8.32M

ТЭО оз. Боровое. Казахстан

1.

(ОБЗОРНЫЙ ПРИМЕР РАБОТЫ)
Международный Центр по сапропелю
Астрахань
ДСП 1 экз.
Утверждаю
Руководитель Центра по сапропелю
___________________ Н.Д.Бычек
«
»
апреля 2014 г.
ТЕХНИКО-ЭКОНОМИЧЕСКОЕ
ОБОСНОВАНИЕ
ЭКОЛОГИЧЕСКОЙ ОЧИСТКИ оз. БОРОВОЕ ОТ ИЛОВЫХ
ОТЛОЖЕНИЙ И ИХ УТИЛИЗАЦИИ ПЕРЕРАБОТКОЙ В
ТОВАРНУЮ ПРОДУКЦИЮ
(ОБЗОРНЫЙ ПРИМЕР РАБОТЫ)
Руководитель геологического отдела:
О. Бастрыкин
Руководитель камерального отдела:
Д.Бычек
Астрахань 2014
1
(ОБЗОРНЫЙ ПРИМЕР РАБОТЫ)

2.

(ОБЗОРНЫЙ ПРИМЕР РАБОТЫ)
СОДЕРЖАНИЕ
№№
пп
1
1.
1.1.
1.2.
1.3.
2.
2.1.
2.2.
2.3.
2.3.1.
2.3.2.
2.3.3.
3.
3.1.
3.2.
3.3.
4
4.1.
5
5.1.
5.2.
6
7
8
Наименование материалов
№№ листов
2
Информационная карта
ВВЕДЕНИЕ
Топографические работы
Общие сведения о месторождении сапропеля
Топографическая изученность района расположения
месторождения сапропеля
Объем и методика выполнения топографических работ
Характеристика донного озерного ила
Условия образования месторождения сапропеля
Описание озера, слоя иловых отложений и месторождения
сапропеля
Изучение залежи сапропеля
Объем и методика работ по изучению залежи сапропеля
Характеристика залежи сапропеля и оценка разведанных
запасов
Возможные направления эксплуатации месторождения
сапропеля
Климатическая и гидрогеологическая характеристика
месторождения сапропеля
Климатическая характеристика района расположения
месторождения сапропеля
Водосборная площадь месторождения сапропеля
Гидрогеологическая характеристика месторождения
сапропеля
Выводы
ЛИТЕРАТУРА
УТОЧНЕНИЕ НУЛЕВОЙ ГРАНИЦЫ И ГРАНИЦЫ
ПРОМЫШЛЕННОЙ ГЛУБИНЫ САПРОПЕЛЕВОЙ ЗАЛЕЖИ,
ЗАПАСОВ САПРОПЕЛЯ, КАЧЕСТВЕННЫХ ПОКАЗАТЕЛЕЙ
Изученность качественных и количественных показателей
сапропеля оз. Боровое
Уточняющие поисково-оценочные работы на месторождении
донных илов «Боровое». Выбор территории изучения и
методика проведения полевых исследований
Месторождение донных илов - сапропеля «Боровое»
Подсчет уточненных запасов донных илов на
месторождении
Данные по лабораторным исследованиям донных илов
месторождения «Боровое»
ГОСТ на органоминеральные удобрения и заключение о
пригодности
Технологические характеристики донного ила исследуемого
месторождения
ЗАКЛЮЧЕНИЕ О ПРИГОДНОСТИ
ПРЕДВАРИТЕЛЬНОЕ ТЕХНИКО-ЭКОНОМИЧЕСКОЕ
ЗАКЛЮЧЕНИЕ
ПРОЕКТИРОВАНИЕ ПОЛНОГО ЦИКЛА ПЕРЕРАБОТКИ
САПРОПЕЛЯ В ТОВАРНУЮ ПРОДУКЦИЮ
Рекомендации по применению технологии утилизации
донных илов – сапропеля оз. Боровое путем производства
3
5
6
7
7
10
18
11
11
11
13
2
(ОБЗОРНЫЙ ПРИМЕР РАБОТЫ)
14
14
16
23
24
25
29
29
32
32
76
76
79
79
80
93
100
111
122
124
124
125

3.

(ОБЗОРНЫЙ ПРИМЕР РАБОТЫ)
9
товарной продукции
Рекомендации по выбору технологии экологической очистки
оз. Боровое и добычи донных илов
ВИНТОВОЙ ЗЕМСНАРЯД ДЛЯ ДОБЫЧИ ДОННЫХ ИЛОВ И
САПРОПЕЛЯ проекта 258.60-1СШ
Рекомендации по сведению камыша и тростника на горном
отводе с переработкой его в топливные брикеты
10
11
12
РАСЧЕТНО-ЭКОНОМИЧЕСКАЯ ЧАСТЬ
129
129
134
134
146
Приложения
Список литературы
Специальная литература по добыче сапропеля
СПИСОК ТЕКСТОВЫХ ПРИЛОЖЕНИЙ
№№
пп
1
1.
2.
3.
4.
5.
6.
7.
8.
9.
10.
11.
12.
13.
№№
пп
1
1.
2.
Наименование приложения
№№ листов
2
Ведомость послойных и средних значений качественных
показателей сапропеля на участке 1
Ведомость послойных и средних значений качественных
показателей сапропеля на участке 2
Ведомость послойных и средних значений качественных
показателей сапропеля на участке 3
Ведомость вычисления средних глубин залежи сапропеля и
воды
Ведомость вычисления объемов воды и залежи сапропеля
Ведомость распределения объемов залежи (тыс.м 3)
сапропеля по классам пропорционально количеству проб
Таблица запасов и качественной характеристики сапропеля
Ведомость лабораторных анализов проб сапропеля
Ведомость лабораторных агрохимических анализов сборных
проб сапропеля
Ведомость лабораторных определений физикомеханических свойств грунтов
Каталог образцов подстилающего грунта, отобранных в
пунктах отбора проб сапропеля
Каталог высот грунтовых реперов, установленных при
детальной разведке
Ведомость зондирования и отметок поверхности
СПИСОК ТАБЛИЧНЫХ ПРИЛОЖЕНИЙ
3
34
Наименование приложения
№№ листов
2
Характеристика площадей и запасов сапропеля по
технологическим участкам в границе промышленной
глубины сапропелевой залежи
Характеристика запасов сапропеля по классам сапропеля на
технологическом участке 1 в границе промышленной
глубины сапропелевой залежи
3
18
3
(ОБЗОРНЫЙ ПРИМЕР РАБОТЫ)
43
47
49
51
51
52
54
61
62
63
67
68
20

4.

(ОБЗОРНЫЙ ПРИМЕР РАБОТЫ)
3.
4.
5.
6
7
8
9.
10.
11.
12.
13.
14.
15.
16.
17.
18.
19.
20.
21.
22.
23.
24.
Характеристика запасов сапропеля по классам сапропеля на
технологическом участке 2 в границе промышленной
глубины сапропелевой залежи
Характеристика запасов сапропеля по классам сапропеля на
технологическом участке 3 в границе промышленной
глубины сапропелевой залежи
Характеристика основных классов сапропеля по
результатам анализа сборных проб
Средняя месячная и годовая температура воздуха (0С)
Даты перехода средней суточной температуры воздуха
через 00; +- 50.
Среднемесячная и годовая относительная влажность
воздуха (%)
Средний месячный и годовой недостаток насыщения (мб)
Среднее количество осадков (мм)
Суточный максимум осадков различной обеспеченности
Высота снежного покрова на последний день декады по
постоянной рейке (см)
Даты появления и схода снежного покрова
Средняя повторяемость направления ветра (в %) и число
дней штилей (дней)
Средняя месячная и годовая скорость ветра (м/с)
Среднее число дней с сильным ветром (более 15 м/с)
Испарение с водной поверхности (мм)
Точки зондирования на площади промышленной мощности
залежи
Результаты лабораторных испытаний
Результаты лабораторных испытаний
Протокол испытаний №78
Нормы для сапропеля
Земснаряд проекта 258.60-2СШ
Спецификация
Итого
21
21
23
27
27
27
27
28
28
28
28
30
30
30
30
81
96
98
100
106
131
132
24 таблиц
ГРАФИЧЕСКИЕ ПРИЛОЖЕНИЯ
№№
пп
Наименование приложения
Количе
ство
экз.
План месторождения сапропеля
Геолого-гидрогеологическая
карта
Стратиграфические и
гидрогеологические разрезы по
пунктам отбора проб 39, 35, 33,
27, 21, 40(1), 13, 5, 1 и по
ПОП.10
Колонки буровых скважин
Схема водосборной площади
месторождения
Розы ветров по м/ст. Кокшетау
Схема увязки нивелирных
ходов
1
1
Гриф
ограничения
допуска к
приложению
ДСП
ДСП
Инв. №
приложе
ния
Примечание
1
2
Чертеж в
программе
Kompas
V.13
1
3
1
1
4
5
1
1
1
6
_"_
_"_
_"_
_"_
_"_
4
(ОБЗОРНЫЙ ПРИМЕР РАБОТЫ)

5.

(ОБЗОРНЫЙ ПРИМЕР РАБОТЫ)
Абрис постоянных знаков
1
7
Итого
6 листов графических приложений
Всего в книге 200 л. текста и текстовых приложений, в том числе таблиц, рисунков и
фото, 6 листов графических приложений, 6 видеофайлов (на CD)
ИНФОРМАЦИОННАЯ КАРТА
Н.БЫЧЕК., О.БАСТРЫКИН, Д.БЫЧЕК, Б. НАУМОВ и др.
Поисково-оценочные и детальные разведочные работы донных илов оз. Боровое
выполнены силами Международного Центра по сапропелю в марте-апреле 2014 года.
Отчета включает в себе 200 текстовых страниц, 6 листов графических приложений и 6
видеоприложений.
РЕФЕРАТ. Цель работы: изучение количественной и качественной характеристики
донного ила оз. Боровое, определение закономерностей и границ их залегания, обьема
ила для промышленного способа его извлечения и утилизации, возможностей
использования его в качестве сырья для производства удобрений в пастообразном,
сыпучем, гранулированном и таблетированном виде.
Работы выполнены на основании заказа Общественного фонда «Защита озер»
Казахстана.
Донные илы озера разведаны по сетке 100 х 50 м. Плановая основа – план
землеустройства масштаба 1:10000, увеличенный фотомеханическим путем до
масштаба 1:5000 и карты системы Google.
Высотное обоснование – ходы технического нивелирования.
Система высот – условная.
Площадь оз. Боровое в границе водной поверхности 168 Га. Площадь залегания донных
илов в границе промышленной глубины 118,9 Га.
Средняя глубина залегания донных илов – 2,92 м. максимальная – 6,0 м.
Обьем продуктивных донных илов естественной влажности в озере – 3472283,179 м3.
Обьем сырья для производства продукции из донного ила в пересчете на 60%
влажность – 910433 т, разведаны с точностью до категории С1-В-А, 46208 т –
разведаны с точностью до категории С2.
Средние качественные показатели донных илов оз. Боровое: зольность – 33.2%,
влажность естественная – 91%, оксид кальция – 1,65%, оксид железа – 2.16%.
Качественные характеристики донных илов определялись по ГОСТ Р 54000-2010
«Удобрения органические. Сапропель». На основании данного ГОСТа сделано
заключение о пригодности илов в целях его утилизации путем использования в
качестве удобрений и удобрительных почво-грунтов различного назначения.
Донные илы озера относятся к классу сапропелей. Вид сапропеля – органический,
класс – II.
5
(ОБЗОРНЫЙ ПРИМЕР РАБОТЫ)

6.

(ОБЗОРНЫЙ ПРИМЕР РАБОТЫ)
Агрохимическая характеристика сапропеля оз. Боровое: обменная кислотность - 7,3
рН, гидролитическая кислотность – 15.0-45.0 мг-экв/100 г, общий азот – 2,71%.
Донные илы озера – сапропель. По своим показателям пригоден к использованию в
качестве удобрений в различных видах его приготовления.
ВВЕДЕНИЕ
Поисковая оценка и детальная разведка озерного ила и сапропеля оз. Боровое
выполнена на основании Общественного фонда «Защита озер», г. Кокшетау согласно
Договора №3019-2014 от 26 февраля 2014 года и Технического задания
На основании утвержденного Технического задания был составлен проект
полевого обследования озера и камерально-лабораторных работ в соответствии с
требованиями "Инструкции по разведке озерных месторождения сапропеля РСФСР",
изд. 1988 г. и ГОСТ Р 54000-2010 «Органические удобрения. Сапропель»
Заказчик, Общественный фонд «Защита озер», при положительных результатах
обследования донных илов и сапропеля озера Боровое, достаточных запасах сапропеля
в залежи планирует осуществить экологическую очистку водоема. Извлекаемые
сапропели использовать в качестве сырья для производства различных видов
продукции, такой как сыпучие. гранулированные. таблетированные, пастообразные
удобрения, кормовые добавки, сорбенты, наполнители туалета для животных,
фильтровальные материалы для очистки сточных вод, рекультиванты и
почвообразователи в сыпучем и капсульном виде.
Полевые работы выполнены Центром по сапропелю в период с 24 по 29 марта
2014 г. под руководством начальника Отдела геологии О. Бастрыкина
Исполнители полевых работ: коллектор Д. Бычек
Контроль и приемку полевых исследовательских и камерально-лабораторных
работ произвел Руководитель Центра по сапропелю к.т.н. горный инженер,
геотехнолог, гидрогеолог Н. Бычек
Ранее полученные данные по донным илам озера, заказанные Производственным
объединением "Сапропэк" в 1989 году устарели и требуют уточнения.
Вновь определенная площадь озерного накопления сапропеля в нулевой границе,
подлежащей очистке, 168 Га, в том числе:
- в границе промышленной глубины сапропелевой залежи, проведенной по
глубине 1,0 м – 118,9 га.
- под окрайками – 49,1 га
Общий объем залежи сапропеля 3648.5 тыс.м3. Средняя глубина воды в озере –
в границе горного отвода 2,08 м, продуктивного илового слоя 2,92 м, максимальная
мощность слоя ила – 6,0 м.
Общие запасы сапропеля – 956641 т, из них 910.43 тыс.т- балансовые и 46,2
тыс.т. - забалансовые при W=60% влажности.
6
(ОБЗОРНЫЙ ПРИМЕР РАБОТЫ)

7.

