665.00K
Category: physicsphysics

ТТ ПЗ 3new!

1.

Тема 4.1.
4.2. «Магнитное поле»
поле в веществе»
СИБИРСКАЯ ПОЖАРНО-СПАСАТЕЛЬНАЯ
ФГБОУАКАДЕМИЯ
ВО СИБРСКАЯ
МЧС РОССИИ
ПОЖАРНО-СПАСАТЕЛЬНАЯ
Кафедра Физики, математики и
информационных технологий
Практическое занятие
Тема 3.1 «Термодинамика газовых
потоков»

2.

Вопрос 1. Основные понятия термодинамики
газовых потоков
Массовым расходом называется масса газа,
проходящего через сечение канала в единицу
времени (кг/с):
G w A,
А – площадь сечения, w – скорость потока,
ρ – плотность газа.

3.

Закон сохранения массы, или уравнение
неразрывности для стационарного потока:
G w A const

4.

Первый закон термодинамики для газовых
потоков:
2
Q
1
w
2
w1
Lтехн
Q m C pT2 C pT1 m w w / 2 Lтехн
2
2
2
1
Q – количество тепла; Ср – массовая изобарная
теплоемкость, Lтехн – техническая работа, совершаемая
газом

5.

Вопрос 2. Режимы истечения газов
P1, T1,
υ1
w
P0
Истечение газа из
баллона высокого
давления
P1,T1,υ1 – давление, температура, удельный объем,
газа внутри баллона;
w – скорость истечения газа
P0 – давление во внешней среде (противодавление)

6.

В зависимости от отношения давлений β = Р0/Р1
можно выделить три режима истечения газа:
k k 1
2
кр
k 1
а) при β > βкр - докритический режим. Скорость
истечения меньше скорости звука.
2k
w
R T1 1 k 1 / k
k 1
2k P1 2 / k
G A
k 1 / k
k 1 1

7.

б) при β = βкр - критический режим. Скорость
на выходе равна местной скорости звука.
2k
w
R T1
k 1
2k p1 2
G A
k 1 1 k 1
2 k 1
.

8.

в) при β < βкр сверхкритический режим. Скорость
на выходе равна местной скорости звука.
2k
w
R T1
k 1
2k p1 2
G A
k 1 1 k 1
2 k 1
.

9.

Задача 1. Определить скорость истечения
воздуха из баллона с избыточным давлением 2,3
кПа в помещение с нормальными условиями.
Температуру воздуха в баллоне считать равной
температуре окружающей среды.
Дано:
Ризб = 2,3 кПа = 2,3·103 Па
Рбар = 105 Па
нормальные
Т1 =273 К
условия
μ = 29 кг/кмоль
k = 1,4
w-?

10.

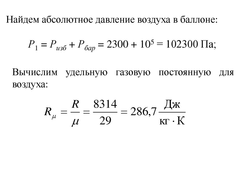
Найдем абсолютное давление воздуха в баллоне:
Р1 = Ризб + Рбар = 2300 + 105 = 102300 Па;
Вычислим удельную газовую постоянную для
воздуха:
8314
Дж
R
286,7
29
кг К
R

11.

Найдем отношение давлений газа во внешней
среде и внутри баллона:
105
0,98
P1 102300
Pбар
Определим критическое отношение давлений:
2
кр
k 1
k k 1
2
1,4 1
1, 4 / 1, 4 1
0,528

12.

β > βкр => докритический режим,
2k
k 1 / k
w
R T1 1
k 1
2 1,4
286,7 273 1 0,98 1, 4 1 /1, 4 57 м / с
0,4
Ответ: w = 57 м/с;

13.

Задача 2. В производственном помещении
размером 10 х 9 х 4 м проходит газопровод с
газом метаном температурой t1 = 2 0C и
избыточным давлением Ризб = 1,1 кПа. В
результате аварии на поверхности газопровода
образовалось отверстие площадью А = 1,6 мм2.
Оценить время образования взрывоопасной
концентрации в помещении. Условия в
помещении считать нормальными. Нижний
концентрационный предел распространения
пламени для метана 5% (по объему)

14.

Дано:
V = 360 м3
Ризб = 1,1 кПа = 1,1·103 Па
Рбар = 105 Па
Т0 = 00С
Т1 =20С = 275 К
μ = 16 кг/кмоль
A = 1,6 мм2 = 1,6·10-6 м2
k = 1,33
r(CH4)=0,05
τ-?

