502.77K
Category: chemistrychemistry

Химия кислот. Лабораторный опыт 8

1.

2.

Zn + 2HCl=ZnCl2+H2↑

3.

Zn + 2HCl=ZnCl2+H2↑

4.

Zn + 2HCl=ZnCl2+H2↑

5.

Zn + 2HCl=ZnCl2+H2↑

6.

Zn + 2HCl=ZnCl2+H2H2↑

7.

Zn + 2HCl=ZnCl2+H2H2↑

8.

Zn + 2HCl=ZnCl2+H2↑

9.

Zn + 2HCl=ZnCl2+H2↑
н

10.

Zn + 2HCl=ZnCl2+H2↑
н
р

11.

Zn + 2HCl=ZnCl2+H2↑
н
р
р

12.

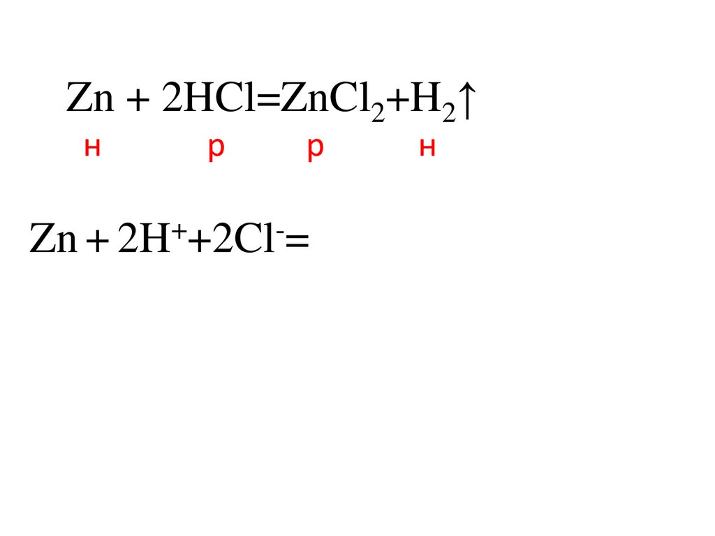
Zn + 2HCl=ZnCl2+H2↑
н
р
р
н

13.

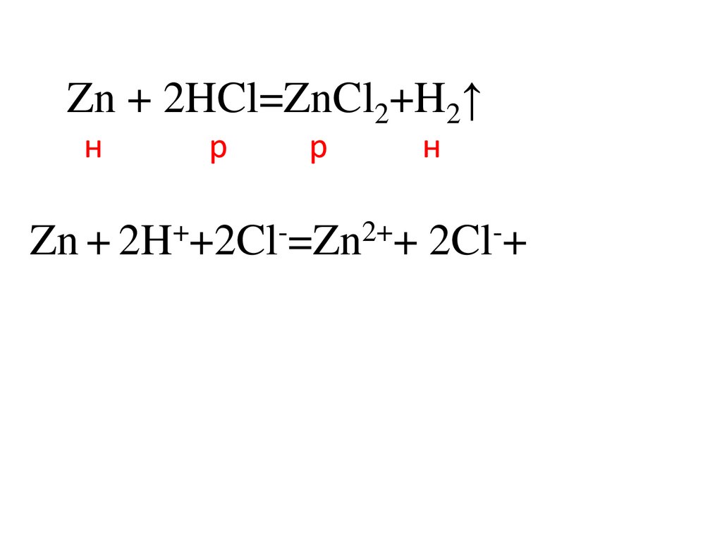
Zn + 2HCl=ZnCl2+H2↑
н
р
р
н
Zn + 2H++Cl-=Zn2++ 2Cl-+H2↑

14.