(ОБЗОРНЫЙ ПРИМЕР РАБОТЫ)
Площадь озера в границе водной поверхности 10,5 кв.км. Форма озера
неправильная, с изрезанной линией берега.
Длина озера 4500 м, ширина максимальная 3900 м. Средняя глубина воды на
озере на момент разведки равна 4,48 м, максимальная - 7,10 м. Объем воды в озере 3218847,3 м3. Берега озера гористые, не заболоченные за исключением частички югозападного берега, где расположен поселок и северо-восточного, северного берега,
ближе к трассе.
Берега поросли растительностью. Деревья высотой 3-6 м, диаметром 4-10 см,
полнотой 0,6, сосна, др.
Толщина льда на озере в зимний период до 1,20 м.
Озеро промышленно никогда не очищалось, озерное месторождение сапропеля
"Боровое" не разрабатывалось и не разрабатывается. В настоящее время не
используется. Для проведения опытно-экспериментальных работ по рекультивации
отвалов карьера ПО «Сапропэк» в 1989-1990 году было добыто около 500 м 3
сапропеля. Из него приготовлен рекультивант и разработана технология рекультивации
отвалов. Работа признана успешной и рекомендована к внедрению.
Месторождение сапропеля "Боровое" по справочнику "Сапропелевые
месторождения СССР" и по другим более поздним изданиям не числится.
В результате детальной разведки 1989 года запасы сапропеля изучены по
категории "А". Получен прирост запасов сапропеля категории А в количестве 685 тыс.т.
При детальной разведке выполнены следующие виды работ: топографические,
изучение залежи сапропеля, гидрогеологические ,обследование водосборной площади
озера.
Центр по сапропелю своими работами в 2014 году:
- произвел уточнение границ залегания и глубин воды/сапропеля в озере,
- на основании нового ГОСТ Р 54000-2010, вышедшего в РФ 1 января 2010 г. оконтурил
продуктивные слои залежи,
- заново пересчитал запасы донного ила и сапропеля, подлежащих извлечению при
экологической очистке водоема
- выполнил камерально-лабораторные работы с целью выдачи заключения о
пригодности донных илов для производства из них товарной продукции, в частности,
различных видов удобрений, рекультивантов, почвообразователя
- сделал заключение о пригодности иловых отложений
- предоставил Заказчику образцы возможно выпускаемой продукции из донных илов,
- разработал и рекомендовал наиболее оптимальную технологию очистки водоема и
переработки иловых отложений и сапропеля в товарную продукцию
1. ТОПОГРАФИЧЕСКИЕ РАБОТЫ
1.1. Общие сведения о месторождении сапропеля
7
(ОБЗОРНЫЙ ПРИМЕР РАБОТЫ)

8.

(ОБЗОРНЫЙ ПРИМЕР РАБОТЫ)
Рис. 1. Расположение озера на карте Казахстана
Обьект расположен в северной части Казахстана. Недалеко от него находится
город Кокшетау. Кокшетау - один из крупнейших промышленных узлов. Основное
направление сельского хозяйства республики - производство продуктов
животноводства, зерна и овощей.
8
(ОБЗОРНЫЙ ПРИМЕР РАБОТЫ)

9.

(ОБЗОРНЫЙ ПРИМЕР РАБОТЫ)
Рис. 2. Озеро Боровое с высоты птичьего полета
Озеро Боровое (Бурабай) расположено на высоте 321 м над уровнем
моря. Бессточное озеро, находится на территории Щучинского р-на Акмолинской
области, у восточного подножья горы Кокше 947 метров над уровнем моря, площадь
10,5 кв. км, длина 4,5 км, ширина 3,9 км, средняя глубина 4,5 м, наибольшая - 7
метров. Длина береговой линии 13,6 км, площадь водосбора 164 кв.км. Котловина
озера почти круглая, дно ровное, с уклоном на северо-запад, южные берега
гpaнитные, восточные - песчаный. Вода в озере мягкая, прозрачная, дно
просматривается на самой большой глубине. Боровое отделено небольшими хребтами
от близлежащих озер (Большое и Малое Чебачье, Щучье, Котырколь, Жукей и
др.). В северо-западной части озера находится небольшой скалистый остров
«Жумбактас» («Сфинкс»), возвышающийся над поверхностью воды на 20
метров. Неповторимый ландшафт создают утесы и мысы северо-западных и южных
побережий (Кзылтас, М. Горького и др.). Побережье поросло сосновым и березовым
лесом. Сочетание гор, хвойного леса и озер создает в урочище особые климатические
условия. На восточном побережье между реками Сарыбулак и Громотуха построен
климато-кумысо-лечебный курортный комплекс (санатории «Боровое», «Окжетпес»,
дома отдыха «Голубой залив» и др.), одни из лучших в республике.
Климатокумысолечебный курорт. Расположен в Щучинском районе Акмолинской
области, в 20 км. от станции Курорт Боровое (г. Щучинск). Входит в ЩучинскоБоровскую курортную зону. С севера защищено Кокчетавскими горами, высотой до
974 метров над уровнем моря, покрытыми березовыми лесами. Гора Окжетпес у озера
Боровое. Первая частная кумысолечебница была открыта в 1910 г. Курорт развивается
с 1920 г. Средняя температура января - 16º, июля 19º. Атмосферные осадки до 400 мм.
В год, число часов солнечного сияния до 2000 в год. Основные лечебные факторы –
кумыс, а также чистый воздух соснового леса, живописная местность. Имеются
лечебные грязи, источники минеральных вод.
В озеро впадают: с юго-восточного берега река Сарыбулак, с запада - ручей
Иманаевский и два безымянных ручья. Из озера, в его северо-восточной части
вытекает река Куркуреук длиной 1,5 км, которая далее впадает в соседнее озеро
9
(ОБЗОРНЫЙ ПРИМЕР РАБОТЫ)

10.

(ОБЗОРНЫЙ ПРИМЕР РАБОТЫ)
Большое Чебачье.
10
(ОБЗОРНЫЙ ПРИМЕР РАБОТЫ)

11.

(ОБЗОРНЫЙ ПРИМЕР РАБОТЫ)
Рис. 3. Озеро Боровое. Общий вид
Месторождение сапропеля расположено в непосредственной близости от
населенных пунктов. Рядом находится много хуторов, дачных поселений.
Дорожная сеть в районе работ в хорошем состоянии. По северному берегу озера
проходит шоссе. Вдоль северо-восточного, северо-западного берегов проходит
улучшенные грунтовые дороги с насыпью. Дороги соединяют ближайшие курортные
базы и поселки. Дороги обеспечивают подъезды к озеру в любое время года.
1.2. Топографическая изученность района расположения месторождения сапропеля
На район расположения месторождения сапропеля имеются:
11
(ОБЗОРНЫЙ ПРИМЕР РАБОТЫ)

12.

(ОБЗОРНЫЙ ПРИМЕР РАБОТЫ)
- топографические карты масштаба 1:100000 издания 1978 г. с сечением
рельефа через 20 м
- топографическая карта масштаба 1:25000 издания 1972 г. с сечением рельефа
через 5 м
- материалы землеустройства АО "Сапропэк" масштаба 1:10000.
- карты и спутниковые карты Google
1.3. Объем и методика выполнения топографических работ
В качестве плановой основы использован план землеустройства бывшего
объединения "Боровое" масштаба 1:10000, увеличенный фотомеханическим путем до
масштаба 1:5000.
Для разбивки поперечников по озеру проложена магистраль разведочной сети,
концы которой опознаны на местности и на плане землеустройства и закреплены двумя
грунтовыми реперами № 1 и № 2.
Для съемки площади озера и выполнения специальных работ по определению
мощности сапропеля и глубины воды от магистрали разведочной сети перпендикулярно
разбитой 17 поперечников. Нумерация поперечников соответствует номеру пикета по
магистрали, от которого разбит поперечник.
Высотным обоснованием является ход технического нивелирования,
приложенный вокруг озера, со съемкой береговой полосы в пределах 50-100 м и
взятием уреза воды, опирающихся на две грунтовых и два временных (деревянных
столба) репера.
Невязка в окружном нивелированном ходе составила +90 мм, при допустимой +117 мм.
Система высот условная.
Абрис постоянных знаков и каталог высот постоянных знаков прилагается к
отчету.
Нивелирование в ходе высотного обоснования выполнено нивелиром Н-3 с
увеличением зрительной трубы 31х и ценой деления цилиндрического уровня более 2".
Рейки применялись трехметровые двухсторонние (рН-3).
Ручей, вытекающий из озера Боровое и две канавы, которые впадают в озеро, не
были засняты.
В ходе камеральной обработки материалов был составлен в условной системе
координат и высот план месторождения сапропеля в масштабе 1:5000.
Сечение рельефа поверхности береговой полосы через 1,0 м, с проведением
полугоризонталей через 0,5 м.
12
(ОБЗОРНЫЙ ПРИМЕР РАБОТЫ)

13.

(ОБЗОРНЫЙ ПРИМЕР РАБОТЫ)
На основе плана месторождения сапропеля составлена геологогидрогеологическая карта.
В процессе камеральных работ выполненная геолого-гидрогеологическая карта была
наложена на карту в Google, выполнены геологические разрезы с учетом уточнения
глубин воды и залегания сапропеля в озере.
2. ХАРАКТЕРИСТИКА ДОННОГО ОЗЕРНОГО ИЛА
2.1. Условия образования месторождения сапропеля
Озерное месторождение сапропеля "Боровое" сформировалось в озерной
котловине ледникового происхождения.
В геоморфологическом отношении оно расположено на моренной равнине
валдайского оледенения.
Казахстан - область исследований ледниковых образований. Озера, один из
характерных элементов ландшафтов, представляют особый интерес как источники
познания изменений климата и географической обстановки их водосборов, а также
развития гидрологических и гидробиологических процессов в их водных массах.
Донные отложения - летопись жизни озер.
Молодые озера начала голоцена отличались олиготрофным режимом, что
выражалось в высокой прозрачности, слабом развитии живых организмов, постоянно
высокой концентрации кислорода, малом количестве углекислого газа. Изменение
геохимических условий водной массы и уменьшение проточности сказалось на резком
сокращении видов диатомовых. Большую роль начинают играть планктонные виды.
В стратиграфических разрезах озерных отложений пребореал и особенно бореал
характеризуются заметным увеличением карбонатной составляющей, появлением
типичных карбонатных (известковых), смешанных (карбонатно-силикатных) или других
осадков, содержащих повышенное количество СаСО3. Образование такого типа
отложений отражает специфику как внешних (потепление климата, усиленное
химическое выветривание, высокая карбонатность морены на водосборах), так и
внутренних условий (слабое развитие жизни, недостаток углекислоты в воде).
Изменение внешних условий (атлантический период) отразилось на внутреннем
состоянии озерных водоемов, в частности на характере седиментации.
Процесс накопления карбонатных отложений, как правило, сменился процессом
накопления отложений кремнеземистого типа.
В озерах того времени бурно развивались растительные и животные организмы.
Накопление и разложение их остатков сопровождалось потреблением кислорода,
выделением свободной углекислоты. Начался процесс естественного эвтрофирования
озер.
Привнос карбонатных продуктов в это время уменьшился в связи со
значительной выщелочностью морены.
13
(ОБЗОРНЫЙ ПРИМЕР РАБОТЫ)

14.

(ОБЗОРНЫЙ ПРИМЕР РАБОТЫ)
Подъем уровня озер сопровождался абразионной деятельностью и усилением
привноса кластогенных продуктов силикатного состава. В результате в водной массе
нарушилась карбонатное равновесие; начался этап накопления в озерах
органоминеральных осадков с преобладанием SiО2 с большим или меньшим
содержанием органического вещества.
Момент осадкообразования сапропеля в озере Боровое можно отнести к этому
периоду времени.
В последнем этапе голоцена (субатлантический) ознаменовался некоторым
похолоданием климата при увеличении влажности. Климатические изменения вызвали
подъем уровня грунтовых вод, стимулирующий трансгрессию водоема и частичное
затопление и заболачивание прибрежных участков. В осадках озера продолжалось
накопление органического вещества.
Отмечено обогощение верхнего слоя органических осадков песчано-глинистыми
материалом. Это влияние окружающих территорий, служащих источником поступления
кластогенного материала в озеро.
Исходным материалом для образования сапропелей служат планктон, макрофиты
и бентос, которые отмирая, отлагаются на дне водоемов. Это не простое механическое
накопление отмерших организмов, а сложный биохимический процесс.
Если остатки отмерших макрофитов, разложений которые протекают медленно,
непосредственно участвуют в формировании отложений ,то планктон, быстро
разлагаясь, участвует в образовании сапропеля, в основном, за счет реакций синтеза
продуктов его распада.
Огромная роль в образование сапропелевых отложений принадлежит также
микроорганизмам. Наблюдается большое содержание терригенного материала в
сапропеле, таких как кварц, глинистые минералы, полевой шпат, доломит.
Из аутогенных минералов в сапропеле очень часто встречается кальцит, реже
пирит и гипс, еще более редко сидерит.
В сапропеле зачастую отмечается большое количество аморфных оксидов
железа и соединений кремнезева. Состав сапропеля по слоям изменяется.
Содержание кальцита обычно уменьшается в сторону более молодых отложений.
Чистого сапропеля, состоящего только из органического вещества, в озерных
отложениях Казахстана до сих пор не установлено.
2.2. Описание озера, слоя иловых отложений и месторождения сапропеля
По данным уточненной детальной разведки по договору 2014 года площадь
озерного месторождения сапропеля в нулевой границе 168 Га, в том числе:
- в границе промышленной глубины сапропелевой залежи, проведенной по
глубине 1,0 м – 118,9 Га.
- под окрайками – 49,1 Га
14
(ОБЗОРНЫЙ ПРИМЕР РАБОТЫ)

15.

