Дифференциальные уравнения Практическое занятие – 6
1. Уравнения высших порядков
2. Уравнения, где правая часть не зависит от y
3. Уравнения, где правая часть не зависит от x
4.
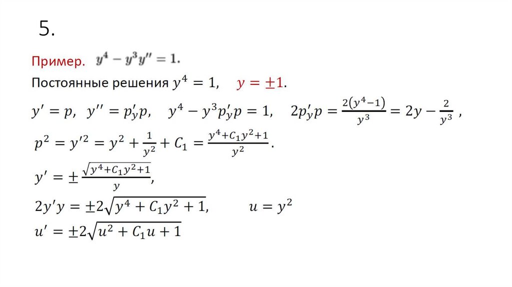
5.
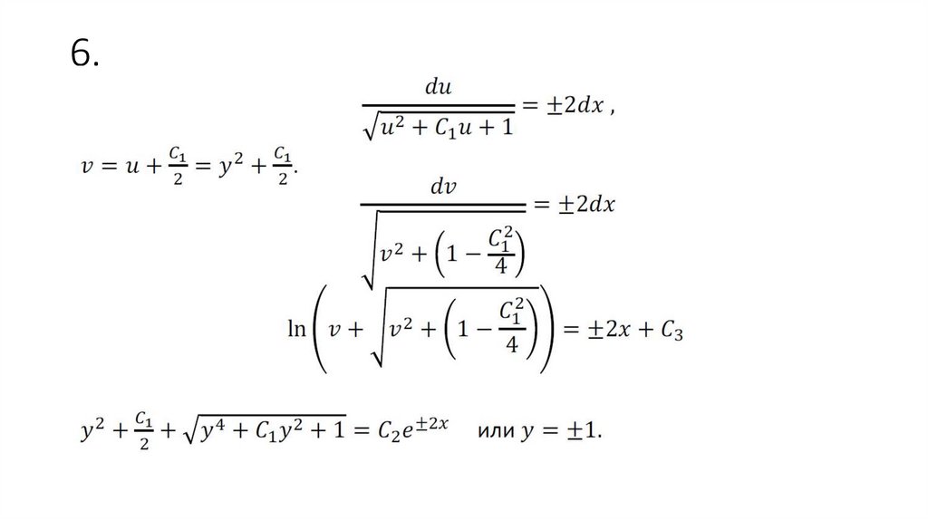
6.
7. Поиск интегрируемых комбинаций
8. Пример
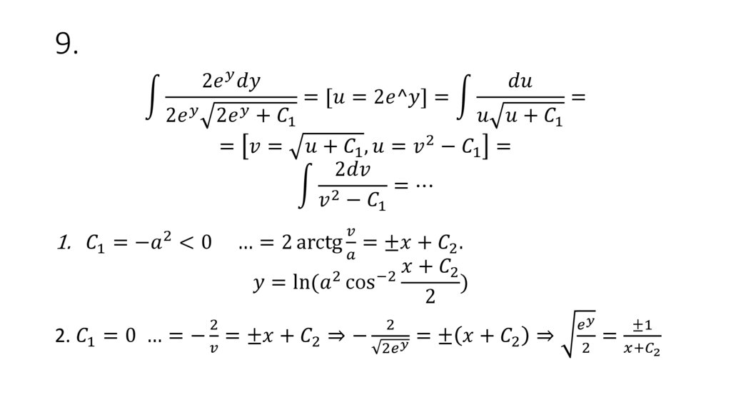
9.
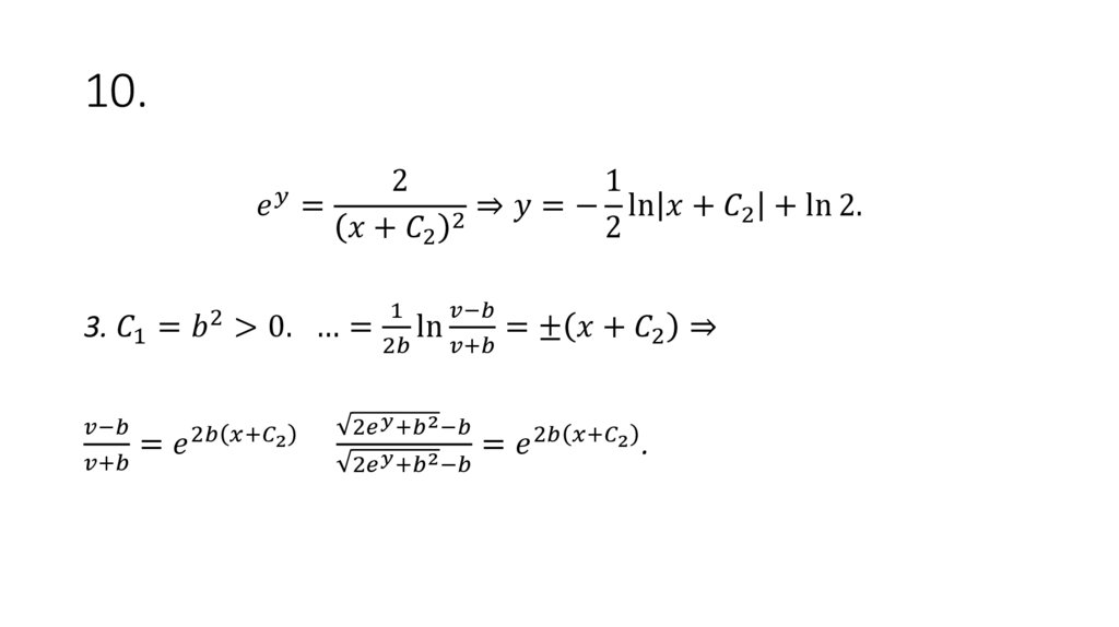
10.
11. Домашнее задание
676.42K

Практика 6

1. Дифференциальные уравнения Практическое занятие – 6

Крыжевич Сергей Геннадьевич,
Высшая школа экономики
2025

2. 1. Уравнения высших порядков

3. 2. Уравнения, где правая часть не зависит от y

English     Русский Rules