927.42K
Category: chemistrychemistry

Химические реакции. § 9

1.

§ 9. ХИМИЧЕСКИЕ
РЕАКЦИИ

2.

Цель урока. Формирование понятий «химическая
реакция», «реакции горения», «экзо- и эндотермические
реакции», Формирование умений наблюдать и описывать
признаки и условия течения химических реакций.
Проблемный вопрос урока.
В чем заключается сущность химической реакции?

3.

При химических явлениях, или химических реакциях
происходит превращение одних веществ в другие.
Химическая реакция – это процесс превращения
одних веществ в другие, отличающихся от исходных
по составу и свойствам.

4.

Лабораторный опыт №5
«Взаимодействие иодида и хлорида
натрия с ионами серебра»

5.

AgNO3
NaCl
AgNO3
KI

6.

Образование белого и
желтого осадков
AgNO3
NaCl
AgNO3
KI

7.

Лабораторный опыт №6
«Получение гидроксида меди (II) и
растворение его в кислоте»

8.

NaOH
CuSO4

9.

Образование голубого осадка
NaOH
CuSO4

10.

Образование голубого осадка
CuSO4+2NaOH=Cu(OH)2+
NaOH
CuSO4

11.

Образование голубого осадка
CuSO4+2NaOH=Cu(OH)2+
NaOH
CuSO4

12.

Образование голубого осадка
CuSO4+2NaOH=Cu(OH)2↓ u(OH)2+ u(OH)2+
NaOH
CuSO4

13.

Образование голубого осадка
CuSO4+2NaOH=Cu(OH)2↓ u(OH)2+ u(OH)2+
NaOH
CuSO4
+
заряд меди 2

14.

Образование голубого осадка
CuSO4+2NaOH=Cu(OH)2↓ u(OH)2+ u(OH)2+
NaOH
CuSO4
заряд OH группы -1
+
заряд меди 2

15.

Образование голубого осадка
2+
-
CuSO4+2NaOH=Cu(OH)2↓ u(OH)2+ u(OH)2+
NaOH
CuSO4
заряд OH группы -1
+
заряд меди 2

16.

Образование голубого осадка
2+
-
CuSO4+2NaOH=Cu(OH)2↓ u(OH)2+ u(OH)2+
NaOH
CuSO4

17.

Образование голубого осадка
CuSO4+2NaOH= Cu(OH)2↓ +2↓ u(OH)2+ u(OH)2+
NaOH
CuSO4

18.

Образование голубого осадка
CuSO4+2NaOH= Cu(OH)2↓ +2↓ u(OH)2+ u(OH)2+
NaOH
CuSO4

19.

Образование голубого осадка
CuSO4+2NaOH= Cu(OH)2↓ +2 Na2SO4 ↓ u(OH)2+
u(OH)2+
NaOH
CuSO4

20.

Образование голубого осадка
CuSO4+2NaOH= Cu(OH)2↓ +2 Na2SO4 ↓ u(OH)2+
u(OH)2+
NaOH
CuSO4
заряд натрия
заряд SO4 группы 2-
+

21.

Образование голубого осадка
+
CuSO4+2NaOH= Cu(OH)2↓ +2 Na2SO4 ↓ u(OH)2+
u(OH)2+
NaOH
CuSO4
заряд натрия
заряд SO4 группы 2-
+

22.

Образование голубого осадка
+
2-
CuSO4+2NaOH= Cu(OH)2↓ +2 Na2SO4 ↓ u(OH)2+
u(OH)2+
NaOH
CuSO4
заряд натрия
заряд SO4 группы 2-
+

23.

Образование голубого осадка
CuSO4+2NaOH= Cu(OH)2↓ +2 Na2SO4 ↓ u(OH)2+
u(OH)2+
NaOH
CuSO4

24.

Образование голубого осадка
CuSO4+2NaOH= Cu(OH)2↓ +2 Na2SO4 ↓ u(OH)2+
u(OH)2+
NaOH
CuSO4

25.