(ОБЗОРНЫЙ ПРИМЕР РАБОТЫ)
Общий объем залежи сапропеля 3648.5 тыс.м3. Средняя глубина сапропелевой
залежи - 2,92 м, максимальная - 6,0 м.
Общие запасы сапропеля - 724 тыс.тонн, из них 685 тыс. тонн балансовые и 39
тыс.т. забалансовые при 60% влажности.
Площадь озера в границе водной поверхности 168 га. В восточной части озера
имеется остров площадью 0,3 га. Форма озера неправильная, с изрезанной линией
берега.
Общие запасы сапропеля – 956641 т, из них 910.43 тыс.т- балансовые и 46,2
тыс.т. - забалансовые при W=60% влажности.
Площадь озера в границе водной поверхности 10,5 кв.км. В восточной части
озера имеется остров – скальное образование. Форма озера неправильная, с
изрезанной линией берега.
Длина озера 4500 м, ширина максимальная 3900 м. Средняя глубина воды на
озере на момент разведки равна 4,08 м, максимальная - 7,10 м. Объем воды в озере 3218847,3 м3
Берега озера гористые, с уклоном, не заболоченные за исключением югозападного берега, где расположен курортный поселок и северо-восточного, северного
берега, ближе к шоссейной трассе.
Берега поросли деревьями, высотой 3-6 м, диаметром 4-10 см, полнотой 0,6,
ивняком.
С восточной части в озеро впадают две канавы. Ширина канав при впадении 2,0
м, глубина воды 0,3 м. По бровкам канав растет ива.
В северной части из озера втекает ручей «Без названия». Ширина ручья по
верху при входе из озера 2,0 м. глубина воды 0,3 м. На северо-западном берегу
буровая скважина № 2 вскрыла торф мощностью 1,8 м.
В прибрежной части озеро заросло тростником, роголистником.
Толщина льда на озере в зимний период 1,20 м.
Иловые отложения никогда не извлекались из озера в промышленных
масштабах. Озерное месторождение сапропеля "Боровое" не разрабатывалось и не
разрабатывается. В настоящее время не используется. По состоянию на 2014 г. требует
экологической очистки от иловых отложений.
2.3. Изучение залежи сапропеля
2.3.1. Объем и методика работ по изучению залежи сапропеля
Согласно проекта производства работ изучение месторождения сапропеля
проведено в две стадии: первоначально в объеме поисково-оценочных работ с
уточнениями глубин воды в озере и мощности залежи сапропеля, а затем в объеме
детальной разведки с отбором уточняющих проб на лабораторные анализы по ГОСТ Р
54000-2010 «Органические удобрения. Сапропель».
15
(ОБЗОРНЫЙ ПРИМЕР РАБОТЫ)

16.

(ОБЗОРНЫЙ ПРИМЕР РАБОТЫ)
Плотность разведочной сети месторождения сапропеля 100х50 м на стадии
детальной разведки. При детальной разведке для определения качественной
характеристики залежи в 39 пунктах послойно через 0,5 м отобрано 244 пробы
сапропеля.
Для уточнения границ сапропелевой залежи, границы промышленной глубины, запасов
сапропеля, глубины воды в озере, запасов иловых отложений, подлежащих выемке при
очистке озера от заиления было сделано 124 точки зондирования из 63 из них
отобраны пробы сапропеля. На основании уточнений выполнены уточненная
геологическая карта месторождения и геологические разрезы по чаше озерного
образования.
По пробам сапропеля в лаборатории выполнены анализы: микроскопический
состав сапропеля методом визуального определения биологических и минеральных
компонентов сапропеля с помощью микроскопа, обменная кислотность по СТП 27-00882, зольность и влага по СТП-27-007-82, оксидов кальция и железа по СТП 27-010-82.
Агрохимический анализ выполнен по 8 сборным пробам основных классов
сапропеля. При этом химический состав золы, оксиды кальция, железа, фосфора,
алюминия, кремния определены по ГОСТ 10538-87, общий азот по ГОСТ 2408.2-75,
общая сера по ГОСТ 8606-72, гидролитическая кислотность по РСТ РСФСР 692-83,
емкость поглощения по П. Захарчуку.
По 41 пробе, отобранных в ходе поисково-оценочных работ, были также
выполнены анализы. Нумерация пунктов отбора проб сплошная, пункты отбора,
выполненные при поисково-оценочных работах поставлены в скобки. По отобранным
63 уточненным пробам была сформирована одна валовая проба сапропеля и отдана на
лабораторный анализ согласно ГОСТ Р 54000-2010.
Плотность разведочной сети при поисково-оценочных работах 500х50 м.
Граница промышленной глубины сапропелевой залежи проведена по глубине 1,0
м. Средняя глубина залежи сапропеля, воды вычислены как среднеарифметические
величины, с точностью сотых доле метра.
На озерном месторождении сапропеля в границе промышленной глубины
сапропелевой залежи выделилось три технологических участка с одноименными
видами строения сапропелевой залежи.
По каждому технологическому участку отдельно вычислена средняя глубина
залежи сапропеля ,как среднеарифметическая величина, с точностью до 0,01 м.
В подсчет средних глубин принимались все глубины сапропеля на пунктах
зондирования (пикетные точки), а также половина интерполяционных точек и глубин
на границе промышленной глубины сапропелевой залежи.
Суммарный объем сапропелевой залежи по каждому техническому участку
определен путем умножения его площади на среднюю глубину.
Вычисленные объемы сапропелевой залежи по каждому технологическому
участку суммировались и сравнивались с вычисленным объемом по всему
месторождению.
16
(ОБЗОРНЫЙ ПРИМЕР РАБОТЫ)

17.

(ОБЗОРНЫЙ ПРИМЕР РАБОТЫ)
Объем залежи сапропеля распределен по классам сапропеля в пределах каждого
участка пропорционально количеству проб в пунктах отбора проб.
Средние качественные показатели в пределах каждого участка вычислены как
среднеарифметические, а в целом по месторождению как средневзвешенные с учетом
объема сапропеля каждого участка.
По 124 точкам зондирования уточнения границ промышленной глубины залежи и
подсчета запасов донных илов определено их количество и разработаны предложения
по технологии очистки водоема от заиления. Данные уточнения представлены в
таблицах ниже. По ним донные илы – сапропели оз. Боровое, отнесены к
соответствующему классу и категории.
Выполнены общий анализ на микро и макро- компоненты, физико-технологические и
физико-химические показатели, на наличие бактериального и радиоактивного
загрязнения, пестициды и гербициды.
Запасы сапропеля вычислены при W=60% условной влаги, согласно
действующих стандартов Евросоюза и России.
Заключение о пригодности выполнено согласно Протоколов анализов физикохимических свойств ила (ГОСТ Р 54000-2010) по результатам радиционногигиенической оценки проб сапропеля озерного месторождения сапропеля "Боровое",
показателей бактериального, микробиологического загрязнения, загрязнения
пестицидами и приложено к отчету.
2.3.2. Характеристика залежи сапропеля и оценка разведанных запасов
Озерное месторождение сапропеля в границе промышленной глубины
сапропелевой залежи представляет собой три технологических участка, сложенных
одноименными видами строения сапропелевой залежи.
Залежь в основном слагают виды сапропеля органического и органо-силикатного
классов.
Общий объем сапропелевой залежи 3648.5 тыс.м3. Общие запасы 956641 тонн
при 60 % условной влаге.
Качественная характеристика сапропеля в целом по месторождению дана в
таблице 1.
Участок 1 (Орг.) имеет площадь в границе промышленной глубины сапропелевой
залежи - 90 га, что составляет 77,6 % от всей площади месторождения сапропеля.
Запасы сапропеля 573 тыс.тонн, из них балансовые - 534 тыс.т, забалансовые 39 тыс.
тонн.
Балансовые запасы сапропеля сложены органическим, органо-силикатным,
железистым классами сапропеля.
Сапропель органического класса представлен торфянистым, протоккоковым и
смешанно-водорослевыми видами сапропеля.
17
(ОБЗОРНЫЙ ПРИМЕР РАБОТЫ)

18.

(ОБЗОРНЫЙ ПРИМЕР РАБОТЫ)
Объем сапропеля органического класса - 2684 тыс.м3, запасы 467 тыс.тонн, что
составляет 81,5% от всех запасов на участке 1.
18
(ОБЗОРНЫЙ ПРИМЕР РАБОТЫ)

19.

(ОБЗОРНЫЙ ПРИМЕР РАБОТЫ)
Таблица 1.
ХАРАКТЕРИСТИКА
площадей и запасов сапропеля по технологическим участкам в границе промышленной глубины сапропелевой залежи
Наименование
участка и его
индекс
Площадь,
га
Удельн. вес
в % по
площади
Объем
сапроп.
залежи,
тыс.м3
Запасы,
тыс.т при
60%
усл.вл.
% от всех
запасов
сапропеля
Участок 1
Орг.
90
77,6
2979
573
79,1
25
92,6
4,1
2,1
Участок 2
Орг.-С-Орг.
12
10,3
359
80
11,1
27
91,5
3,6
1,9
Участок 3
Орг.-С
14
12,1
265
71
9,8
35
89,9
3,6
1,8
116
100
3603
724
100
26
92,4
4,0
2,1
Месторождение
сапропеля в
целом
Средние Качественные показатели, %
Зольность
Влага
Оксид
Оксид
кальция
железа
19
(ОБЗОРНЫЙ ПРИМЕР РАБОТЫ)

20.

(ОБЗОРНЫЙ ПРИМЕР РАБОТЫ)
20
(ОБЗОРНЫЙ ПРИМЕР РАБОТЫ)

21.

(ОБЗОРНЫЙ ПРИМЕР РАБОТЫ)
Торфянистый сапропель отмечен в центральной части участка, в районе пунктов
отбора проб № 40(1) и 41(2), в верхнем, от поверхности сапропелевых отложений, 0,51,0 м слое.
В районе пункта отбора проб № 43(4) встречена 0,5 м прослойка торфянистого
сапропеля.
Протококковый и смешанно-водорослевый виды сапропеля распространены по
всей площади участка. Мощность слоя, сложенными этими видами сапропеля, достигает
до 5,5 м.
Объем сапропеля органо-силикатного класса - 130 тыс.м3, запасы - 30 тыс.тонн
при 60% условной влаге, что составляет 5,2% от всех запасов по участку 1.
Сапропель органо-силикатного класса представлен органо-песчанистыми и
органо-глинистыми видами сапропеля.
Эти виды сапропеля отмечены на участке небольшими прослойками, в
придонном и в верхнем слоях.
Сапропель железистого класса сапропеля представлен органо-железистым видом
сапропеля. Запасы этого вида сапропеля составляют 37 тыс.тонн, т.е. 6,5% от всех
запасов на участке 1. Отмечен органо-железистый сапропель почти по всей площади
участка, в придонном слое.
Забалансовые запасы сапропеля на участке 1 сложены песчанистым сапропелем
и составляют 47тыс.м3 или 39 тыс.тонн, т.е. 6,8% от всех запасов на участке.
Песчанистый сапропель отмечен только в придонном слое, в центральной части
участка, в районе пунктов отбора 40(1) и 42(2) и в районе пункта отбора 43(4).
Средние качественные показатели на технологическом участке 1 и
характеристика запасов сапропеля по классам помещены в таблице 2.
21
(ОБЗОРНЫЙ ПРИМЕР РАБОТЫ)

22.

(ОБЗОРНЫЙ ПРИМЕР РАБОТЫ)
Таблица 2
ХАРАКТЕРИСТИКА
запасов сапропеля по классам сапропеля на технологическом участке 1 в границе промышленной глубины сапропелевой залежи
Наименование
запасов
Забалансовые
Органический
Органо-силикатный
Железистый
Итого
2684
130
118
2932
Запасы
сапропеля
60%
усл.вл.,
тыс.т
467
30
37
534
Общие
Силикатный
Всего по участку 1
47
2979
39
573
Балансовые
Класс сапропеля
Объем
сапропеля,
тыс.м3
% от всех
запасов, на
уч. 1
Средние Качественные показатели, %
Зольность
Влага
Оксид
Оксид
кальция
железа
81,5
5,2
6,5
93,2
23
42
43
25
93,2
91,1
88,3
92,9
4,1
4,5
4,2
4,1
1,9
2,4
5,5
2,1
6,8
100
71
25
78,0
92,6
4,2
4,1
4,5
2,1
22
(ОБЗОРНЫЙ ПРИМЕР РАБОТЫ)

23.

(ОБЗОРНЫЙ ПРИМЕР РАБОТЫ)
23
(ОБЗОРНЫЙ ПРИМЕР РАБОТЫ)

24.

