0.98M
Category:
mathematics
Similar presentations:
Пределы
Пределы и непрерывность. Предел функции
Замечательные пределы
Пределы. Числовая последовательность. Предел числовой последовательности
Предел функции
Теоремы о пределах. Нахождение пределов
Предел функции
Предел функции
Предел функции
Теория пределов
Сложные пределы
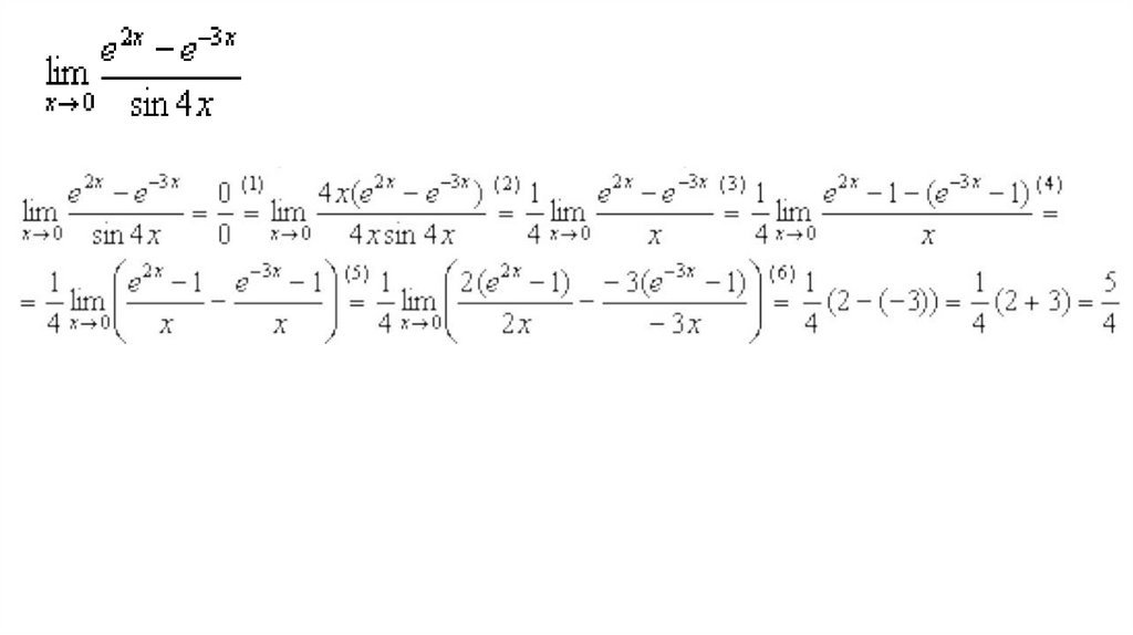
1.
Сложные пределы
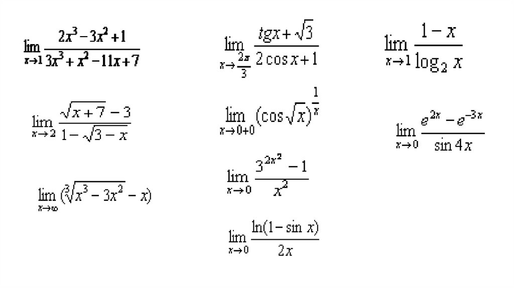
2.
3.
4.
5.
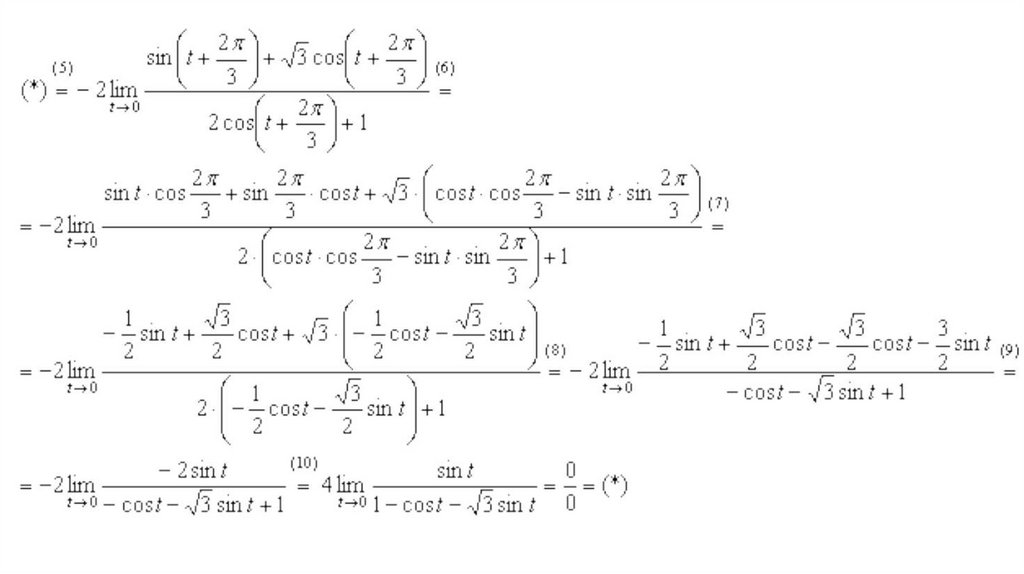
6.
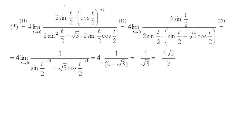
7.
8.
9.
10.
11.
12.
13.
Домашнее задание
English
Русский
Rules