2.52M
Category: physicsphysics

Кинематика, динамика и законы сохранения. Типовой расчет №1

1.

Министерство образования Республики Беларусь
Учреждение образования
Брестский государственный технический университет
Кафедра физики
Типовой расчет №1
"Кинематики, динамика и законы сохранения«
Вариант _99_
Вар.
99
m1, кг m 2, кг
2,5
0,25
m 3, кг
2,0
m 4, кг
2,8
α, грд. μ
45º
0,10
Брест 2017
r4, м
0,20
R4, м
0,50
τ, с
0,30
Выполнил:
Студент гр.ПД7
________________
Проверил:
Ворсин Н.Н

2.

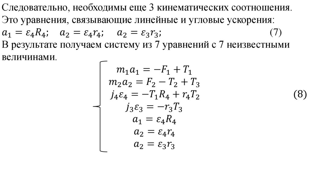
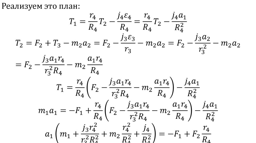
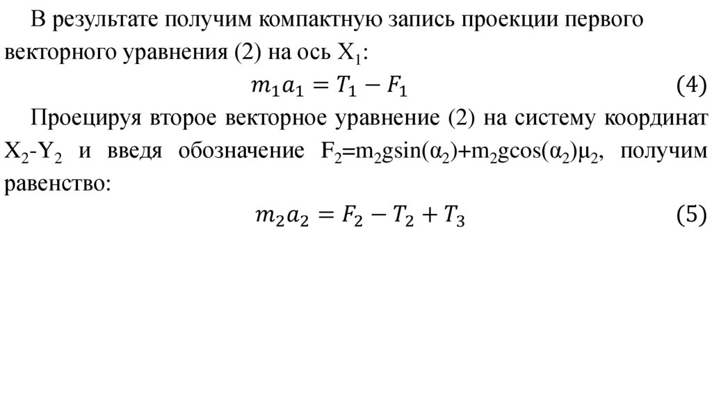
Система, показанная на рисунке, состоит из грузов массами m1 и m2,
которые движутся поступательно. К грузам прикреплены невесомые
нерастяжимые нити, перекинутые или намотанные на блоки массами m3 и m4, которые могут без трения вращаться вокруг горизонтальных осей. Блок
массой m3 – сплошной
цилиндр, а блок массой
m4 – ступенчатый
цилиндр с радиусами
ступеней r4 и R4 одинаковой высоты. Дано:
m1=7,0кг; m3=5,5кг;
m2=0,80кг; m4=3,4кг; r3=0.55 м; r4=0,55м;
μ=0,40;
R4=1,25м; τ=0,55с
α=30º ;

3.

Система начинает движение из состояния покоя. Считая, что все
нити и участки плоскостей имеют достаточную длину, выполнить
следующие задания:
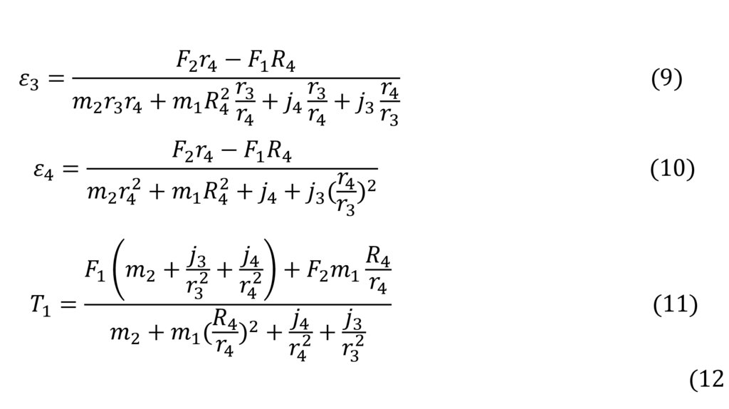
1). Найти ускорения грузов массами m1 и m2 и угловые ускорения
блоков ε3, ε4. Принять r3=r4.
2). Найти силы натяжения всех нитей.
3). Найти силы реакции осей обоих блоков.
4). Найти скорости грузов, угловые скорости блоков и пути,
пройденные грузами спустя время τ после начала движения.
5). Используя кинематические формулы, найти ускорение точки на
внешнем радиусе блока m4 спустя время τ после начала движения по
величине и направлению, если вначале эта точка находится в
крайнем нижнем положении.