(ОБЗОРНЫЙ ПРИМЕР РАБОТЫ)
Участок 2 (Орг.-С.-Орг.) имеет площадь в границе промышленной глубины
сапропелевой залежи 12 га, что составляет 10,3 % от всей площади месторождения
сапропеля.
Запасы сапропеля на участке 2 представлены органическим и органосиликатным классами сапропеля и равны 80 тыс.тонн при 60 % условной влаге. Ниже в
таблице 3. приведена характеристика запасов сапропеля по классам сапропеля на
технологическом участке 2 в границе промышленной глубины сапропелевой залежи.
Таблица 3.
ХАРАКТЕРИСТИКА
запасов сапропеля по классам сапропеля на технологическом участке 2 в границе
промышленной глубины сапропелевой залежи
Класс
сапропеля
Объем
сапропеля,
тыс.м3
% от
всех
запасов
на уч. 2
196
Запасы
сапропеля
60%
усл.вл.
тыс.т
34
Органический
Органосиликатный
Итого по
участку 2
Средние качественные показатели,
%
Зольность Влага
Оксид
Оксид
кальция железа
42,5
21
93,3
3,5
1,5
163
46
57,5
35
89,4
3,6
2,3
359
80
100
27
91,5
3,6
1,9
Из таблицы видно запасы сапропеля органического класса составляют 34 тыс.т., т.е.
42,5% от всех запасов на участке 2. Сапропель органического класса представлен
смешанно-водорослевым и протококковыми видами сапропеля.
Сапропель органо-силикатного класса представлен органо-песчанистым
сапропелем. Запасы его составляют 46 тыс.т, т.е. 57,5% от общих запасов сапропеля
на участке 2.
Запасы сапропеля на участке 2 по своим качественным показателям можно
рекомендовать на удобрение.
Участок 3 (Орг.-С.) имеет площадь - 14 га, что составляет 12,1% от всей
площади месторождения сапропеля. Запасы сапропеля - 71 тыс.тонн. Запасы
сапропеля представлены органическим и органо-силикатным классами сапропеля. В
таблице 4. приведена характеристика запасов сапропеля по классам сапропеля на
технологическом участке 3 в границе промышленной глубины сапропелевой залежи.
Таблица 4.
ХАРАКТЕРИСТИКА
запасов сапропеля по классам сапропеля на технологическом участке 3 в границе
промышленной глубины сапропелевой залежи
Класс
Объем
Запасы
% от
Средние качественные показатели,
24
(ОБЗОРНЫЙ ПРИМЕР РАБОТЫ)

25.

(ОБЗОРНЫЙ ПРИМЕР РАБОТЫ)
сапропеля
Органический
Органосиликатный
Итого по
участку 3
сапропеля,
тыс.м3
всех
запасов
на уч. 3
Зольность
88
сапропеля
60%
усл.вл.
тыс.т
18
%
Влага
Оксид
кальция
25,4
25
92,3
3,4
2,1
177
53
74,6
41
88,7
3,7
1,7
265
71
100
35
89,9
3,6
1,8
Оксид
железа
Из таблице видно запасы органо-силикатного класса, сложенные органопесчанистым видом сапропеля составляют 74,6% от всех запасов по участку 3, т.е. 53
тыс.тонн. Органо-песчанистый сапропель залегает почти по всей площади участка, за
исключением его центральной части, здесь отмечены прослойки протококкового
сапропеля. Запасы его составляют 18 тыс.тонн при 60% условной влажности.
Запасы сапропеля на участке 3 в количестве 71 тыс.тонн можно рекомендовать к
использованию на удобрения.
Анализ агрохимических свойств сапропеля выполнен по восьми сборным пробам
сапропеля по основным классам сапропеля. Основные химические элементы в
сапропеле, характеризующие его агрохимические свойства, содержатся в следующих
пределах: общий азот 2,3-3,4%, общая сера 1,9-3,4%, оксид фосфора 0,40-0,85%,
оксид кальция 3,5-4,4%, оксид железа 1,8-5,4%, оксид алюминия 0,40-0,85%, оксид
кремния 10,6-32,1%. Колебания обменной кислотности 6,8-4,6 ед.рН, гидролитической
кислотности 15-45 мг-экв/100г, емкости поглощения 110-142,5 мг-экс/100г.
Подробная агрохимическая характеристика сапропеля приведена в таблице 5.
25
(ОБЗОРНЫЙ ПРИМЕР РАБОТЫ)

26.

(ОБЗОРНЫЙ ПРИМЕР РАБОТЫ)
Таблица 5.
ХАРАКТЕРИСТИКА
основных классов сапропеля по результатам анализа сборных проб
Класс
сапропел
я
Органосиликатн
ый
Органосиликатн
ый

сбо
рно
й
про
бы
1
Индекс
участк
аи
номер
участк
а
Уч-к 3
Орг.-С.
Объем
сапропе
ля,
тыс.м3
Обменна
я
кислотно
сть,
ед.рН
Гидролитич
еская
кислотность
, мгэкв/100г
Емкость
поглоще
ния, мгэкв/100г
Зольно
сть, %
Влаг
а, %
Общ
ий
азот,
%
Общ
ая
сера
,%
177
6,1
27
120,0
41
88,7
2,5
1,9
Химический состав золы
Оксиды
Кал Жел Фосф
Ал Крем
ьци
еза
ора
юм
ния
я
ин
ия
4,4
1,8
0,85
1,0 28,2
2,3
Уч-к 1
Орг.
Уч-к 2
Орг.с.Орг.
Средне
е
293
6,8-4,6
15,0-45,0
110,0
38
90,2
2,3
2,0
3,5
2,5
0,66
1,1
32,1
470
6,8-4,6
15,0-45,0
110,0120,0
39
89,6
2,4
2,0
3,8
2,2
0,73
1,1
30,6
Железист
ый
8
Уч-к 1
Орг.
118
5,6
34,0
118,5
42
88,3
2,3
3,4
4,3
5,4
0,47
2,1
22,9
Органиче
ский
4,5,
6,7
Уч-к 1
Орг.
Уч-к 2
Орг.С.-Орг.
2880
6,1-5,4
27,0-36,0
130,0142,5
23
93,2
3,4
2,2
4,0
2,0
0,40
0,9
10,6
26
(ОБЗОРНЫЙ ПРИМЕР РАБОТЫ)

27.

(ОБЗОРНЫЙ ПРИМЕР РАБОТЫ)
27
(ОБЗОРНЫЙ ПРИМЕР РАБОТЫ)

28.

(ОБЗОРНЫЙ ПРИМЕР РАБОТЫ)
На основании таблицы можно сделать заключение, что железистый класс
сапропеля, представленный органо-железистым видом сапропеля нельзя
рекомендовать на удобрения, так как содержание серы более 3%.
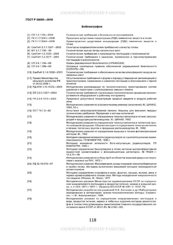
2.3.3. Возможные направления эксплуатации месторождения сапропеля
Заказчик данных работ ставит своей целью экологическую очистку водоема от
заиления и использование извлекаемого при этом сапропеля в качестве сырья для
производства продукции. Наиболее оптимальным способом добычи сапропеля и
донных илов на озере является винтовой или шнековый. Способ позволяет извлекать
донные отложения практически без воды водоема, транспортировать их на расстояния
более 1 км, осуществлять их береговое обезвоживание до требуемой влажности.
Добыча целесообразна шнековым земснарядом проекта 258.60-1СШ. Обезвоживание
сапропеля рекомендуется в контейнерах геотубах российского производства,
позволяющих уменьшить промплощадку до минимума.
Рис.4. Земснаряд для добычи сапропеля и очистки водоема от заиления проекта 258.60-1СШ
Добыча сапропеля будет производиться в границе озера. Выбор площадки под
обезвоживание илов (сапропеля) затруднен, так как окружающие берега заняты
постройками и залесены. Южный и юго-западный берега застроены дачным поселком.
28
(ОБЗОРНЫЙ ПРИМЕР РАБОТЫ)

29.

(ОБЗОРНЫЙ ПРИМЕР РАБОТЫ)
Рис. 5. Общий вид контейнеров геотуб для обезвоживания ила и сапропеля
Территория под промплощадку для обезвоживания может быть выбрана в
северной береговой части озера у подножья горы (возвышенности). Для этого
заказчику потребуется выкупить участок 0.67 Га и взять в аренду участок 100х70 м у
частных лиц. Других свободных земель для размещения промплощадки на берегу
озера нет.
3. КЛИМАТИЧЕСКАЯ И ГИДРОГЕОЛОГИЧЕСКАЯ ХАРАКТЕРИСТИКА МЕСТОРОЖДЕНИЯ
САПРОПЕЛЯ
29
(ОБЗОРНЫЙ ПРИМЕР РАБОТЫ)

30.

(ОБЗОРНЫЙ ПРИМЕР РАБОТЫ)
Рис. 6. Водосборная площадь оз. Боровое
3.1. КЛИМАТИЧЕСКАЯ ХАРАКТЕРИСТИКА РАЙОНА РАСПОЛОЖЕНИЯ МЕСТОРОЖДЕНИЯ
САПРОПЕЛЯ
На климат северной части Казахстана, где расположено озерное месторождение
сапропеля "Боровое", сказывается непосредственная близость степной зоны. Климат
района расположения месторождения сапропеля переходный от среднеконтиннтального к континентальному.
Самым холодным месяцем года является февраль, со средней температурой 15,5 , а самым теплым - июль, средняя температура которого составляет 26,60.
0
Переход средней суточной температуры воздуха через 0 0 в сторону повышения
определяет начало весны. Средняя дата перехода через 00 в сторону повышения 3
апреля.
Началом лета принято считать переход температуры через 13 0, что наблюдается
в первой декаде июня.
С переходом средней суточной температуры воздуха через 12-130 в сторону
понижения в первой декаде сентября, наступает осень.
С наступлением средней суточной температуры воздуха ниже 00 осень сменяется
периодом предзимья, частыми туманами и кратковременным образованием снежного
покрова. Переход температуры через 00 в сторону понижения наблюдается 25 ноября.
Основные цифровые климатические характеристики приведены по многолетним
данным наблюдений на метеостанции Кокшетау, расположенной на запад в 11,0 км от
месторождения сапропеля.
Таблица 6
Средняя месячная и годовая температура воздуха (С0)
Станция
Таллинн
1
-4,7
2
-5,5
3
-2,7
4
2,6
5
8,4
6
13,2
7
16,6
8
15,6
9
11,4
10
6,0
11
1,2
12
-2,6
Год
5,0
Таблица 7
Даты перехода средней суточной температуры воздуха через 0 0, +-50
Станция
Весной
00
3/4
-50
26/2
Таллинн
50
27/4
Осенью
00
25/11
50
21/10
-50
21/1
Таблица 8
Среднемесячная и годовая относительная влажность воздуха (%)
Станция
Таллинн
1
87
2
86
3
79
4
77
5
71
6
73
7
76
8
80
9
83
30
(ОБЗОРНЫЙ ПРИМЕР РАБОТЫ)
10
84
11
88
12
88
Год
81

31.

(ОБЗОРНЫЙ ПРИМЕР РАБОТЫ)
Таблица 9
Средний месячный и годовой недостаток насыщения (мб)
Станция
Таллинн
1
0,6
2
0,6
3
1,0
4
2,0
5
4,1
6
4,8
7
5,1
8
3,9
9
2,4
31
(ОБЗОРНЫЙ ПРИМЕР РАБОТЫ)
10
1,5
11
0,9
12
0,6
Год
2,3

32.

(ОБЗОРНЫЙ ПРИМЕР РАБОТЫ)
Таблица 10
Среднее количество осадков (мм)
Станция
I
Таллинн
П
Ш
IV
V
VI

VШ IX X XI XП
Приведенное к показаниям осадкомера
34 28 22 28 39 50 67 73 67 62 50 39
Теплый период IV-X
Холодный период XI-Ш
173
386
Год
559
С поправками к показаниям осадкомера
55 45 34 35 46 56 74 80 77 76 70 62
266
444
710
Таблица 11.
Суточный максимум осадков различной обеспеченности (мм)
Станция
Средний максимум
Таллинн
63
24
30
Обеспеченность в %
20
10
5
2
37
47
55
69
1
83
Таблица 12
Высота снежного покрова на последний день декады по постоянной рейке (см)
Станция
Таллинн
1
3
ХП
2
5
3
8
1
10
I
2
12
3
13
1
16
П
2
19
3
20
1
19
Ш
2
19
3
19
IV
1
7
Наибольшая
средн.
макс.
мин.
28
58
5
Таблица 13
Даты появления и схода снежного покрова
32
(ОБЗОРНЫЙ ПРИМЕР РАБОТЫ)

33.

(ОБЗОРНЫЙ ПРИМЕР РАБОТЫ)
Станция
Число дней со
снеж. покровом
Таллинн
106
Дата появления снеж. покрова
средн.
10/ХI
сам.ран.
12/Х
сам.позд.
25/ХП
Дата образования уст. снеж.
покрова
средн.
сам.ран.
сам.позд.
25/ХП
23/ХI
33
(ОБЗОРНЫЙ ПРИМЕР РАБОТЫ)
Дата схода снежного покрова
средн.
14/IV
сам. ран.
7/Ш
сам. позд.
18/V

34.