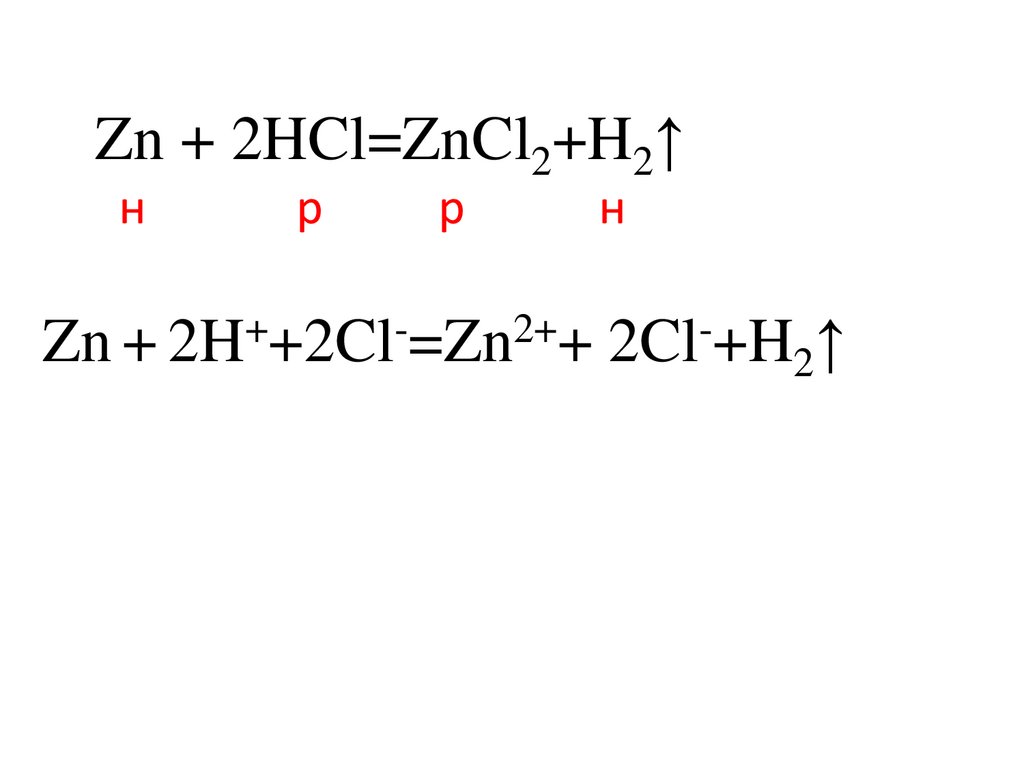
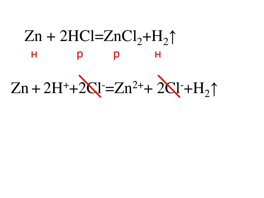
Zn + 2HCl=ZnCl2+H2↑
н
р
р
н
Zn + 2H++2Cl-=Zn2++ 2Cl-+H2↑

15.

Zn + 2HCl=ZnCl2+H2↑
н
р
р
н
Zn + 2H++2Cl-=Zn2++ 2Cl-+H2↑

16.

Zn + 2HCl=ZnCl2+H2↑
н
р
р
н
Zn + 2H++2Cl-=Zn2++ 2Cl-+H2↑

17.

Zn + 2HCl=ZnCl2+H2↑
н
р
р
н
Zn + 2H++2Cl-=Zn2++ 2Cl-+H2↑

18.

Zn + 2HCl=ZnCl2+H2↑
н
р
р
н
Zn + 2H++2Cl-=Zn2++ 2Cl-+H2↑
Zn + 2H+ =Zn2++H2↑

19.

Написать самостоятельно в тетради
Zn + 2H2SO4= ↑

20.

Cu + 2HCl=ZnCl2+H2↑

21.

Cu + 2HCl=ZnCl2+H2↑

22.

Pb + 2H2SO4=PbSO4+H2↑
ZnCl2+H2↑

23.

Pb + 2H2SO4=PbSO4+H2↑
p
ZnCl
н 2+H2p↑
н

24.

Pb + 2H2SO4=PbSO4+H2↑
p
ZnCl
н 2+H2p↑
н
Pb + 2H++SO42-=Pb2++SO42-+H2↑
ZnCl2+H2↑

25.

Pb + 2H2SO4=PbSO4+H2↑
p
ZnCl
н 2+H2p↑
н
Pb + 2H++SO42-=Pb2++SO42-+H2↑
ZnCl2+H2↑

26.

Pb + 2H2SO4=PbSO4+H2↑
p
ZnCl
н 2+H2p↑
н
Pb + 2H++SO42-=Pb2++SO42-+H2↑
ZnCl2+H2↑

27.

Pb + 2H2SO4=PbSO4+H2↑
p
ZnCl
н 2+H2p↑
н
Pb + 2H++SO42-=Pb2++SO42-+H2↑
ZnCl2+H2↑

28.

Pb + 2H2SO4=PbSO4+H2↑
p
ZnCl
н 2+H2p↑
н
Pb + 2H++SO42-=Pb2++SO42-+H2↑
ZnCl2+H2↑
Pb + 2H+=Pb2++H2↑Cl2+H2↑

29.

HCl
H2SO4
Na2CO3
HNO3

30.

Составить молекулярные, полные ионные,
сокращенные ионные уравнения
Na2CO3 + 2HCl=NaCl+CO2↑+H2O
Cl2+H2↑

31.

HCl
H2SO4
Na2SiO3
HNO3

32.

Составить молекулярные, полные ионные,
сокращенные ионные уравнения
Na2SiO3 + 2HCl=2NaCl+H2SiO3↓
Cl2+H2↑
English     Русский Rules