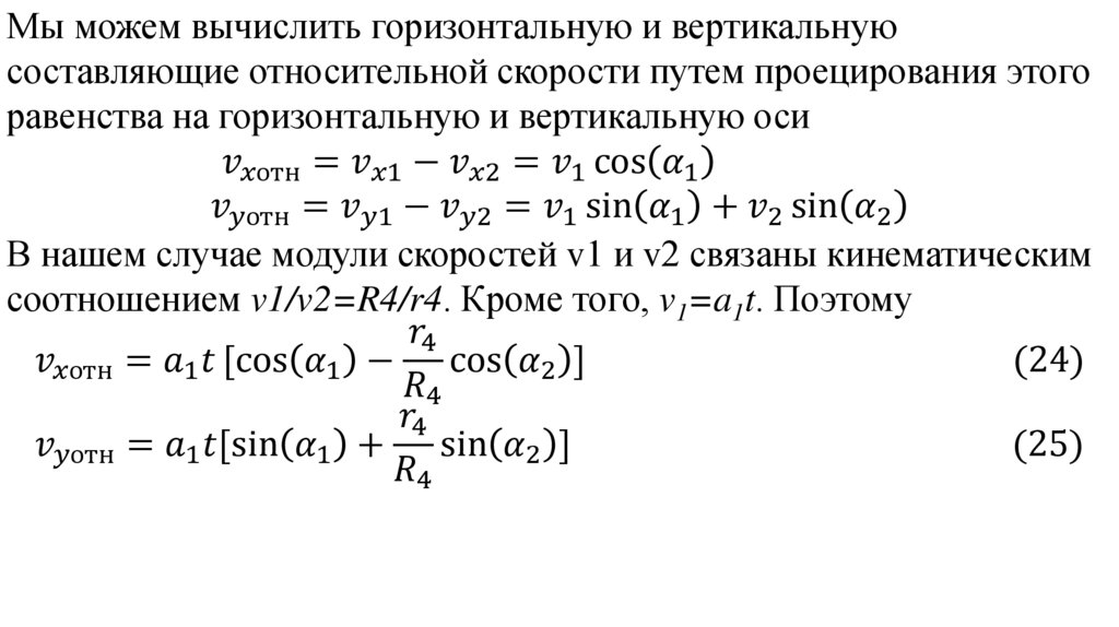
4.