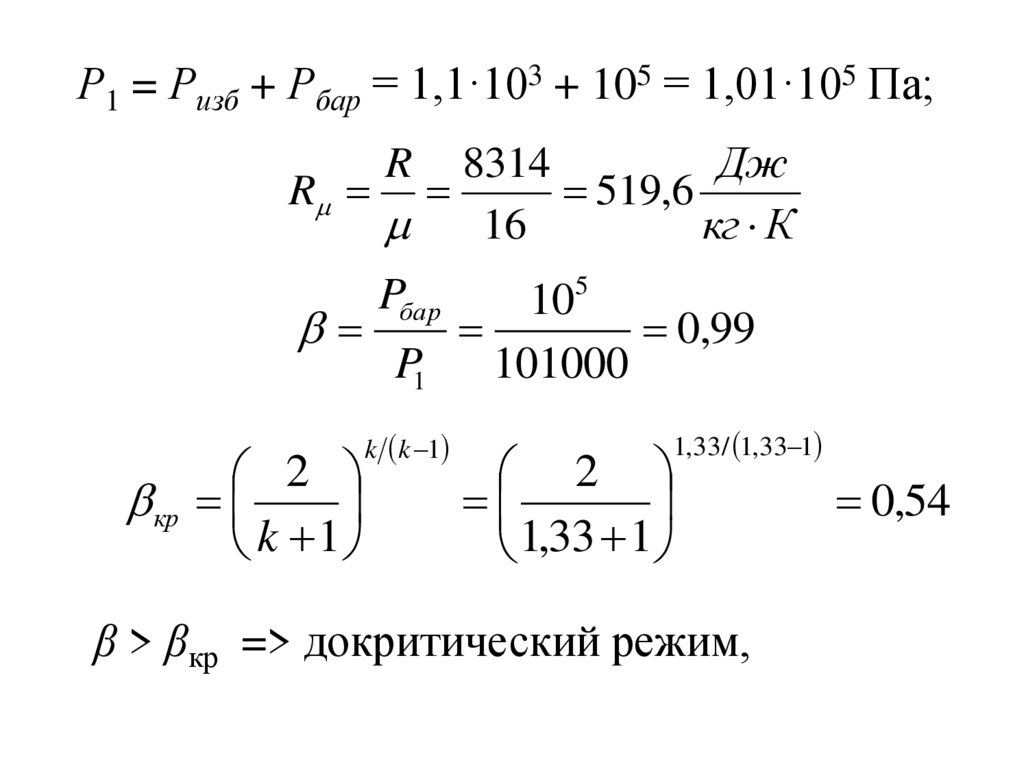
15.

Р1 = Ризб + Рбар = 1,1·103 + 105 = 1,01·105 Па;
8314
Дж
R
519,6
16
кг К
R
Pбар
5
10
0,99
P1 101000
2
кр
k 1
k k 1
1, 33/ 1, 33 1
2
1,33 1
β > βкр => докритический режим,
0,54

16.

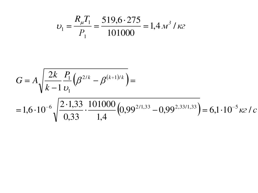
1
R T1
Р1
519,6 275
1,4 м 3 / кг
101000
2k P1 2 / k
G A
k 1 / k
k 1 1
1,6 10
6
2 1,33 101000
0,99 2 /1,33 0,99 2,33/1,33 6,1 10 5 кг / с
0,33
1,4

17.

Найдем парциальное давление метана:
PCH 4 0,05 P1 0,05 101000 5050 Па
Найдем массу метана:
PCH 4V mR T0
PCH 4V 5050 10 9 4
m
12,8 кг
R T0
519,6 273
m
12,8
209836 c 58,3 час
5
G 6,1 10

18.

Задача 3. Определить скорость истечения и
величину массового расхода гелия, вытекающего
через отверстие диаметром 7 мм из трубопровода
с избыточным давлением 290 кПа, температурой
300 °С в помещение со стандартными условиями.

19.

Дано:
Ризб = 290 кПа = 2,9·105 Па
Рбар = 105 Па; Т = 298 К (стандартные условия)
Т1 =3000С = 573 К
d = 7 мм = 0,007 м
μ = 4 кг/кмоль
k = 1,67
w, G - ?

20.

