КИНЕТИКА БИОЛОГИЧЕСКИХ ПРОЦЕССОВ
МОЛЕКУЛЯРНОСТЬ
Пример реакции 1 порядка
ЗАВИСИМОСТЬ СКОРОСТИ РЕАКЦИИ ОТ ТЕМПЕРАТУРЫ ЭНЕРГИЯ АКТИВАЦИИ
2.64M
Category: chemistrychemistry

1_КИНЕТИКА_БИОЛОГИЧЕСКИХ_ПРОЦЕССОВ_16_09_24 (2)

1. КИНЕТИКА БИОЛОГИЧЕСКИХ ПРОЦЕССОВ

2.

Основные понятия химической кинетики.
Элементарные кинетические уравнения и их
решение.
Особенности кинетики биологических систем.
Зависимость скорости реакции от температуры.
Уравнение Аррениуса. Энергия активации.

3. МОЛЕКУЛЯРНОСТЬ

Химические реакции
мономолекулярные
бимолекулярные
тримолекулярные
A P
2A P
A+B+C P
A P+Q
A+B P
A+B+C P
+ Q + ...
A + B P + Q А + 2В P + Q
+ ...

4.

5.

ПОРЯДОК РЕАКЦИИ
Порядок реакции определяется величиной
показателя степени в кинетическом уравнении
aA+bB=cC+dD
v k A B
a
порядок прямой реакции
b
η=a+b

6.

Скоростью химической реакции называется ИЗМЕНЕНИЕ
КОНЦЕНТРАЦИИ реагента или продукта в единицу
времени
aA+bB=cC+dD
C
A
v
t
t

7.

ЗАКОН ДЕЙСТВУЮЩИХ МАСС
Закон действующих масс был
открыт в 1864–1867 годах
норвежскими учеными
К. Гульдберг
(1836–1902)
П. Вааге
(1833–1900)
aA+bB=cC+dD
Скорость химической реакции прямо пропорциональна
произведению концентраций реагирующих веществ в
степенях их стехиометрических коэффициентов.
v k A B
a
b
k- константа скорости реакции
является мерой реакционной
способности реагентов при данной
температуре

8.

Вероятность столкновения молекул на рисунке слева выше,
чем справа. Она прямо пропорциональна количеству
молекул реагентов в единице объема, т.е. молярным
концентрациям реагентов.

9.

ЭЛЕМЕНТАРНЫЕ КИНЕТИЧЕСКИЕ
УРАВНЕНИЯ И ИХ РЕШЕНИЕ

10.

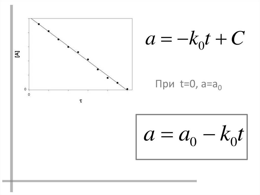
РЕАКЦИЯ НУЛЕВОГО ПОРЯДКА
ko
А В
v
a
da
k0
dt
da k0dt
da
k
dt
0

11.

a k 0t C
При t=0, a=a0
a a0 k0t

12.

ОПЫТЫ Г.ДЕЙЛА
Изучил непрямое влияние ионизирующего излучения на
органические соединения
Менялась
концентрация
фермента, но
доза
облучения
оставалась
постоянной
ПРЯМОЕ
НЕПРЯМОЕ
ДЕЙСТВИЕ

13.

ПРОДУКТЫ РАДИОЛИЗА ВОДЫ

14.

«Эффект разведения». Зависимость степени инактивации
фермента или вируса от концентрации его в растворе при
прямом (I) и косвенном (II) действии излучения (по 3. Баку, П.
Александеру)

15.

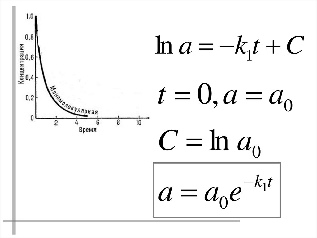
РЕАКЦИЯ ПЕРВОГО ПОРЯДКА
k1
А В
v
a
da
k1a
dt
da
k
dt
1
a

16.

ln a k1t C
t 0, a a0
C ln a0
a a0e
k1t

17.

ОПРЕДЕЛЕНИЕ КОНСТАНТЫ СКОРОСТИ РЕАКЦИИ
a
ln
kt
a0
a0
ln
a
a0
ln
kt
a
α
t
tg k

18.

Выражение для b найдем из условия закрытости системы
a b a0
b a0 a
b a0 a0e
b a0 1 e
kt
kt

19. Пример реакции 1 порядка

ПРИМЕР РЕАКЦИИ 1 ПОРЯДКА
Экспоненциальный рост численности популяции
dx
x
dt
α — коэффициент прироста
t
x x0e
x0 — численность популяции в начальный
момент времени.

20.

Модель Мальтуса. Экспоненциальный рост
народонаселения
dx
x
dt
Т.Мальтус
(1766–1834)
8,01 миллиарда человек
α — коэффициент прироста
t
x x0e
x0 — численность популяции в
начальный момент времени.
https://im.kommersant.ru/ISSUES.PHOTO/CORP/2022/11/10/popul01%20(2)2222.png

21.

ОСОБЕННОСТИ КИНЕТИКИ БИОЛОГИЧЕСКИХ СИСТЕМ
(БС)
1. В БС в качестве переменных выступают не только
концентрации, но и любые другие величины.
2. Переменные изменяются не только во времени, но и в
пространстве. Скорость определяется не только
константами реакции, но и диффузионными процессами.
3. БС пространственно неоднородны. Условия в разных
частях системы могут отличаться.
4. БС мультистационарны. Может быть несколько
устойчивых режимов функционирования.
5. Процессы в БС нелинейны.
6. Кинетические модели БС крайне сложные.
Моделирование требует большого числа упрощений.

22. ЗАВИСИМОСТЬ СКОРОСТИ РЕАКЦИИ ОТ ТЕМПЕРАТУРЫ ЭНЕРГИЯ АКТИВАЦИИ

23.

Я. Х. Вант-Гофф
(1852–1911)

24.

Зависимость скорости реакции от
температуры

25.

С. А.Аррениус
k Ae
A pz
Ea
RT
(1859–1927)
k pze
Ea - энергия активации
Ea
RT

26.

Зависимость ln k от 1/T.
Ea
ln k ln pz
RT

27.

28.

29.

а
б
Изменение энергии реагирующей системы:
а - эндотермическая реакция;
б - экзотермическая реакция.
На схеме:
и-
энергии активации прямой и обратной реакций.
В соответствии с законом сохранения энергии разность между ними равна
тепловому эффекту реакции.

30.

ТЕОРИЯ
АКТИВИРОВАННОГО
КОМПЛЕКСА
создана
Э. Вигнером,
М. Поляни,
Г. Эйрингом,
М. Эвансом
в 30-х гг. 20 в.
ОБЛАСТЬ,
СООТВЕТСТВУЮЩАЯ
АКТИВИРОВАННОМУ
КОМПЛЕКСУ

31.

РАСПРЕДЕЛЕНИЕ МОЛЕКУЛ ПО СКОРОСТЯМ ПРИ
ДАННОЙ ТЕМПЕРАТУРЕ
English     Русский Rules