(ОБЗОРНЫЙ ПРИМЕР РАБОТЫ)
Таблица 14.
Средняя повторяемость ветра (в %) и число штилей (дней) ст. Кокшетау
Месяц
V
VI


IX
Год
С СВ В ЮВ Ю ЮЗ З СЗ
11 18 9 9
9
11 19 14
12 13 7 9
9
13 20 17
12 15 10 10
9
13 18 13
12 13 10 13 13 14 14 11
11
9 7 13 18 19 13 10
10 10 11 14 15 17 13 10
Штиль (дней)
4
4
5
6
6
4
Таблица 15
Средняя месячная и годовая скорость ветра (м/с)
Станция
Таллинн
1
6,3
2
5,4
3
5,3
4
5,4
5
5,1
6
5,0
7
4,8
8
4,7
9
5,0
10
5,9
11
6,3
12
6,4
Год
5,5
Таблица 16
Среднее число дней с сильным ветром (более 15 м/с)
Станция
Таллинн
1
3,2
2
2,1
3
1,6
4
1,5
5
0,8
6
0,4
7
0,3
8
1,4
9
1,3
10
2,2
11
2,0
12
2,7
Год
2,0
Таблица 17
Испарение с водной поверхности (мм)
IV
18
V
96
VI
132

126

114
IX
72
X
12
XI
6
3.2. Водосборная площадь
Водосборная площадь месторождения сапропеля, определенная по картам
масштаба 1:100000, равна 14,5 км2.
Граница водосборной площади приходит на расстоянии 0,010-3,0 км от озера.
Рельеф водосборной площади холмистый.
Заболоченность водосборной площади 7%, заселенность 35%.
3.3. ГИДРОГЕОЛОГИЧЕСКАЯ ХАРАКТЕРИСТИКА МЕСТОРОЖДЕНИЯ САПРОПЕЛЯ
Для гидрологической характеристики озерного месторождения сапропеля был
выполнен комплекс полевых, лабораторных и камеральных работ. Кроме того, по
исследуемому району работ был собран фондовый и литературный материал. Все
работы выполнены согласно "Инструкции по разведке озерных месторождений
сапропеля" изд. 1988 г.
34
(ОБЗОРНЫЙ ПРИМЕР РАБОТЫ)

35.

(ОБЗОРНЫЙ ПРИМЕР РАБОТЫ)
При детальной разведке месторождения сапропеля было пробурено 5 скважин
глубиной 2,0-8,0 м и общим объемом бурения 22,5 п.м.
Незначительная глубина двух скважин (2 м) объясняется тем, что на забое
вскрыты отложения, которые имеющимся буровым инструментом пробурить
невозможно. Три скважины пробурены на гидрогеологическом створе, совпадающим с
поперечником зондирования. Расстояние между скважинами в створе 0,65-0,82 км. Две
одиночные скважины пробурены на северо-западном и юго-восточном берегах озера.
Бурение велось ручным способом - буром БГ-1. В процессе бурения производился
отбор проб грунта из каждого литологически отличного горизонта. На лабораторные
определения физико-механических свойств грунтов было отобрано 6 проб. При
лабораторных исследованиях определялся литологический состав, потеря от
прокаливания, удельный вес, приделы и число пластичности, угол откоса и
коэффициент фильтрации.
Для уточнения литологического строения ложа месторождения сапропеля было
проведено описание образцов подстилающего грунта, отобранного в пунктах отбора
проб сапропеля.
В процессе камеральной обработки материалов была составлена геологогидрогеологическая карта, два гидрогеологических разреза совмещенных со
стратиграфическими и колонки буровых скважин.
На основе анализа топографических карт, фондовых материалов и результатов
выполненных геологоразведочных работ установлено, что озерное месторождение
сапропеля сформировалось в озерной котловине ледникового происхождения. В
геоморфологическом отношении оно расположено, по-видимому, на моренной равнине
валдайского оледенения, вклинивающейся в ордовикское плато.
Поверхность моренной равнины слабоволнистая, осложнена западинами
глубиной 1,0-2,0 м и небольшими холмами различной ориентировки. Межхолмные
понижения часто заболочены.
В геологическом строении верхней части разреза района месторождения
принимают участие отложения ордовикской и четвертичной систем. Ордовикские
отложения (О) сложены известняками, доломитами. Четвертичная система
представлена верхним и современным отделами. Верхний отдел четвертичной системы
сложен мореной валдайского оледенения и валдайскими надморенными
водноледниковыми отложениями.
Морена валдайского оледенения (gIIIv)
Эти отложения залегают, как правило, с поверхности, а в понижениях рельефа
перекрыты водно-ледниковыми образованиями того же возраста и современными
осадками.
При разведке месторождения сапропеля эти отложения были обнаружены двумя
скважинами (Б.с.1 и 3) на глубине 2,0 м. Представлены они по-видимому валунными
суглинками. Пробурить эти отложения ручным способом не возможно. Пробы грунта не
отбирались, поэтому сведения о физико-механических свойствах валдайской морены
не приводятся.
35
(ОБЗОРНЫЙ ПРИМЕР РАБОТЫ)

36.

(ОБЗОРНЫЙ ПРИМЕР РАБОТЫ)
Валдайские надморенные водно-ледниковые отложения (f,lgIIIv)
Эти отложения залегают с поверхности, а в понижениях рельефа и в озерных
котловинах перекрыты современными образованиями. Подстилаются они валдайской
мореной. Представлены водно-ледниковые отложения суглинками и песками. Суглинки
легкие и средние, иногда пылеватые, голубовато-серые, серые, темно - и светло-серые,
серовато-коричневые, с редким содержанием гальки, по консистенции
мягкопластичные. Число пластичности суглинков 7,9-9,8. Песок мелкий, серый и темносерый. Угол откоса песка в сухом состоянии 350, под водой 310. Мощность водноледниковых отложений составляет 1,8-5,% м.
Современный отдел четвертичной системы представлен озерными и болотными
отложениями.
Озерные отложения (lIV)
Эти отложения в районе разведки являются основным объектом исследований.
Залегают они в озерной котловине, под толщей воды. Подстилаются
верхнечетвертичными суглинками и песками. Представлены сапропелем, мощность
которого колеблется от долей метра до 5,9 м. Более детальная характеристика
сапропеля проводится в предыдущих главах.
Болотные отложения (bIV)
Эти образования при разведке месторождения сапропеля вскрыты одной
скважиной (Б.с.5). Залегают они с поверхности, подстилаются мореной валдайского
оледенения. Представлены болотные образования торфом, мощностью 1,8 м.
Подземные воды в районе разведки связаны с четвертичными и ордовикскими
отложениями. Скважинами пробуренными при разведке озерного месторождения
вскрыты воды современных болотных отложений и водоносный горизонт
верхнечетвертичных валдайских надморенных водно-ледниковых отложений.
Водоносный горизонт современных болотных отложений (bIV)
Этот горизонт получил незначительное развитие в северо-западной части
исследуемой территории. Залегает он первым от поверхности. Подстилается
валдайской мореной. Водовмещающей породой является торфяная залежь, мощность
которой составляет 1,8 м (Б.с.3). Водоносный горизонт имеет свободный уровень,
который прослеживается на глубине 0,6 м.
Питание горизонта осуществляется атмосферными осадками.
Согласно фондовым данным воды болотных отложений пресные, мягкие, по
химическому составу гидро-карбонатно-магниево-кальциевые с минерализацием 250260 мг/л.
Практического использования в хозяйственных целях эти воды не имеют.
Водоносный горизонт верхнечетвертичных валдайских надморенных водноледниковых отложений (f,lgIIIv)
36
(ОБЗОРНЫЙ ПРИМЕР РАБОТЫ)

37.

(ОБЗОРНЫЙ ПРИМЕР РАБОТЫ)
Этот горизонт залегает первым от поверхности. В озерных котловинах он
перекрыт современными озерными образованиями. Водоупором ему служат суглинки
валдайской морены. Водовмещающими отложениями являются мелкозернистые пески.
Коэффициент фильтрации песков 1,71 м/сут. Мощность песчаных отложений
составляет 1,0-1,8 м. Водоносный горизонт безнапорного типа. Уровень его
прослеживается на глубине 0,8 м (Б.с.1). Питание его осуществляется путем
инфильтрации атмосферных осадков. Дренируется он озером Боровое. Сведений о
химическом составе воды нет. Однако известно, что воды этого горизонта
эксплуатируются сельским населением посредством колодцев.
Выводы
1. Озерное месторождение сапропеля сформировалось в озерной котловине
ледникового происхождения и расположено на моренной равнине валдайского
оледенения.
2. В геологическом строении района месторождение сапропеля до глубины 8,0 м
принимает участие верхнечетвертичные и современные отложения.
Верхнечетвертичные отложения представлены валдайской мореной и валдайскими
надморенными водно-ледниковыми суглинками и песками. Современные образования
сложены озерными (сапропель) и болотными (торф) осадками.
3. Ложе месторождения сапропеля сложено песком и суглинком
4. Скважинами ,пробуренными до глубины 8,0 м, вскрыты воды современным
болотных отложений и водоносный горизонт верхнечетвертичных валдайских водноледниковых отложений.
ЛИТЕРАТУРА
1. Инструкция по разведке озерных месторождений сапропеля СССР. Москва
1988
2. Лыокене Э.А. Позднеледниковые и голоценовые озерные отложения
Казахской ССР, их вещественный состав и изменения во времени. История озер в СССР.
Тезисы докладов 6 Всесоюзного совещания. Том 2 Алма Ата 1983
Карта четвертичных отложений Среднеазиатской части СССР и прилегающих
территорий масштаба 1:1500000
4. Гидрогеологическая съемка масштаба 1:200000, выполненная в пределах
листа 0-35-1
5. Справочник по климату СССР. Выпуск 4 ч. П-У Гидрометеоиздат - 1987
37
(ОБЗОРНЫЙ ПРИМЕР РАБОТЫ)

38.

(ОБЗОРНЫЙ ПРИМЕР РАБОТЫ)
38
(ОБЗОРНЫЙ ПРИМЕР РАБОТЫ)

39.

(ОБЗОРНЫЙ ПРИМЕР РАБОТЫ)
ВЕДОМОСТЬ
ПРИЛОЖЕНИЕ 1
послойных и средних значений качественных показателей сапропеля. Показатели: зольность, влага, оксид кальция, оксид железа (%)
Участок 1 (Орг.)
ПО-3
Глуб Пока
ина
зате
отбо
ли
ра,
м
1
2
24,7
1,0- 92
1,5
5,04
1,92
1,52,2
29,3
92
4,35
1,43
ПО-2
Глуб Пока
ина
зате
отбо
ли
ра,
м
3
4
20,9
1,0- 92
1,5
3,47
1,52
ПО-1
Глуб Пока
ина
зате
отбо
ли
ра,
м
5
6
26,5
1,5- 92
2,0
3,91
1,59
ПО-42(3)
Глуб Пока
ина
зате
отбо
ли
ра,
м
7
8
28,5
1,5- 94
2,0
5,70
1,59
ПО-4
Глуб Пока
ина
зате
отбо
ли
ра,
м
9
10
32,1
1,5- 92
2,0
4,13
1,27
ПО-5
Глуб Пока
ина
зате
отбо
ли
ра,
м
11
12
31,6
1,5- 92
2,0
4,24
1,51
ПО-6
Глуб Пока
ина
зате
отбо
ли
ра,
м
13
14
33,8
1,0- 92
1,5
6,36
1,67
ПО-7
Глуб Пока
ина
зате
отбо
ли
ра,
м
15
16
32,7
1,0- 89
1,5
4,70
1,52
ПО-8
Глуб Пока
ина
зате
отбо
ли
ра,
м
17
18
23,1
1,0- 90
1,5
3,81
1,12
1,52,0
20,1
91
3,81
1,28
2,02,5
27,2
91
4,03
1,44
2,02,5
27,2
94
5,04
1,43
2,02,5
25,1
95
5,37
1,52
2,02,5
30,4
93
8,37
1,59
1,52,0
26,0
94
4,49
1,60
1,52,0
27,2
92
4,04
1,52
1,52,0
23,8
92
4,63
1,12
2,02,5
18,3
93
3,80
1,24
2,53,0
22,3
94
3,80
1,76
2,53,0
23,2
95
3,91
1,20
2,53,0
15,2
95
3,24
1,83
2,53,0
20,9
94
3,69
1,67
2,02,5
27,1
93
6,36
1,56
2,02,5
21,7
94
3,80
1,75
2,02,5
32,4
91
3,35
1,12
2,53,0
16,1
94
3,24
1,40
3,03,5
19,2
94
3,47
1,52
3,03,5
18,1
94
4,13
1,51
3,03,5
25,4
95
7,25
1,59
3,03,5
32,3
94
9,95
1,75
2,53,0
23,4
92
3,80
1,59
2,53,2
27,0
94
4,02
1,67
2,53,2
23,8
93
3,02
1,35
3,0-
18,5
93
3,5-
19,7
95
3,5-
17,8
95
3,5-
23,7
92
3,5-
20,6
95
3,0-
39
(ОБЗОРНЫЙ ПРИМЕР РАБОТЫ)
23,7
94
ПО-9
Глуб Пока
ина
зате
отбо
ли
ра,
м
19
20
23,9
0,8- 92
1,3
6,02
1,51
1,32,0
37,9
89
4,44
1,30

40.

(ОБЗОРНЫЙ ПРИМЕР РАБОТЫ)
3,5
3,53,9
3,25
1,76
2,7
93
3,25
1,44
4,0
3,80
1,59
4,04,5
15,2
94
3,02
1,59
4,55,0
4,0
3,13
1,68
2,79
2,23
4,0
3,5
5,49
1,60
17,1
95
3,02
1,67
3,54,0
21,4
93
3,69
1,91
17,4
94
3,24
1,59
4,55,0
26,3
93
3,25
1,60
4,04,5
20,6
95
4,92
1,76
5,05,5
19,2
94
2,91
2,39
5,05,5
27,6
92
2,79
2,47
4,55,0
17,6
94
3,35
2,10
5,56,0
44,5
91
3,25
2,16
5,55,9
29,9
91
3,24
2,87
5,05,5
19,8
94
3,91
1,76
5,56,0
23,0
93
3,24
2,55
6,06,5
26,5
92
3,68
2,23
4,04,3
21,9
95
3,80
1,83
4,59
1,76
4,04,5
4,04,6
70,6
84
2,69
0,96
4,0
6,5-
40
(ОБЗОРНЫЙ ПРИМЕР РАБОТЫ)
48,3
87

41.