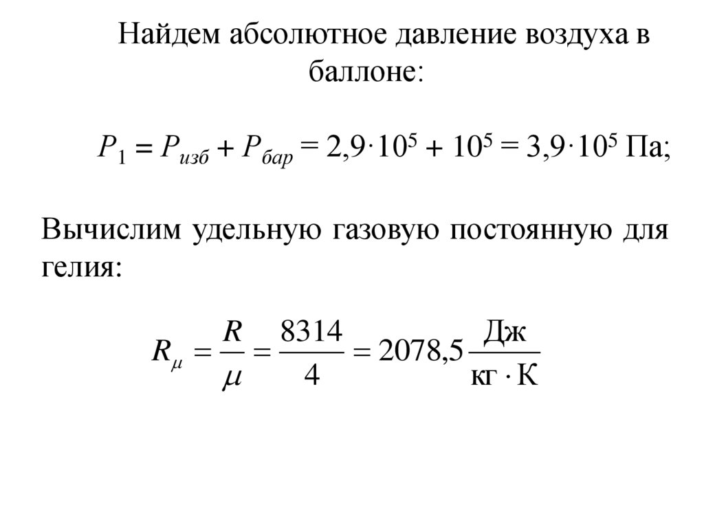
Найдем абсолютное давление воздуха в
баллоне:
Р1 = Ризб + Рбар = 2,9·105 + 105 = 3,9·105 Па;
Вычислим удельную газовую постоянную для
гелия:
8314
Дж
R
2078,5
4
кг К
R

21.

Определим
соотношение
давлений
окружающей среды и гелия в трубопроводе:
Pбар
5
10
0,26
5
P1
3,9 10
Определим критическое отношение давлений:
2
кр
k 1
k k 1
1, 67 / 1, 67 1
2
1,67 1
0,49

22.

β < βкр => сверхкритический режим,
2k
w
R T1
k 1
2 1,67
2078,5 573 1220,6 м/с
1,67 1

23.

Вычислим удельный
трубопроводе:
объем
гелия
2078,5 573
3
1
3
,
03
м
/ кг
5
P1
3,9 10
R T1
Найдем площадь сечения отверстия:
d
3,14 0,007
5 2
A
3,85 10 м
4
4
2
2
в

24.

Расход гелия через отверстие будет равен
максимальному значению:
2k p1 2
G A
k 1 1 k 1
3,85 10
5
2 k 1
2 1,67 3,9 10 2
1,67 1 3,03 1,67 1
5
2
10 кг / с 10 г / с.
Ответ: w = 1220,6 м/с; G = 10 г/с.
2 / 0 , 67

25.

Вопрос 3. Скорость звука.
торможения потока газа
Параметры
Скорость звука зависит от свойств и
параметров среды и для идеального газа равна:
c kR T

26.

Отношение скорости потока к местной скорости
звука называется числом Маха:
w
M
c
при М < 1 дозвуковой поток,
при М = 1 звуковой поток,
при М > 1 сверхзвуковой поток

27.

Если поток газа адиабатно затормозить до
нулевой скорости, то его кинетическая энергия
преобразуется в тепловую с увеличением
температуры газа, давление и плотность также
вырастут.
Параметры потока после торможения называют
параметрами торможения
и обозначают Р*, Т* и ρ*.

28.

Изоэнтропийные формулы связывают параметры
потока газа с их параметрами торможения:
k 1 2
T T * 1
M
2
k 1 2
P P * 1
M
2
1
k 1 2
* 1
M
2
k
k 1
1
k 1

29.

а) М < 1 (дозвуковой поток)
дозвуковой поток ускоряется в сужающемя
канале и тормозится в расширяющемся
канале;
б) М > 1 (сверхзвуковой поток)
сверхзвуковой поток ускоряется в
расширяющемся канале и тормозится в
сужающемся канале;

30.

Сопло
dw > 0; dP < 0
Диффузор
dw < 0; dP > 0
М<1
дозвуковой
режим
M>1
сверхзвуковой
режим
Схемы сопл и диффузоров при различных
режимах течения газов

31.

w=c
w<c
w>c
M<1
M>1
M=1
Сопло Лаваля – предназначено для ускорения
потока газа до сверхзвуковых скоростей

32.

