The laws of electromagnetic induction. Lenz’s law
Learning objectives: know and solve problems, using Lenz rule and Faraday's law of electromagnetic induction
Magnetic Flux
Magnetic Flux
Magnetic Flux
Change of Magnetic Flux
Change of Magnetic Flux
Video
Discovery of Electromagnetic Induction
Induced Current and Magnetic Field
Induced Current
Induced EMF
Law of Electromagnetic Induction
Lenz’s Law
Lenz’s Law
Lenz’s Law
Lenz’s Law
Generalization of Faraday’s Law
EMF Induced In a Moving Conductor
EMF Induced in a Moving Conductor
EMF Induced In a Moving Conductor
Electric Generator
Video
Mutual Inductance and Self Inductance
Types of Inductance Two types of inductance are there:
Mutual Inductance and Self Inductance
What is Self Induction?
What is Self Induction?
What is Mutual Induction? We take two coils, and they are placed close to each other.  The two coils are P- coil (Primary coil)
The rate of change of magnetic flux in the coil is given as,
Difference between Self and Mutual Inductance
Where, B is the flux density A is the area of the coil Hl = Ni Where, H is the magnetizing force due to magnetic flux B = μH Li
Examples of Self Inductance and Mutual Inductance
Examples of Self Inductance and Mutual Inductance
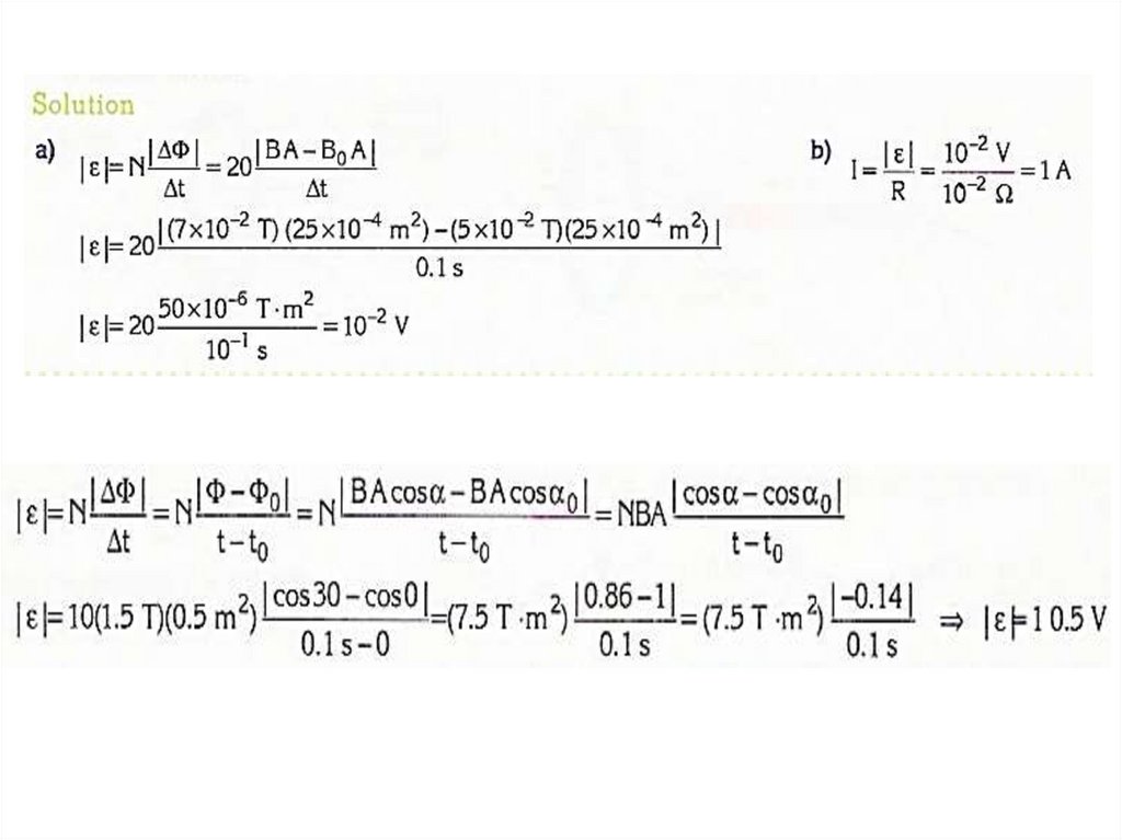
Example 2. There are two coils such that the current flowing through the first coil experiences a change in current flow from 2
Example 2. Solution: Given: Case 1: Change in current, di = 10 -2 = 8 A Change in time, dt = 0.4 sec Magnitude of induced emf,
6.10M
Category: physicsphysics

