнь.
Образуется неравномерно, что изменяет форму и уменьшает
объем пульпарной камеры.
Толщина вторичного дентина используется как показатель
возраста индивида.
В МКМ: снижена степень упорядоченности коллагеновых
фибрилл и менее минерализован, чем интертубулярный.
16.Ж.В.

17. Зубные ткани/Дентин

Третичный дентин (репаративный)
• Образуется локально в ответ на механические и бактериальные
повреждения матрикса.
• Образуется путем активации одонтобластов, находящихся в
пульпе в виде клеток-предшественников
• Выполняет роль защитного барьера для предохранения пульпы
• Отличается от вторичного меньшей упорядоченностью
структуры матрикса и меньшей минерализацией.
17.Ж.В.

18. Дентиногенез

Образование дентина связано с пульпой, вместе они формируют
дентинопульпарный комплекс.
• В дентине нет собственных клеток, поэтому одонтобласты пульпы
формируют и поддерживают структуру и форму минерализованного
матрикса дентина.
Стадии дентиногенеза
1) Образование секреторноактивных одонтобластов (ОДБ)
Пролиферация и дифференциация ОДБ находится под строгим
контролем факторов роста, связанных с компонентами МКМ
Это: ФРФ, β- ТФР, морфогенетический белок кости-2 и -4,
ИФР-1, ФНО-α, ИЛ-1-β.
При снижении б/с β-ТФР снижается б/с фосфофоринов и нарушается
минерализация.
18.Ж.В.

19. Дентиногенез

2) Формирование МКМ секреторно-активными ОДБ
ОДБ имеют: обильные ЭПС, хорошо развитый аппарат Гольджи,
много митохондрий, специальных секреторных гранул
Они активно синтезируют и транспортируют во ВКМ белки и
ионы:
идет синтез КЛ и НКБ, их посттрансляционная модификация,
упаковка в визикулы в аппарате Гольджи
высвобождение визикул в МКМ путем экзоцитоза в апикальных
отделах тела ОДБ и их отростков
Содержимое формирует МКМ дентина (предентин)
19.Ж.В.

20. Дентиногенез

3) Минерализация предентина
Фосфофорин прочно связывается с КЛ и возникают центры
нуклеации для отложения кристаллов ГАП
Ионы, находящиеся в телах ОДБ, разными путями продвигаются к
центрам нуклеации:
анионы фосфора проникают через мембрану без специальных
механизмов, их конценрация внутри и вне клеток почти одинаковая
доставка Са2+ идет специфическим путем, для этого необходимы
кальциевые каналы одонтобластов;
поток Са2+ из клеток в сторону дентина, направлен против
градиента концентрации. Для его преодоления работают механизмы
Na+/Cа2+-обмена с участием трансмембранного белка;
Са2+-активируемая АТФ-аза, которая обеспечит выход Са2+ из
цитоплазмы в предентин, в котором концентрация Са2+ больше, чем
в пульпе зуба.
20.Ж.В.

21. Дентиногенез

Поступление ионов происходит как в дентиногенезе, так и
после прорезывания зуба для поддержания минерального
состава зрелого дентина.
Минерализация дентина идет по механизму прямой
кристаллизации ГАП (эпитаксическая нуклеация)
Степень минерализации выше, чем в кости
Кристаллы имеют пластинчатую форму и ориентированы вдоль
волокон КЛ
Отсутствует ремоделирование дентина
Обновление - за счет механизмов ионного обмена в готовых
кристаллах, поэтому много МАП, КАП, ФАП
21.Ж.В.

22.

Рис. 3
Транспортные
системы в
одонтобластах
дентинопульпарного
комплекса
[по Edwards P.A.,
2005]
22.Ж.В.

23. Цемент

Цемент
Минерализованная ткань без сосудов, входит в состав пародонта,
защищает дентин от повреждений, выполняет репаративные функции.
Цемент прочно соединен с дентином, покрывая его неравномерно в
области шейки зуба (миним. толщина) и корня ( максим. толщ. у
верхушки корня)
Самый толстый слой цемента покрывает корни жевательных зубов.
Клетки: цементоциты и цементобласты формируют МКМ
Состав МКМ: *различные апатиты
* КЛ 1- (90%) – выполняет морфогенитическую функцию и
образует плато для минерализации
* КЛ III- (5%) - покрывает фибриллы КЛ I
*КЛ II, КЛ XII, КЛ XIV (мало) - влияют на толщину и
ориентацию коллаген. фибрилл в МКМ
23.Ж.В.