(ОБЗОРНЫЙ ПРИМЕР РАБОТЫ)
6,9
3,35
5,09
Продолжение приложения 1
ПО-10
Глуб Пока
ина
зате
отбо
ли
ра,
м
21
22
26,1
1,0- 92
1,5
4,81
1,44
1,52,0
24,6
93
4,02
1,43
ПО-11
Глуб Пока
ина
зате
отбо
ли
ра,
м
23
24
27,3
1,4- 94
2,0
8,74
1,68
2,02,5
28,5
92
6,15
1,59
2,02,5
18,8
93
3,47
1,44
2,53,0
17,0
93
3,13
1,76
ПО-12
Глуб Пока
ина
зате
отбо
ли
ра,
м
25
26
19,3
1,5- 92
2,0
4,03
1,44
2,02,5
23,4
92
4,13
1,35
2,53,0
25,2
95
7,03
1,75
3,03,5
17,2
95
4,48
1,68
ПО-13
Глуб Пока
ина
зате
отбо
ли
ра,
м
27
28
27,4
2,0- 92
2,5
3,80
1,60
2,53,0
20,8
93
3,13
1,60
2,53,0
24,2
93
4,01
1,59
3,03,5
15,6
94
4,01
2,31
ПО-14
Глуб Пока
ина
зате
отбо
ли
ра,
м
29
30
31,4
2,0- 92
2,5
5,15
1,68
2,53,0
24,7
92
4,13
1,51
3,03,5
19,8
95
3,81
1,60
3,54,0
19,2
95
3,47
1,68
ПО-15
Глуб Пока
ина
зате
отбо
ли
ра,
м
31
32
37,6
2,0- 92
2,5
4,81
1,76
2,53,0
19,2
94
4,02
1,75
3,03,5
28,4
91
4,14
1,68
3,54,0
34,8
90
3,91
1,91
ПО-40(1)
Глуб Пока
ина
зате
отбо
ли
ра,
м
33
34
26,2
2,5- 92
3,0
3,58
1,75
3,03,5
16,9
95
3,58
1,12
3,03,5
26,2
93
5,35
2,07
3,54,0
24,0
92
3,24
1,67
ПО-41(2)
Глуб Пока
ина
зате
отбо
ли
ра,
м
35
36
22,3
2,0- 93
2,5
3,35
1,28
2,53,0
22,5
94
3,46
1,43
3,54,0
15,8
95
3,13
1,12
4,04,5
19,5
95
3,36
1,59
41
(ОБЗОРНЫЙ ПРИМЕР РАБОТЫ)
ПО-24
Глуб Пока
ина
зате
отбо
ли
ра,
м
37
38
26,8
1,0- 92
1,5
4,03
1,76
1,52,0
21,4
95
4,24
1,53
3,03,5
15,4
96
3,13
1,43
3,54,0
16,2
96
3,02
1,44
ПО-23
Глуб Пока
ина
зате
отбо
ли
ра,
м
39
40
29,6
0,6- 91
1,0
7,05
1,52
1,01,5
27,6
91
5,37
1,68
2,02,5
21,3
94
3,45
1,51
1,52,0
28,1
91
6,16
1,28
2,53,0
34,4
90
4,57
2,15
2,02,5
17,5
92
3,12
1,11

42.

(ОБЗОРНЫЙ ПРИМЕР РАБОТЫ)
3,03,6
40,7
91
3,13
1,44
3,54,0
21,3
94
4,47
1,76
3,54,0
20,1
95
4,60
1,36
4,04,5
15,9
94
3,25
1,68
4,04,5
18,4
94
4,25
1,60
4,04,5
40,8
88
2,80
1,76
4,55,0
15,7
94
2,58
1,75
4,04,5
14,3
96
3,13
1,51
3,03,5
28,2
93
3,45
1,43
2,53,0
20,8
94
4,70
1,44
4,04,6
24,5
93
3,03
2,16
4,04,5
21,4
93
6,03
1,59
4,55,0
15,2
95
3,25
1,68
4,55,0
16,2
93
3,36
1,84
4,55,0
24,0
93
3,69
1,91
5,05,5
13,7
95
4,90
1,43
4,55,0
13,2
94
3,02
1,36
3,54,0
43,6
92
3,46
1,67
3,03,5
14,0
95
3,36
1,44
4,55,0
21,1
94
3,47
1,91
5,05,5
22,2
94
4,13
1,75
5,05,5
20,5
92
3,46
2,23
5,56,0
19,9
92
3,02
2,16
5,05,5
18,1
94
3,36
2,08
4,04,3
52,7
88
2,91
2,72
3,54,0
18,8
94
4,25
1,67
5,05,5
24,5
92
3,13
2,31
5,56,0
20,4
94
3,02
2,15
5,56,0
25,4
94
3,13
2,71
6,06,5
20,7
94
3,02
2,55
5,56,0
19,1
95
3,02
2,08
4,04,5
14,5
94
3,25
1,59
5,56,0
24,4
92
4,01
2,86
6,06,5
25,2
93
4,03
2,71
6,06,5
23,3
93
3,35
2,79
6,57,2
27,1
91
2,46
4,47
6,06,5
22,8
94
3,58
3,20
4,55,0
19,2
95
3,57
1,91
6,06,5
50,4
86
3,58
4,39
6,57,0
27,5
92
3,24
3,98
6,56,9
48,6
86
3,91
5,58
7,27,5
66,8
79
4,81
5,90
6,57,0
38,9
91
4,14
4,15
5,05,5
19,4
95
2,91
2,71
7,07,3
35,6
90
4,02
6,53
7,07,5
67,4
78
5,58
5,51
5,56,1
29,5
92
2,80
2,88
42
(ОБЗОРНЫЙ ПРИМЕР РАБОТЫ)

43.

(ОБЗОРНЫЙ ПРИМЕР РАБОТЫ)
Продолжение приложения 1
ПО-22
Глуби
Показ
на
атели
отбор
а, м
41
42
22,5
2,095
2,5
5,37
1,28
ПО-21
Глуби
Показ
на
атели
отбор
а, м
43
44
19,6
2,094
2,5
4,59
1,28
ПО-20
Глуби
Показ
на
атели
отбор
а, м
45
46
25,1
2,093
2,5
4,81
1,52
ПО-27
Глуби
Показ
на
атели
отбор
а, м
47
48
19,9
2,092
2,5
4,02
1,43
ПО-28
Глуби
Показ
на
атели
отбор
а, м
49
50
27,5
1,592
2,0
3,91
1,43
ПО-29
Глуби
Показ
на
атели
отбор
а, м
51
52
29,6
1,288
1,5
7,27
1,60
2,53,0
16,2
94
3,46
1,19
2,53,0
25,2
94
5,93
1,60
2,53,0
23,8
91
3,69
1,60
2,53,0
17,3
93
3,69
1,20
2,02,5
21,9
93
4,47
1,59
1,52,0
21,6
94
6,24
1,72
3,03,5
20,1
95
4,03
1,52
3,03,5
18,9
94
4,25
1,43
3,03,5
22,0
94
3,47
1,52
3,03,5
17,5
94
3,23
1,43
2,53,0
17,8
94
4,13
1,12
2,02,5
25,9
93
6,94
1,88
43
(ОБЗОРНЫЙ ПРИМЕР РАБОТЫ)
ПО-30
Глуби
Показ
на
атели
отбор
а, м
53
54
29,9
0,590
1,0
6,04
1,60
1,01,5
28,9
89
4,14
1,44
ПО-31
Глуби
Показ
на
атели
отбор
а, м
55
56
18,8
1,694
2,0
4,35
1,27
2,02,5
19,8
95
4,36
1,60
2,53,0
24,5
94
5,59
1,75

44.

(ОБЗОРНЫЙ ПРИМЕР РАБОТЫ)
3,54,0
16,9
94
3,13
1,59
3,54,0
18,7
94
4,12
1,75
3,54,0
18,8
93
3,13
1,43
3,54,0
22,6
94
4,36
1,59
3,03,5
19,6
94
4,48
1,44
2,53,0
24,2
93
4,24
1,59
3,03,5
17,4
95
3,91
1,75
4,04,5
18,5
95
4,26
1,52
4,04,5
16,4
95
3,36
1,60
4,04,5
19,5
94
3,57
1,43
4,04,5
14,0
94
3,57
1,67
3,54,0
22,1
93
5,14
1,44
3,03,5
17,2
95
4,25
1,60
3,54,0
25,0
94
3,70
3,12
4,55,0
16,8
94
3,49
1,67
4,55,0
18,5
94
4,02
2,07
4,55,0
17,1
94
2,90
1,51
4,55,0
18,8
94
3,45
2,70
4,04,5
17,9
94
4,69
1,83
3,54,1
24,1
94
4,36
2,31
4,04,5
52,3
89
4,52
5,50
5,05,5
21,8
94
3,24
2,07
5,05,5
23,1
94
4,13
2,15
5,05,5
25,4
94
3,81
2,08
5,05,5
22,9
93
3,57
2,71
4,55,0
16,5
94
4,13
1,59
5,56,0
22,3
94
3,46
2,47
5,56,0
24,0
93
3,46
3,43
5,56,0
22,2
93
3,24
2,87
5,56,0
23,9
92
3,25
3,75
5,05,5
17,5
94
3,12
2,42
6,06,5
23,3
93
3,24
3,27
6,06,4
27,2
90
3,11
5,39
6,06,5
40,3
89
3,58
4,62
6,06,3
34,9
90
4,03
5,11
5,56,0
18,3
94
3,47
2,11
6,57,1
38,4
89
3,62
5,58
6,06,5
20,6
95
3,47
3,54
44
(ОБЗОРНЫЙ ПРИМЕР РАБОТЫ)

45.

(ОБЗОРНЫЙ ПРИМЕР РАБОТЫ)
6,57,0
24,0
92
3,13
4,38
Продолжение приложения 1
ПО-43(4)
Глуби
Показ
на
атели
отбор
а, м
57
58
27,8
1,692
2,1
5,58
1,27
2,12,5
40,4
89
7,05
1,12
ПО-32
Глуби
Показ
на
атели
отбор
а, м
59
60
31,3
1,591
2,0
5,15
1,31
2,02,5
23,5
91
3,91
1,43
ПО-33
Глуби
Показ
на
атели
отбор
а, м
61
62
18,6
2,093
2,5
3,02
1,20
2,53,0
19,7
94
3,80
1,76
ПО-35
Глуби
Показ
на
атели
отбор
а, м
63
64
17,7
1,992
2,5
3,47
1,12
2,53,0
ПО-36
Глуби
Показ
на
атели
отбор
а, м
65
66
21,2
2,093
2,5
4,47
2,23
18,6
94
3,69
1,44
2,53,0
21,7
93
3,36
2,23
ПО-37
Глуби
Показ
на
атели
отбор
а, м
67
68
33,4
0,891
1,3
6,49
2,79
1,31,8
45
(ОБЗОРНЫЙ ПРИМЕР РАБОТЫ)
35,5
91
4,47
2,15
ПО-38
Глуби
Показ
на
атели
отбор
а, м
69
70
20,8
0,893
1,5
5,26
1,92
1,52,0
23,3
93
6,81
1,75
ПО-39
Глуби
Показ
на
атели
отбор
а, м
71
72
23,8
0,591
1,0
4,12
1,51
1,01,5
18,4
90
3,56
1,35

46.

(ОБЗОРНЫЙ ПРИМЕР РАБОТЫ)
2,53,0
17,8
95
3,58
1,43
2,53,0
18,4
94
3,91
1,44
3,03,5
22,8
93
5,26
1,44
3,03,5
20,2
94
3,92
1,44
3,03,5
18,9
95
3,69
1,51
3,03,5
16,9
94
3,13
1,75
3,54,0
22,3
93
3,80
2,07
3,54,0
22,4
95
4,23
1,59
3,54,0
22,2
95
4,59
1,75
3,54,0
15,7
93
3,69
1,59
4,04,5
24,2
92
3,47
3,03
4,04,5
23,8
93
3,92
2,39
4,04,5
27,7
93
4,14
1,84
4,04,5
15,9
94
3,14
1,92
4,55,0
22,7
92
3,69
2,87
4,55,0
30,3
94
4,03
4,47
4,55,0
23,7
92
3,80
3,16
5,05,5
26,0
93
3,68
3,34
5,05,4
50,0
89
3,02
4,63
5,05,5
40,2
88
3,46
5,57
5,55,8
42,7
88
6,79
5,24
5,45,5
3,03,5
28,7
93
4,03
3,83
79,1
71
3,58
5,75
46
(ОБЗОРНЫЙ ПРИМЕР РАБОТЫ)
2,02,5
24,9
92
4,35
1,67
1,52,0
23,4
92
4,03
1,60
2,53,0
56,9
86
5,37
5,27
2,02,5
23,7
91
3,91
2,07

47.

(ОБЗОРНЫЙ ПРИМЕР РАБОТЫ)
Продолжение приложения 1
Органический
Сумма
Кол-во
показат.
проб
73
74
874,3
3130
34
Классы сапропеля
Органо-силикатный
Железистый
Сумма
Кол-во
Сумма
Кол-во
показат.
проб
показат.
проб
75
76
77
78
65,0
183
2
Силикатный
Сумма
Кол-во
показат.
проб
79
80
47
(ОБЗОРНЫЙ ПРИМЕР РАБОТЫ)
Средние по участку и послойные
значения
Сумма
Кол-во
Среднее
показат.
проб
81
82
83
939,3
26
3313
36
92,0

48.