Образование голубого осадка
CuSO4+2NaOH= Cu(OH)2↓ +2 Na2SO4 ↓ u(OH)2+
u(OH)2+
NaOH
CuSO4

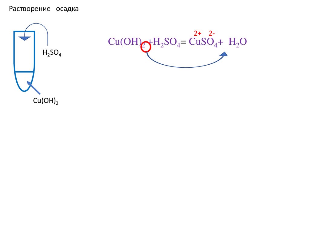
26.

РАСТВОРЕНИЕ ОСАДКА
В КИСЛОТЕ

27.

Растворение осадка
H2SO4
Cu(OH)2
Cu(OH)2 +H2SO4=

28.

Растворение осадка
H2SO4
Cu(OH)2
Cu(OH)2 +H2SO4= CuSO4+

29.

Растворение осадка
H2SO4
Cu(OH)2
Cu(OH)2 +H2SO4= CuSO4+

30.

Растворение осадка
2+ 2H2SO4
Cu(OH)2
Cu(OH)2 +H2SO4= CuSO4+

31.

Растворение осадка
2+ 2H2SO4
Cu(OH)2 +H2SO4= CuSO4+
-
Cu(OH)2
+
2 и заряд 2 взаимно уничтожаются, поэтому в
формуле будет один положительный и один
отрицательный ион

32.

Растворение осадка
2+ 2H2SO4
Cu(OH)2
Cu(OH)2 +H2SO4= CuSO4+

33.

Растворение осадка
2+ 2H2SO4
Cu(OH)2
Cu(OH)2 +H2SO4= CuSO4+ H2O

34.

Растворение осадка
2+ 2H2SO4
Cu(OH)2
Cu(OH)2 +H2SO4= CuSO4+ H2O

35.

Растворение осадка
2+ 2H2SO4
Cu(OH)2
Cu(OH)2 +H2SO4= CuSO4+2H2O

36.

Типы химических реакций

37.

Реакцию мгновенного горения порошка магния использовали при
фотографировании в качестве «вспышки», пока не появилась электрическая
лампа. Реакции горения — это частный случай большой группы химических
реакций, протекающих с выделением теплоты

38.

Экзотермическая
Эндотермическая

39.

По каким признакам можно сделать
вывод о протекании химических
реакций?

40.

Записи в тетради
Признаки протекания химической реакции:
• появление запаха;

41.

Записи в тетради
Признаки протекания химической реакции:
• появление запаха;
• выпадение осадка или его растворение;

42.

Записи в тетради
Признаки протекания химической реакции:
• появление запаха;
• выпадение осадка или его растворение;
• выделение газа;

43.

Записи в тетради
Признаки протекания химической реакции:
• появление запаха;
• выпадение осадка или его растворение;
• выделение газа;
• изменение цвета;

44.

Записи в тетради
Признаки протекания химической реакции:
• появление запаха;
• выпадение осадка или его растворение;
• выделение газа;
• изменение цвета;
• выделение или поглощение теплоты,
выделение света.

45.

Записи в тетради
Признаки протекания химической реакции:
• появление запаха;
• выпадение осадка или его растворение;
• выделение газа;
• изменение цвета;
• выделение или поглощение теплоты,
выделение света.
Реакции, протекающие с выделением теплоты и
света, называются реакциями горения.

46.

Условия протекания химических реакций:

47.

Условия протекания химических реакций:
• соприкосновение реагирующих
веществ;

48.

Условия протекания химических реакций:
• соприкосновение реагирующих
веществ;
• нагревание (иногда);

49.

Условия протекания химических реакций:
• соприкосновение реагирующих
веществ;
• нагревание (иногда);
• действие электрического тока, света
(иногда)

50.

IV. Подведение итогов
В чем заключается сущность химической реакции?

51.

IV. Подведение итогов
В чем заключается сущность химической реакции?
Сущность химических реакций заключается в
разрушении химических связей между атомами одних
веществ и в перегруппировке атомов с образованием
новых веществ.

52.

IV. Подведение итогов
Домашнее задание: § 9, выполнить
задания № 1-4 после § 9
English     Русский Rules