24. Цемент

* НКБ цемента: большие ГП- костный сиалопротеин и
ОСП, связанные с КБ и клетками. Они участвуют в минерализации,
адгезии, играют роль в превращении прецементобластов в цементобласты.
Стадии цементогенеза
1) Хемотаксис и адгезия клеток-предшественников с образованием
прецементобластов ( «+» ФРФ, ИФР-1, и др.)
2) Пролиферация и дифференциация прецементобластов в
цементобласты под действием ФРФ, β-ТФР, ИФР-1,
морфогенитических белков кости, фактора роста цемента и др.
3) Цементобласты осуществляют матричный синтез белков МКМ:
КБ, костного сиалопротеина, фибронектина; остеопонтина, который
регулирует дифференц. клеток и минерализацию в цементе.
4) Минерализация.
24.Ж.В.

25. Эмаль

Эмаль
Самая твердая минерализованная ткань, не обладает
клеточной структурой, защищает дентин и пульпу от
внешних воздействий.
Структурная единица эмали- это эмалевая призма.
Состав и строение эмали
1) неорганические в-ва:
ГАП (75%), КАП (12%), ФАП (1%, больше в поверхностных
слоях);
много ионов Mg+2, Na+, Cl-; потом К+, Zn+2, Fe+2, Si+2,
(более 30 разл. элементов).
Кристаллы тонкие, длинные, тесно спресованные, с очень
тонкими прослойками межпризменного вещества.
25.Ж.В.

26. Эмаль

Там же находятся кристаллы, направленные под углом
к призмам, что повышает плотность упаковки.
Каждый кристалл окружен гидратной оболочкой
(связанная вода).
Жидкость эмали, содержащая ионы и молекулы
веществ, – это «эмалевый ликвор» или эмалевая
жидкость. Она движется по капиллярному механизму.
Бесклеточная эмаль не способна к регенерации, но
подвергается реминирализации.
26.Ж.В.

27. Эмаль

После прорезывания зуба в эмаль поступают ионы
преимущественно из слюны, а также через дентин из пульпы.
2) органические вещества эмали
углеводы (1,2-2%):глюкоза, галактоза, манноза, глюкуроновая
к-та
ГФЛ
Цитрат (0,1%)
Отдельные АК (Гли, Вал, Про, Гис, Лиз, Арг) и пептиды
ГФП- энамелины и амелогенины (1:1), специфические белки
эмали (кислые, гликозилированные), расположены м/у ГАП в
виде пучков, пластинок, спиралей, образуя тонкую сетку.
27.Ж.В.

28. Эмаль/Амелогенез

АМЕЛОГЕНЕЗ
Клетки: амелобласты (энамелобласты)
1) Первая стадия (секреторная)- первичная минерализация
Эктодерма
секреторно-активные энамелобласты
Б/с белков МКМ: амелогенинов (90%), энамелинов,
Са- связывающих и др. (10%)
Посттрансляционная модификация белков путем
фосфорилирования остатков серина
Упаковка белков в визикулы и секреция через апикальную
поверхность клеток в сторону дентина
28.Ж.В.

29. Эмаль/Амелогенез

Содержимое визикул высвобождается и распределяется поверх
дентина
Накапливается белковый материал МКМ
Происходит дальнейшее расщепление больших белков (гл.
обр. энамелинов, амелогенинов) путем огр. протеолиза (Е:
ММП-20, сериновые протеиназы) до низкомолекулярных
белков, (содерж. Глу, Асп, Фосфосерил), способных
присоединять Са2+ и РО4(3-)т.е быть нуклеаторами.
Глобулы амелогенина подвергаются спонтанной
самоагрегации за счет гидрофобных взаимодействий. В
результате образуются наносферы d=20нм (Рис.5,6). На их
поверхности находятся карбоксильные группы С-концевых
частей амелогенина, что обеспечивает взаимодействие с ГАП
29.Ж.В.