Задача 4. При проектировании ракетного двигателя
необходимо соблюсти следующие условия:
1) по условиям механической и тепловой прочности
камеры сгорания температура в ней должна
составлять T = 3000 K, давление р = 200 атм.
2) давление на выходе из сопла должно быть
атмосферным p1 =1атм;
3) массовый расход рабочего тела G = 65 кг/с;
Требуется определить: критическое сечение сопла и
сечение выхода. Рабочим телом считать водяной пар c
= 18 кг/кмоль и k = l ,2.

33.

Дано:
Т* = 3000 К
Р* = 200 атм=2·107 Па
G = 65 кг/с
Р1= 1 атм = 105 Па
k = 1,2
μ = 18 кг/кмоль
А1, Акр - ?

34.

Найдем число Маха на выходе из сопла:
k 1 2
P1 P * 1
M1
2
2 P*
M1
k 1 P1
2 200
1,2 1 1
k 1 / k
1, 2 1 /1, 2
k / k 1
2
k 1
2
3,8
1,2 1

35.

Определим параметры потока на выходе
из сопла:
1
k 1 2
T1 T * 1
M1
1
1
1,2 1
2
3000 1
3,8 1227 K ;
2
8314
Дж
R
462
;
18
кг К
R
P1
10 5
1
0,18 кг/м 3
R T1 462 1227

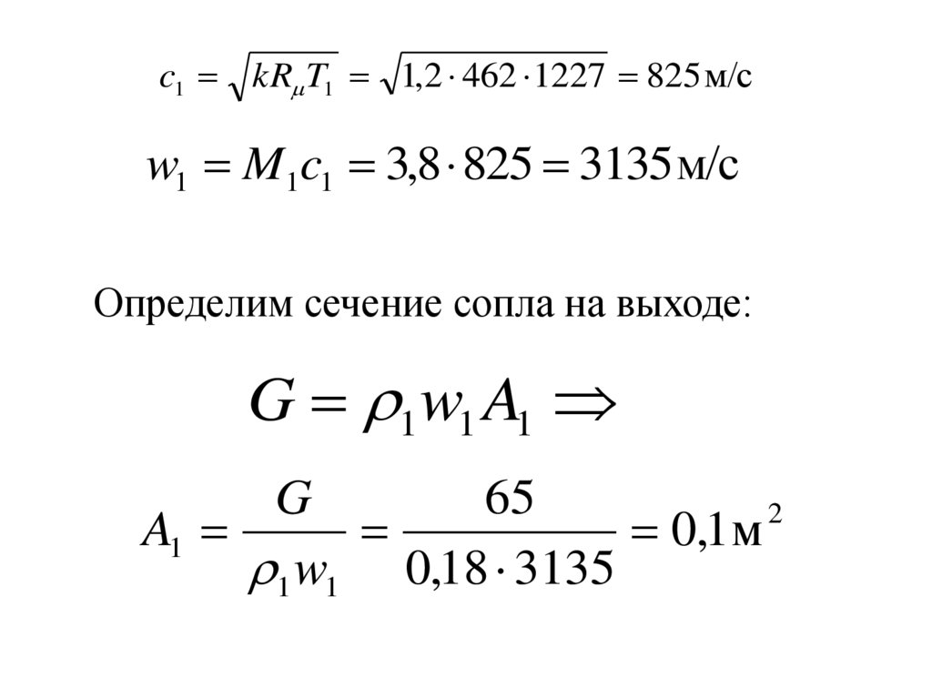
36.

c1 kR T1 1,2 462 1227 825 м/с
w1 M1c1 3,8 825 3135 м/с
Определим сечение сопла на выходе:
G 1 w1 A1
G
65
2
A1
0,1м
1 w1 0,18 3135

37.

Найдем параметры в критическом сечении
(Мкр = 1):
k 1
Tкр T * 1
2
1
k 1
Pкр P * 1
2
113 атм
1,2 1
3000 1
2
k / k 1
1
2727 K
1,2 1
200 1
2
1, 2 / 0 , 2
P*
113 10
кр
9,0 кг/м 3
R T * 462 2727
5

38.