6). Найти относительную скорость грузов m1 и m2 по величине и
направлению в указанный момент.
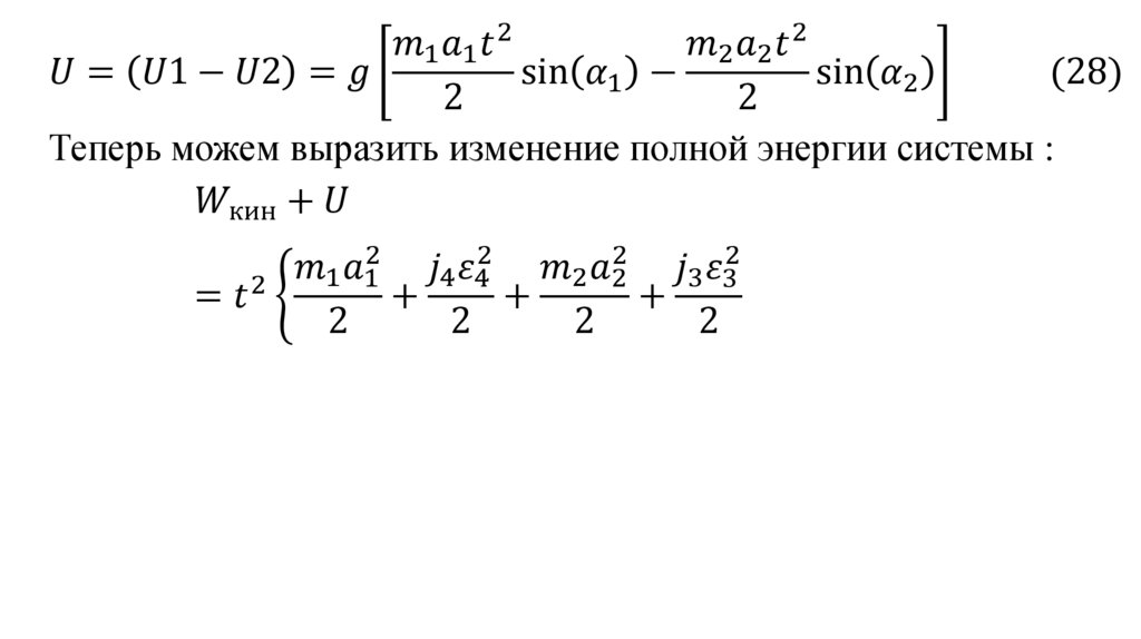
7). Используя закон изменения механической энергии, найти другим
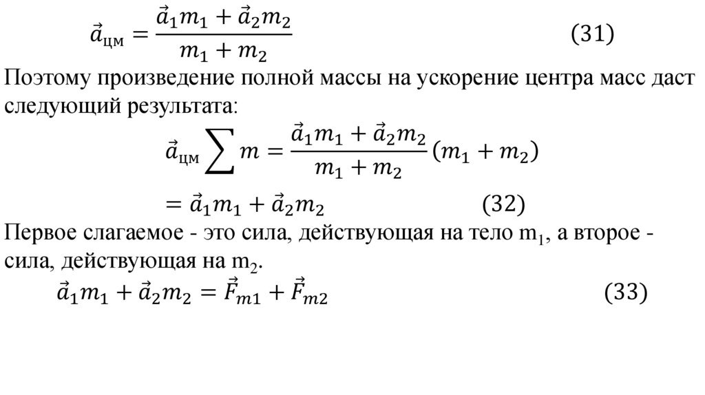
способом ускорения, скорости грузов, угловые ускорения и скорости
блоков.
РЕШЕНИЕ
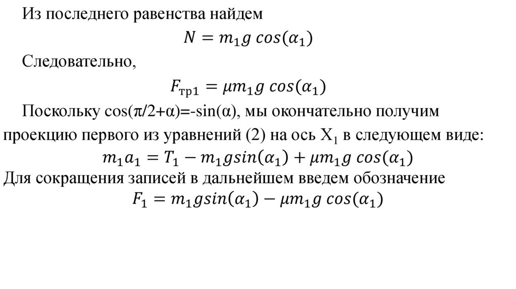
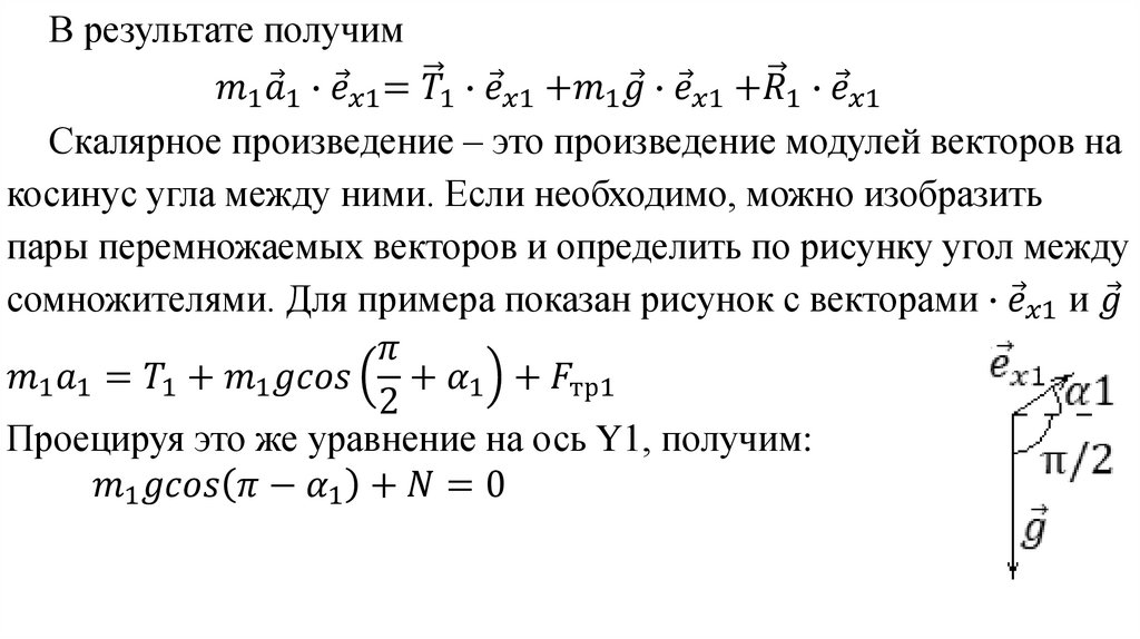
Пункты 1, 2. Изобразим векторы сил, приложенных к грузам. К
каждому из них приложена сила тяжести mg, действующая
вертикально вниз, силы натяжения прикрепленных нитей –Т,
которые действуют вдоль нитей, и сила реакции опоры – R.

5.

Каждую из сил реакции мы раскладываем по двум направлениям:
направлению, перпендикулярному движению – N и направлению
движения груза - Fтр (сила трения).
English     Русский Rules