The laws of electromagnetic induction. Lenz’s law

1. The laws of electromagnetic induction. Lenz’s law

2. Learning objectives: know and solve problems, using Lenz rule and Faraday's law of electromagnetic induction

3. Magnetic Flux

The common thread behind the
observations is the concept of
magnetic flux
The magnetic flux Φ through the
loop is
Φ = BAcosθ,
where A is the area of the loop
and θ is the angle between the
direction of the magnetic field B
and the direction normal to the
plane of the loop
SI unit: weber (Wb)
1 Wb = 1 T·m2

4. Magnetic Flux

The magnetic flux is analogous to the electric flux
– it is proportional to the total number of lines
passing through the loop

5. Magnetic Flux

The value of the magnetic flux is
proportional to the total number of lines
passing through the loop

6. Change of Magnetic Flux

Magnetic flux will change if the area of the loop
changes:

7. Change of Magnetic Flux

Magnetic flux will change if the angle between
the magnetic field and the loop changes:

8. Video

http://www.youtube.com/watch?v=U9RezsWnPYs Fleming's left hand rule, the motor rule - explained with
demo: from fizzics.org

9.

10.

11. Discovery of Electromagnetic Induction

In 1831 Michael Faraday found out that a
changing magnetic field induces an emf
Faraday’s experiments allowed to “produce an
electric current from magnetic field”
Video
Understanding_Electromagnetic_induction_(EMI)_and_electro
magnetic_force_(EMF)

12. Induced Current and Magnetic Field

The current is induced only if the magnetic field
through the loop is changing.

13. Induced Current

The current registered in the coil by the
galvanometer increases when:
the relative speed of the magnet with respect to
the coil increases
the strength of the magnet increases
the number of turns increases
the area of the loop increases
the magnet moves at right angles to the plane
of the loop

14. Induced EMF

15. Law of Electromagnetic Induction

16. Lenz’s Law

A direction of the induced current given
by Lenz’s law:
A current produced by an induced emf is
directed so that its magnetic field opposes
the original change in flux
It means that an induced current always
will be in such a direction as to oppose
the change in magnetic flux that created
the current
Lenz’s law is the law of conservation of
energy for the electromagnetic processes

17. Lenz’s Law

Magnet is moving
toward the loop
Magnetic flux through
the loop increasing

18. Lenz’s Law

Magnet is moving
away from the loop
Magnetic flux through
the loop decreasing

19. Lenz’s Law

The induced magnetic
field tries to reduce
total magnetic field
The induced magnetic
field tries to increase
total magnetic field
Increasing magnetic
field induces in the
loop the current whose
magnetic field has the
direction opposite the
direction of the initial
magnetic field
• Decreasing magnetic
field induces in the
loop the current whose
magnetic field has the
same direction as the
initial magnetic field

20.