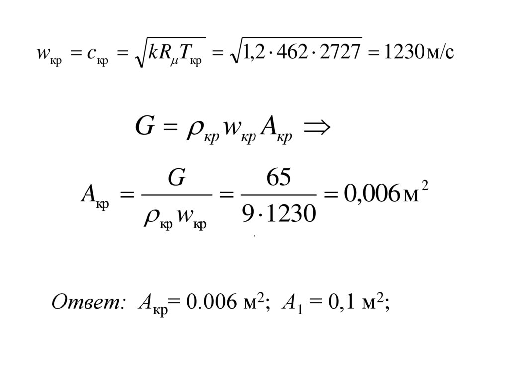
wкр cкр kR Tкр 1,2 462 2727 1230 м/с
G кр wкр Aкр
G
65
2
Aкр
0,006 м
кр wкр 9 1230
.
Ответ: Акр= 0.006 м2; А1 = 0,1 м2;

39.

Расчетно-графическое задание № 1
Провести газодинамический расчет ПВРД
(прямоточного воздушно-реактивного двигателя)
Исходные данные: Входное сечение воздухозаборника
равно A1. Торможение в воздухозаборнике происходит
до скорости w3. Камера сгорания цилиндрическая.
Сгорание происходит при постоянном давлении. Для
сгорания 1 кг горючего необходимо 15 кг воздуха.
Теплотворная способность топлива q = 40 106 дж/кг.
Определить все сечения, расход топлива, КПД
двигателя, если давление на выходе из сопла равно
внешнему атмосферному давлению.

40.

Дано:
w1 =
w 3=
Р1=
Т1 =
A1 =
Соотношение топлива и воздуха 1 : 15
q = 40 106 Дж/кг
А2, А3, А4, А5, А6, GT, η - ?

41.

№ варианта
w1, м/с
w3, м/с
P1, атм; Т1, К А1, м2
0
1
500
500
50
50
0,2; 220
0,1; 210
1.0
1.5
2
3
4
400
400
380
40
40
40
0,5; 250
0,2; 220
0,6; 260
0.5
1.3
1.0
5
6
7
600
550
600
50
50
50
0,15; 220
0,2; 230
0,1; 210
1.0
0.5
1.5
8
9
600
650
50
40
0,3; 240
0,4; 230
1.0
0.5

42.

Топливо
P
Диффузор
Камера
сгорания
Сопло
Лаваля
Pатм
x

43.

Указания к решению:
1.Вычислить плотность воздуха во входном
сечении 1;
2. Вычислить расход в сечении 1. Такой же
расход будет в сечениях 2 и 3:
G 1w1 A1
3. Найти скорость звука и число Маха в первом
сечении:
w1
c1 kR T1
M1
c1

44.

4. Вычислить параметры торможения
набегающего потока
k 1 2
T T1 1
M1
2
*
k 1 2
P P1 1
M1
2
k / k 1
*
*
P
*
R T *
Этими параметрами торможения будет
характеризоваться поток в первом, втором и
третьем сечениях.

45.

5. Второе сечение – критическое, поэтому число
Маха в нем М2 = 1. Находим параметры потока
в этом сечении:
k 1
T2 T * 1
2
k 1
P2 P * 1
2
c2 kR T2
1
k / k 1
P2
2
R T2

46.

6. Площадь сечения А2 находим из формулы:
G 2 w2 A2
7. Параметры в третьем сечении можно считать
равными параметрам торможения, ρ3 = ρ*,
площадь сечения находим из уравнения
неразрывности:
G 3 w3 A3

47.

7. Поскольку камера сгорания цилиндрическая, и
процесс сгорания изобарный, то А3 = А4 и Р3 = Р4
8. Расход топлива GT = G/15
9. Расход рабочего тела в четвертом, пятом и
шестом сечениях G´=G + GT
10. Температуру в четвертом сечении вычислим
из формулы:
qGT G ' C p T4 T3
Она будет равна температуре торможения в
пятом и шестом сечениях

48.

11. Пятое сечение – критическое, поэтому число
Маха в нем М5 = 1. Расчет произвести
аналогично пункту 5.
12. На выходе из сопла восстанавливается
атмосферное давление, поэтому считать, что
p6= p1. Следовательно, числа Маха в первом и
шестом сечениях равны друг другу: М1 = М6.

49.

T1 T6
Q2
13. КПД двигателя
1
1
вычислим по формуле:
Q1
T3 T4
T
p = p3 = const
4
Q1
3
p = p1= const
6
1
Q2
S

50.

Задание на самоподготовку:
Определить расход ацетилена С2Н2 из
трубопровода с избыточным давлением 2,9 кПа
через отверстие диаметром 4 мм в помещение с
нормальными условиями. Температуру газа в
трубопроводе считать равной температуре
окружающей среды.
English     Русский Rules