1.32M

ВАРИАНТ 12_2С2

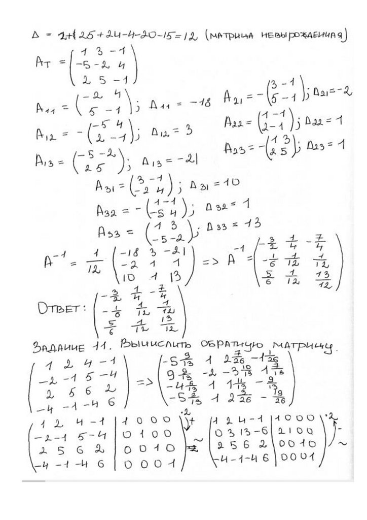
1.

АВТОНОМНАЯ НЕКОМЕРЧЕСКАЯ ОБРАЗОВАТЕЛЬНАЯ
ОРГАНИЗАЦИЯ ВЫСШЕГО ОБРАЗОВАНИЯ
ЦЕНТРСОЮЗА РОССИЙСКОЙ ФЕДЕРАЦИИ
«РОССИЙСКИЙ УНИВЕРСИТЕТ КООПЕРАЦИИ»
ЧЕБОКСАРСКИЙ КООПЕРАТИВНЫЙ УНИВЕРСИТЕТ
(ФИЛИАЛ)
Факультет экономика и управления
Кафедра технология общественного питания
Контрольная работа №1 по математике
Вариант 12
Выполнила студентка 1 курса
Группа: ТПО(ОПОИ)1-3/Бп/ЧБ22
Сокольникова М.В
Руководитель: к.ф- м.н., доцент Никитин А.В
English     Русский Rules