Short Videos
https://www.youtube.com/watch?v=tC6E9J925pY Physics - Understanding Electromagnetic induction
(EMI) and electromagnetic force (EMF) – Physics
https://www.youtube.com/watch?v=vwIdZjjd8fo Electromagnetic Induction and Faraday's Law
https://www.youtube.com/watch?v=n8mq2BPnHwU Faraday's Law with Phet (1 min 34 sec)
https://www.youtube.com/watch?v=HUPFYIoD9Nw Electromagnetic Induction: by Coil
https://www.youtube.com/watch?v=2_M83gNOOEg Lenz's Law (1 min 20 sec)
https://www.youtube.com/watch?v=pMfNuP1Wozw Lenz Law (2 min 40 sec)

21. Generalization of Faraday’s Law

• A changing magnetic field induces an
electric field. The electric fields lines of the
induced electric field always form closed
loops
• The electric field will exist regardless of
whether there are any conductors around

22. EMF Induced In a Moving Conductor

If the conductor moves through the magnetic field
emf is induced

23. EMF Induced in a Moving Conductor

The magnetic force acting on a moving charged
particles separates them so that the potential
difference appeared between the ends of a conductor

24. EMF Induced In a Moving Conductor

25. Electric Generator

One
of
the
most
important
practical
results of Faraday’s
great discovery is an
electric generator or
dynamo
The axle is rotated by an
external force
In generator mechanical
energy is transformed to
electrical energy

26. Video

http://www.youtube.com/watch?v=Ue6S8L4OnY&feature=related - DC Motor Principle 1 (1,5minutes)

27.

28.

29.

30. Mutual Inductance and Self Inductance

The energy stored in an inductor
Energy stored in
an inductor
Energy density
Energy LI
1
2
Energy density
1
2 o
2
B
2

31. Types of Inductance Two types of inductance are there:

• Self-Induction
• Mutual Induction

32. Mutual Inductance and Self Inductance

33. What is Self Induction?

When there is a change in the current or magnetic flux of the coil,
an opposed induced electromotive force is produced. This
phenomenon is termed as Self Induction. When the current starts
flowing through the coil at any instant, it is found that, that the
magnetic flux becomes directly proportional to the current passing
L=NϕI
through the circuit. The relation is given as:
ϕ= I
ϕ =LI
Where L is termed as self-inductance of the coil or the coefficient of
self-inductance. The self-inductance depends on the cross-sectional
area, the permeability of the material, or the number of turns in the
coil.

34. What is Self Induction?

is ofSelf
Induction?
The rate What
of change
magnetic
flux in the coil is
given as,
L=NϕI
Self Inductance Formula
Where,
•L is the self inductance in Henries
•N is the number of turns
•Φ is the magnetic flux
•I is the current in amperes

35. What is Mutual Induction? We take two coils, and they are placed close to each other.  The two coils are P- coil (Primary coil)

What is Mutual Induction?
We take two coils, and they are placed close to each
other. The two coils are P- coil (Primary coil) and S- coil
(Secondary coil). To the P-coil, a battery, and a key is
connected wherein the S-coil a galvanometer is connected
across it. When there is a change in the current or magnetic
flux linked with two coils an opposing electromotive force
is produced across each coil, and this phenomenon is
termed as Mutual Induction. The relation is given as:
ϕ=I
ϕ = MI
Where M is termed as the mutual inductance of the two
coils or the coefficient of the mutual inductance of the two
coils.

36. The rate of change of magnetic flux in the coil is given as,

Mutual Inductance Formula
Where,
•μ0 is the permeability of free space
•μr is the relative permeability of the soft iron core
•N is the number of turns in coil
•A is the cross-sectional area in m2
•l is the length of the coil in m

37. Difference between Self and Mutual Inductance

Self induction
Mutual induction
Self inductance is the
characteristic of the coil itself.
Mutual inductance is the
characteristic of a pair of coils.
The induced current opposes the
decay of current in the coil when
the main current in the coil
decreases.
The induced current developed in
the neighboring coil opposes the
decay of the current in the coil
when the main current in the coil
decreases.
The induced current opposes the
growth of current in the coil
when the main current in the coil
increases.
The induced current developed in
the neighboring coil opposes the
growth of current in the coil
when the main current in the coil
increases.

38.

39.

Where,
B is the flux density
A is the area of the coil
Hl = Ni
Where,
H is the magnetizing force due to magnetic flux
B = μH
Li = NBA
L = NBA/i = N2BA/Ni
N2BA/Hl = N2μHA/Hl
L = μN2A/l = μN2
English     Русский Rules