(ОБЗОРНЫЙ ПРИМЕР РАБОТЫ)
163,92
51,59
775,8
3059
146,15
49,35
707,2
2996
136,35
51,10
609,2
2717
116,75
47,66
550,6
2437
99,48
46,06
430
2064
81,30
40,57
344,3
1496
59,46
33,85
298,9
1309
10,73
4,30
33
103,8
273
17,28
5,04
174,65
55,89
879,6
3332
163,43
54,39
3
707,2
2996
136,35
51,10
32
29
26
22
16
14
34,4
90
4,57
2,15
28,2
93
3,45
1,43
43,6
92
3,46
1,67
83,0
182
6,94
7,19
50,0
89
1
56,9
86
5,37
5,27
700,5
2893
126,69
55,08
1
578,8
2530
102,93
47,49
1
1
52,3
89
4,52
5,50
1
70,6
84
2,69
0,96
596,5
2329
91,97
48,70
427,3
1678
66,40
41,04
2
1
1
82,9
176
2
48
(ОБЗОРНЫЙ ПРИМЕР РАБОТЫ)
431,8
1574
4,9
1,6
36
32
31
27
25
18
17
24
92,6
4,5
1,5
22
93,6
4,3
1,6
23
93,3
4,1
1,8
21
93,7
3,8
1,8
24
93,2
3,7
1,9
24
93,2
3,7
2,3
25
92,6

49.

(ОБЗОРНЫЙ ПРИМЕР РАБОТЫ)
44,15
35,34
318,1
1110
41,69
34,73
179,8
552
20,58
21,32
80,0
276
9,61
9,49
3,02
4,63
10,25
10,81
62,1
180
7,14
10,50
12
87,0
175
7,53
11,16
6
35,6
90
4,02
6,53
3
48,3
87
3,35
5,09
Сумма
показателей:
Зольность
5168,2
Влага
21146
408,0
Оксид
кальция
919,44
Оксид
железа
421,06
2
2
1
66,8
79
4,81
5,90
67,4
78
5,58
5,51
1
1
1
459,3
1361
52,41
50,98
333,6
806
32,92
38,38
183,0
444
19,21
21,53
48,3
87
3,35
5,09
283,9
883
11
79,1
71
3,58
5,75
1
425,1
1002
227
57,42
50,78
42,18
16,66
26,41
54,86
18,12
49
(ОБЗОРНЫЙ ПРИМЕР РАБОТЫ)
9
5
1
23343
4
49,45
15
6285,2
312
10
3,4
3,0
252
31
90,7
3,5
3,4
37
89,6
3,7
4,3
37
88,8
3,8
4,3
48
87,0
3,4
5,1

50.

(ОБЗОРНЫЙ ПРИМЕР РАБОТЫ)
Средние
показатели:
Зольность
23
Влага
93,2
Оксид
кальция
4,1
Оксид
железа
1,9
42
43
71
25
91,1
88,3
78,0
92,6
4,5
4,2
4,2
4,1
2,4
5,5
4,5
2,1
ПРИЛОЖЕНИЕ 2
ВЕДЕОМОСТЬ
послойных и средних значений качественных показателей сапропеля. Показатели: зольность, влага, оксид кальция, оксид железа (%)
Участок 2 (Орг.-С.-Орг.)
ПО-26
Глубина
отбора, м
1
ПО-44(5)
Показатели
2
Глубина
отбора, м
3
Показатели
4
Классы сапропеля
органо-силикатный
органический
Сумма
Кол-во
Сумма
Кол-во
показ.
проб
показ.
проб
5
6
7
8
50
(ОБЗОРНЫЙ ПРИМЕР РАБОТЫ)
Средние по участку и послойные
значения
Сумма
Кол-во
Среднее
показ.
проб
9
10
11

51.

(ОБЗОРНЫЙ ПРИМЕР РАБОТЫ)
2,0-2,5
2,5-3,0
3,0-3,5
3,5-4,0
4,0-4,5
4,5-5,0
5,0-5,5
41,4
90
5,14
1,75
31,8
90
3,35
1,36
3,0-3,5
3,5-4,2
23,8
92
3,69
1,12
41,4
90
5,14
1,75
30,3
89
3,46
1,53
62,1
179
6,81
2,89
1
23,8
92
3,69
1,12
1
65,2
182
8,83
2,87
62,1
179
6,81
2,89
2
19,4
93
3,57
1,27
19,4
93
3,57
1,27
21,3
94
3,69
1,40
21,3
94
3,69
1,40
20,3
94
3,35
1,59
20,3
94
3,35
1,59
17,4
94
3,36
1,92
17,4
94
3,36
1,92
23,1
93
3,57
1,99
23,1
93
3,57
1,99
51
(ОБЗОРНЫЙ ПРИМЕР РАБОТЫ)
1
1
1
1
1
19,4
93
3,57
1,27
21,3
94
3,69
1,40
20,3
94
3,35
1,59
17,4
94
3,36
1,92
23,1
93
3,57
1,99
2
2
1
1
1
1
1
33
91,0
4,4
1,4
31
89,5
3,4
1,4
19
93,0
3,6
1,3
21
94,0
3,7
1,4
20
94,0
3,4
1,6
17
94,0
3,4
1,9
23
93,0
3,6
2,0

52.

(ОБЗОРНЫЙ ПРИМЕР РАБОТЫ)
5,5-6,0
6,0-6,5
Сумма
показателей:
Зольность
Влага
Оксид
кальция
Оксид
железа
Средние
показатели:
Зольность
Влага
Оксид
кальция
Оксид
железа
30,8
90
3,25
2,08
30,8
90
3,25
2,08
41,0
88
2,80
4,79
41,0
88
2,80
4,79
30,8
90
3,25
2,08
1
41,0
88
2,80
4,79
1
175,3
447
5
125,3
560
6
300,6
1007
1
1
31
90,0
3,3
2,1
41
88,0
2,8
4,8
11
18,00
21,23
39,23
11,51
9,29
20,80
35
89,4
21
93,3
27
91,5
3,6
3,5
3,6
2,3
1,5
1,9
ПРИЛОЖЕНИЕ 3
ВЕДЕОМОСТЬ
послойных и средних значений качественных показателей сапропеля. Показатели: зольность, влага, оксид кальция, оксид железа (%)
Участок 3 (Орг.-С.)
52
(ОБЗОРНЫЙ ПРИМЕР РАБОТЫ)

53.

(ОБЗОРНЫЙ ПРИМЕР РАБОТЫ)
По-16
Глуби
Показ
на
атели
отбор
а, м
1
2,02,5
2
49,7
88
3,69
2,07
По-17
Глуби
Показа
на
тели
отбор
а, м
3
2,02,5
4
40,3
89
4,25
1,88
2,53,0
38,3
92
4,36
2,47
2,53,0
36,5
90
4,68
2,06
3,03,6
54,9
85
3,01
1,43
3,03,5
34,5
92
3,36
2,15
По-44(6)
Глубин
Показа
а
тели
отбора,
м
5
2,5-3,0
3,0-3,5
3,5-3,9
6
42,5
88
3,58
1,36
38,4
90
4,81
1,84
37,8
91
3,02
1,43
По-19
Глубин
Показа
а
тели
отбора,
м
7
2,0-2,5
2,5-3,0
3,0-3,5
3,5-4,0
4,0-4,5
4,5-5,0
8
53,9
85
3,35
1,27
39,5
90
3,02
0,96
23,4
94
3,35
1,61
36,1
88
3,24
1,83
32,7
90
3,35
1,67
25,4
90
3,13
2,71
По-18
Глубин
Показа
а
тели
отбора,
м
9
10
43,3
88
3,03
1,12
2,0-2,5
23,9
93
3,25
1,44
2,5-3,0
3,0-3,5
3,5-4,0
4,0-4,5
По-25
Глубин
Показа
а
тели
отбора,
м
11
2,4-3,0
3,0-3,5
12
43,1
85
4,68
1,35
Классы сапропеля
органоорганически
силикатный
й
Сумм
Кол-во
Сумм
Кол
а
проб
а
-во
показ
показ
про
.
.
б
13
14
15
16
272,8
523
6
22,58
9,05
31,3
88
3,35
1,67
184,0
450
20,22
9,00
20,8
94
3,13
1,44
127,2
268
9,39
5,01
20,9
93
4,70
1,76
36,1
88
3,24
1,83
23,5
93
3,24
1,75
32,7
90
3,35
1,67
5
3
1
1
23,9
93
3,25
1,44
44,2
188
6,48
3,05
20,9
93
4,70
1,76
23,5
93
3,24
1,75
27,3
92
3,46
2,23
52,7
182
6,59
4,94
31,5
89
3,13
3,51
Сумма показателей:
Зольность
31,5
89
3,13
3,51
4,5-5,0
5,0-5,5
53
(ОБЗОРНЫЙ ПРИМЕР РАБОТЫ)
652,8
196,7
1
2
1
1
2
1
Средние по участку и
послойные значения
Сумма
показ.
17
272,8
523
22,58
9,05
207,9
543
23,47
10,44
171,4
456
15,87
8,06
57,0
181
7,94
3,59
56,2
183
6,59
3,42
52,7
182
6,59
4,94
31,5
89
3,13
3,51
849,5
Кол
-во
про
б
18
6
6
5
2
2
2
1
Средн
ее
19
45
87,2
3,8
1,5
35
90,5
3,9
1,7
34
91,2
3,2
1,6
29
90,5
4,0
1,8
28
91,5
3,3
1,7
26
91,0
3,3
2,5
32
89,0
3,1
3,5

54.

(ОБЗОРНЫЙ ПРИМЕР РАБОТЫ)
Влага
Оксид кальция
Оксид железа
1419
58,78
26,56
Средние показатели:
Зольность
Влага
Оксид кальция
Оксид железа
41
88,7
3,7
1,7
54
(ОБЗОРНЫЙ ПРИМЕР РАБОТЫ)
16
738
27,39
16,45
25
92,3
3,4
2,1
8
2157
86,17
43,01
24
35
89,9
3,6
1,8

55.

(ОБЗОРНЫЙ ПРИМЕР РАБОТЫ)
ПРИЛОЖЕНИЕ 4
ВЕДОМОСТЬ
вычисления средних глубин залежи сапропеля и воды
1. Средняя глубина сапропеля по месторождению сапропеля в границе
промышленной глубины залежи
№№ поперечников
Сумма глубин, м
3
4
5
6
7
8
9
10
11
12
13
14
15
16
17
18
1,0
20,2
37,6
56,2
66,9
78,4
90,4
97,2
81,1
73,1
55,4
31,9
21,9
16,1
15,7
7,9
751,0
Количество
зондировочных точек
1
8
14
18
22
23
24
24
23
20
17
12
10
8
8
4
236
Всего
Полусумма интерполяционных
точек и глубин
9,5
9,5
Итого:
760,5
245,5
Средняя глубина сапропеля в границе промышленной залежи 760,5:245,5=3,10 м
2. Средняя глубина сапропеля на участке 1 (Орг.)
№№ поперечников
Сумма глубин, м
3
4
5
6
7
8
9
10
11
12
13
14
15
16
17
18
1,0
20,2
37,6
56,2
58,1
66,9
72,5
71,4
58,0
50,7
41,7
29,7
21,9
16,1
15,7
7,9
625,6
Всего
Полусумма интерполяционных
55
(ОБЗОРНЫЙ ПРИМЕР РАБОТЫ)
Количество
зондировочных точек
1
8
14
18
16
16
17
16
14
13
11
10
10
8
8
4
184

56.

(ОБЗОРНЫЙ ПРИМЕР РАБОТЫ)
точек и глубин
7,5
Итого:
633,1
Средняя глубина сапропеля на участке 1 (Орг.) 655,1:191,5=3,31 м
7,5
191,5
3. Средняя глубина сапропеля на участке 2 (Орг.-С.-Орг.)
№№ поперечников
Сумма глубин, м
7
8
9
10
11
12
13
14
3,9
4,4
3,2
7,5
15,0
19,8
12,7
2,2
68,7
Количество
зондировочных точек
2
2
1
2
4
5
5
2
Всего
Полусумма интерполяционных
точек и глубин
Итого:
68,7
Средняя глубина сапропеля на участке 2 (Орг.-С.-Орг.) 68,7:23=2,99 м
23
4. Средняя глубина сапропеля на участке 3 (Орг.-С.)
№№ поперечников
Сумма глубин, м
7
8
9
10
11
12
13
4,9
7,1
14,7
18,3
8,1
2,6
1,0
56,7
Всего
Полусумма интерполяционных
точек и глубин
2,0
Итого:
58,7
Средняя глубина сапропеля на участке 3 (Орг.-С.) 58,7:31=1,89 м
Количество
зондировочных точек
4
5
6
6
5
2
1
29
2
31
5. Средняя глубина воды в озере
№№ поперечников
Сумма глубин, м
2
3
4
5
6
7
8
9
10
11
12
13
4,2
8,8
18,8
22,5
28,7
39,4
43,8
45,6
45,0
41,5
38,6
34,0
56
(ОБЗОРНЫЙ ПРИМЕР РАБОТЫ)
Количество
зондировочных точек
9
13
18
20
26
28
29
28
28
26
25
20

57.