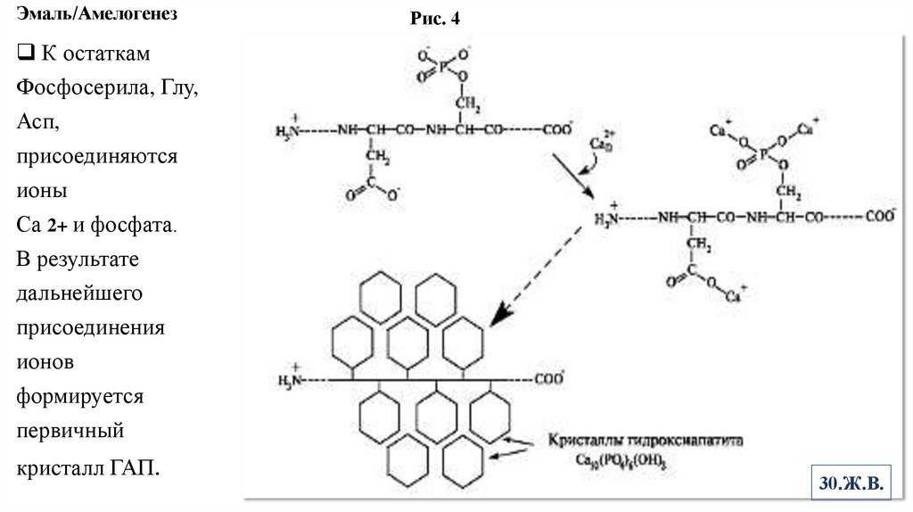
30. Эмаль/Амелогенез

Рис. 4
К остаткам
Фосфосерила, Глу,
Асп,
присоединяются
ионы
Са 2+ и фосфата.
В результате
дальнейшего
присоединения
ионов
формируется
первичный
кристалл ГАП.
30.Ж.В.

31. Эмаль/Амелогенез

Формируются длинные и тонкие кристаллы,
параллельные друг другу
Кристаллы утолщаются и превращаются в плоские 6ти угольные призмы
Рост кристаллов обеспечивается за счет
присоединения дополнительных ионов Са+2 и
фосфатов, которые поступают от амелобластов в
эмалевый матрикс
Амелогенины, упакованные в наносферы, регулируют
рост кристаллов в длину, ширину и толщину
Амелогенины подвижны и непрочно связываются с
кристаллами
31.Ж.В.

32. Эмаль/Амелогенез

Рис. 5 (А, Б)
А - Секреторно-активный энамелобласт. Б - Образование НС из 6-ти молекул АМГ

33. Эмаль/Амелогенез

За счет («-») Глу в составе амелогенина связывается
Са+2 и вода, что способствует формированию кристаллов
Амелогенины в составе наносфер мигрируют по
формирующейся эмали и, по мере роста кристаллов,
вытесняются в сторону амелобластов, которые,поднимаясь
от дентино-эмалевой границы, оставляют за собой
«шлейф» эмалевых призм.
Их высота будет определять толщину эмали. Кристаллы
окончательно выросли в длину.
33.Ж.В.

34. Эмаль/Амелогенез

Рис. 6
[По Ten Cate A.R., 1998].
А- клеточная мембрана
амелобласта;
Б - собранная наносфера (НС);
В - начальные кристаллиты;
Г- ансамбли из НС на поверхности
первичных кристаллов;
Д - кристаллы присоединяют
дополнительные ионы Са 2+ и
фосфата;
Е - минерализованный матрикс
дентина.
34.Ж.В.

35. Эмаль/Амелогенез

2) Вторая стадия (созревания)-вторичная минерализация
Амелобласты перестраиваются
Удаляются наносферы, (за счет б/с протеиназ)
Завершается рост кристаллов в ширину
Вытесняется (удаляется) вода, органические вещества
остатки белков
Эмаль длительно насыщается ионами Mg+2 и F Снаружи в эмали меньше белков, чем внутри
После прорезывания зубов эмаль покрывается органической
кутикулой
35.Ж.В.

36. Эмаль/Амелогенез

3) Третья стадия (зрелая эмаль)-третичная минерализация
после прорезывания зубов.
Окончательная минерализация
Дальнейшее формирование эмали и деградация клеточного
слоя.
Для 3-й минерализации эмали важен минеральный состав и
рН слюны.
36.Ж.В.

37.

Рис. 7. Эмалевые призмы на поперечном разрезе (а) и в продольном (б) сечении: 1 - призмы; 2 межпризменное вещество (по Matsumiya Siichi; цит. по Гемонову В.В., Лавровой Э.Н., Фалину И.Н.
Развитие и строение органов ротовой полости и зубов. - М., 2002.)
37.Ж.В.

38.

Литература
1. Т.П. Вавилова, А.Е. Медведев «Биологическая химия – биохимия
полости рта». Учебник, 2014 г: стр. 491- 495.
3. Т.П. Вавилова «Биохимия тканей и жидкостей полости рта», Изд.2012
г: стр. 78-105 (главы 4.1-4.5).
4. Л.А. Данилова, Н.А. Чайка «Биохимия полости рта»: Изд. 2016 г: стр.
42-61 (Гл.2.2-2.2.6); Изд. 2012 г: стр. 25-39 (Гл.2.3-2.8).
5. Сборник тестовых заданий по разделам биологической химии и
биохимии полости рта. Уч.-методич. Пособие для студ. стом. фак. Под
ред. проф. В.А. Дадали, доц. Ж.В. Антоновой, доц. Р.Н. Павловой.
Стр.159-166
38.Ж.В.

39.

Благодарю за внимание!
39.Ж.В.
English     Русский Rules