(ОБЗОРНЫЙ ПРИМЕР РАБОТЫ)
14
15
16
17
18
32,3
23,4
18,8
12,6
3,8
461,8
18
14
12
9
5
328
Всего
Полусумма интерполяционных
точек и глубин
Итого:
461,8
Средняя глубина воды в озере равна 461,8:346=1,33 м
18
346
ПРИЛОЖЕНИЕ 5
ВЕДОМОСТЬ
вычисления объемов воды и залежи сапропеля
№№
пп
1.
Наименование участка
Площадь,
га
Средняя глубина, м
вода
сапропель
Объем, тыс.м3
вода
сапропель
В границе зеркала воды
В границе
168
1,33
2234
2.
промышленной глубины
сапропелевой залежи
116
3,10
3596
3.
Участок 1 (Орг.)
90
3,31
2979
4.
Участок 2 (Орг.-С.-Орг.)
12
2,99
359
5.
Участок 3 (Орг.-С.)
14
1,89
265
Итого по позициям 3-5
116
3603
Разница между вычисленным объемом сапропелевой залежи в границе
промышленной глубины сапропелевой залежи и суммарным объемом по каждому
технологическому участку составляет 7 тыс.м 3, т.е. 0,2 %. Так как невязка не
превышает 2 %, то за истинное значение принимаем сумму объемов, вычисленных по
каждому технологическому участку, т.е. 3603 тыс.м3.
ПРИЛОЖЕНИЕ 6
ВЕДОМОСТЬ
распределения объемов залежи (тыс.м3) сапропеля по классам пропорционально
количеству проб
Класс
сапропеля
Органосиликатный
Силикатный
Органический
Железистый
Участок 1
Орг.
Индекс участка
Участок 2
Орг.-С.-Орг.
Участок 3
Орг.-С.
К-во
проб
Объем,
тыс.м3
К-во
проб
Объем,
тыс.м3
К-во
проб
Объем,
тыс.м3
11
4
227
10
130
47
2684
118
5
6
-
163
196
-
16
8
-
177
88
-
Месторождение
сапропеля в границе
промышленной
глубины сапроп.
залежи
К-во Объем,
% от
проб тыс.м3
обего
объема
местор.
сапроп.
57
(ОБЗОРНЫЙ ПРИМЕР РАБОТЫ)
32
4
241
10
470
47
2968
118
13,0
1,3
82,4
3,3

58.

(ОБЗОРНЫЙ ПРИМЕР РАБОТЫ)
Всего
252
2979
11
359
24
265
58
(ОБЗОРНЫЙ ПРИМЕР РАБОТЫ)
287
3603
100

59.

(ОБЗОРНЫЙ ПРИМЕР РАБОТЫ)
ПРИЛОЖЕНИЕ 7
ТАБЛИЦА
запасов и качественной характеристики сапропеля
Индекс
участка
Наименование
запасов и классов
сапропеля
1
Участок 1
(Орг.)
2
Балансовые
Органический
Органо-силикатный
Железистый
Итого
Забалансовые
Силикатный
Общие
Всего
Балансовые
Органо-силикатный
Органический
Общие
Всего
Балансовые
Органический
Органо-силикатный
Железистый
Итого
Забалансовые
Силикатный
Общие
Всего
Балансовые
Органо-силикатный
Органический
Общие
Всего
Балансовые
Органический
Участок 2
(Орг.-С.Орг.)
Участок
1и 2 (Орг.
и Орг.-С.Орг.)
Участок 3
(Орг.-С.)
Месторож
дение
Индекс
класса
сапропеля
Площад
ь, га
Средняя
глубина, м
Объем
сапроп.
залежи,
тыс.м3
Выход
сапропеля,
т/м3 при 60%
усл. влаге
3
4
5
6
7
3,26
2684
130
118
2932
0,174
0,233
0,312
47
0,834
Запасы
сапропеля,
тыс.т. при
60% усл.
влаге
8
Средние качественные показатели, %
Зольность
Влага
Оксид
Оксид
кальция
железа
9
10
11
12
467
30
37
534
23
42
43
25
93,2
91,1
88,3
92,9
4,1
4,5
4,2
4,1
1,9
2,4
5,5
2,1
39
71
78,0
4,2
4,5
573
25
92,6
4,1
2,1
46
34
35
21
89,4
93,3
3,6
3,5
2,3,
1,5
359
80
27
91,5
3,6
1,9
Орг.
Орг.-С.
Жел.
2880
293
118
3291
501
76
37
614
23
38
43
25
93,2
90,2
88,9
92,8
4,1
4,0
4,2
4,1
1,9
2,3
5,5
2,0
С
47
39
71
78,0
4,2
4,5
3338
653
26
92,6
4,1
2,1
53
18
41
25
88,7
92,3
3,7
3,4
1,7
2,1
265
71
35
89,9
3,6
1,8
2968
519
23
93,2
4,0
1,9
Орг.
Орг.-С.
Желез.
90
С
90
3,31
Орг.-С.
Орг.
163
196
12
102
2,99
3,27
Орг.С.
Орг.
177
88
14
Орг.
2979
1,89
0,280
0,171
0,300
0,199
59
(ОБЗОРНЫЙ ПРИМЕР РАБОТЫ)

60.

(ОБЗОРНЫЙ ПРИМЕР РАБОТЫ)
сапропел
я
Органо-силикатный
Железистый
Итого
Забалансовые
Силикатный
Общие
Всего
Орг.-С.
Жел.
116
3,07
С
116
3,10
470
118
3556
129
37
685
39
43
26
89,6
88,3
92,5
3,9
4,2
4,0
2,1
5,5
2,0
47
39
71
78,0
4,2
4,5
3603
724
26
92,4
4,0
2,1
60
(ОБЗОРНЫЙ ПРИМЕР РАБОТЫ)

61.

(ОБЗОРНЫЙ ПРИМЕР РАБОТЫ)
ПРИЛОЖЕНИЕ 8
ВЕДОМОСТЬ
лабораторных анализов проб сапропеля
Глубин
а воды,
м
1
2,5
4,5 м
1,0
2,9 м
1,0
1,2 м
1,5
2,8 м
1,5
Глубина
взятия
пробы от
поверхн.
отложения

Микроскопический площадной анализ
Аморфны
й детрит,
%
Вид сапропеля
Биологические остатки, %
Минеральные
образования, %
Водоросли
диатомовы
е
синезелены
е
протококковы
е
золотис
.
Высшие
растени
я
Пыльц
аи
споры
Животны
е
4
5
6
7
8
9
10
2,0
15
2,5
10
3,0
25
3,5
20
4,0
10
4,5
25
5,0
20
5,5
10
6,0
10
Органическая залежь (Орг.-1)
5
20
20
15
20
20
15
15
20
10
30
25
20
25
35
30
35
40
15
5
5
5
5
5
5
5
5
5
10
5
5
5
10
5
10
10
10
5
5
5
5
5
5
5
5
5
1,5
10
2,0
10
2,6
5
3,0
10
3,5
10
3,9
5
Органическая залежь (Орг.-1)
10
-
10
10
10
10
5
5
50
40
50
50
60
55
-
5
5
15
10
5
5
1,5
15
2,2
20
Органическая залежь (Орг.-1)
ед.
5
5
20
15
-
2,0
15
2,5
25
3,0
20
3,5
10
4,0
5
4,3
10
Органическая залежь (Орг.-1)
ед.
5
5
5
5
ед.
ед.
5
30
35
40
50
60
50
5
10
35
2
2,0
3
5
пес
ок
гли
на
11
карб
онат
ы
12
5
5
5
5
5
5
ед.
5
10
15
20
15
10
10
10
10
35
-
5
5
5
5
5
5
5
5
5
5
5
5
15
15
10
10
10
20
30
30
5
5
5
5
-
20
5
15
5
10
5
5
5
5
5
5
5
5
10
5
Вл
ага
ест
.
%
кисл
относ
ть
(рН)
В % абс. сух.
вещества
Химический
состав золы
СаО
Fe2O
3
15
16
17
18
19
-
14
Пункт I поп. 4 пк 8
Смешанно-водорослевый
Смешанно-водорослевый
Смешанно-водорослевый
Смешанно-водорослевый
Смешанно-водорослевый
Смешанно-водорослевый
Смешанно-водорослевый
Смешанно-водорослевый
Органо-песчанистый
26,5
27,2
22,3
19,2
19,7
15,2
17,4
19,2
44,5
92
91
94
94
95
94
94
94
91
7,3
7,5
7,1
6,7
7,4
5,9
6,0
5,4
5,8
3,91
4,03
3,80
3,47
3,80
3,02
3,24
2,91
3,25
1,59
1,44
1,76
1,52
1,59
1,59
1,59
2,39
2,16
-
-
Пункт 2 поп. 4 пк II
Протококковый
Протококковый
Протококковый
Протококковый
Протококковый
Органо-песчанистый
20,9
20,1
18,3
16,6
18,5
32,7
92
91
93
94
93
93
7,8
7,3
6,7
6,3
6,8
6,3
3,47
3,81
3,80
3,24
3,25
3,25
1,52
1,28
1,24
1,40
1,76
1,44
15
20
5
-
-
Пункт 3 поп. 4 пк 14
Торфянистый
Торфянистый
24,7
29,3
92
92
7,7
7,4
5,04
4,35
1,92
1,43
5
5
5
5
5
5
20
15
10
15
15
15
5
10
-
-
Пункт 4 поп. 6 пк 11
Органо-песчанистый
Смешанно-водорослевый
Протококковый
Протококковый
Протококковый
Протококковый
32,1
25,1
15,2
25,4
23,7
21,7
92
95
95
95
92
95
7,3
7,8
5,6
7,7
5,8
7,0
4,13
5,37
3,24
7,25
2,79
3,80
1,27
1,52
1,83
1,59
2,23
1,83
5
20
-
-
Пункт 5 поп. 6 пк 14
Органо-песчанистый
31,6
92
7,6
4,24
1,51
61
(ОБЗОРНЫЙ ПРИМЕР РАБОТЫ)
13
Золь
ность
абс.
сух.
в-ва,
%

62.

(ОБЗОРНЫЙ ПРИМЕР РАБОТЫ)
4,4 м
1,0
5,9 м
1,0
2,2 м
1,0
2,2 м
0,8
1,2 м
1,0
2,6 м
1,4
3,2 м
1,5
2,5
10
3,0
5
3,5
10
4,0
15
4,5
15
5,0
10
5,5
10
5,9
10
Органическая залежь (Орг.-1)
5
5
10
10
10
10
10
15
10
15
15
15
25
15
20
40
20
30
30
30
25
30
5
5
5
5
5
5
5
5
10
10
5
5
5
5
-
5
5
5
5
5
ед.
5
5
5
10
5
5
5
5
5
20
15
20
15
10
20
20
20
10
15
-
-
Органо-известковистый
Протококковый
Органо-известковый
Смешанно-водорослевый
Смешанно-водорослевый
Смешанно-водорослевый
Смешанно-водорослевый
Смешанно-водорослевый
30,4
20,9
32,3
20,6
17,1
26,3
27,6
29,9
93
94
94
95
95
93
92
91
7,8
7,6
7,8
6,5
5,6
7,0
6,1
7,0
8,37
3,69
9,95
4,59
3,02
3,25
2,79
3,24
1,59
1,67
1,75
1,76
1,67
1,60
2,47
2,87
1,5
20
2,0
15
2,5
15
3,0
10
3,5
10
4,0
15
4,5
5
5,0
10
5,5
10
6,0
10
6,5
10
6,9
10
Органическая залежь (Орг.-1)
5
5
ед.
-
5
10
15
20
20
5
5
5
10
5
10
10
15
30
15
30
30
50
60
55
45
50
40
30
-
10
5
10
10
10
5
5
5
5
5
5
5
5
5
5
5
5
5
5
5
5
5
5
5
10
5
5
5
5
5
5
5
10
5
10
5
5
5
10
10
10
5
5
5
5
5
15
10
5
10
5
-
20
20
15
10
5
5
10
10
10
15
15
20
Пункт 6 поп 6 пк 17
Органо-глинистый
Смешанно-водорослевый
Смешанно-водорослевый
Смешанно-водорослевый
Смешанно-водорослевый
Протококковый
Протококковый
Протококковый
Протококковый
Протококковый
Протококковый
Органо-железистый
33,8
26,0
27,1
23,4
23,7
21,4
20,6
17,6
19,8
23,0
26,5
48,3
92
94
93
92
94
93
95
94
94
93
92
87
7,6
7,6
7,8
7,0
7,9
6,2
7,7
6,1
6,7
5,1
6,5
6,8
6,36
4,49
6,36
3,80
5,49
3,69
4,92
3,35
3,91
3,24
3,68
3,35
1,67
1,60
1,56
1,59
1,60
1,91
1,76
2,15
1,76
2,55
2,23
5,09
1,5
5
2,0
10
2,5
10
3,2
10
Органическая залежь (Орг.-1)
-
20
20
25
20
30
30
25
30
5
5
5
5
5
5
5
5
5
5
5
5
5
5
10
5
5
5
5
5
5
5
5
15
10
10
10
Пункт 7 поп. 6 пк 20
Органо-глинистый
Смешанно-водорослевый
Смешанно-водорослевый
Смешанно-водорослевый
32,7
27,2
21,7
27,0
89
92
94
94
7,5
7,4
7,3
7,6
4,70
4,04
3,80
4,02
1,52
1,52
1,75
1,67
1,5
25
2,0
10
2,5
10
3,0
10
Органическая залежь (Орг.-1)
5
5
5
5
10
10
10
10
25
40
30
30
-
5
5
10
10
5
5
5
5
5
5
5
10
20
20
25
20
-
-
Пункт 8 поп. 6 пк 23
Смешанно-водорослевый
Протококковый
Органо-песчанистый
Смешанно-водорослевый
23,1
23,8
32,4
23,8
90
92
91
93
7,6
7,5
7,0
6,3
3,81
4,63
3,35
3,02
1,12
1,12
1,12
1,35
1,3
5
2,0
5
Органическая залежь (Орг.-1)
5
5
5
40
40
-
15
-
5
5
10
10
10
20
10
10
-
Пункт 9 поп. 6 пк 26
Протококковый
Органо-песчанистый
23,9
37,9
92
89
7,8
7,3
6,02
4,44
1,51
1,30
1,5
10
2,0
20
2,5
10
3,0
10
3,6
20
Органическая залежь (Орг.-1)
15
15
5
-
10
15
5
10
10
10
10
40
50
15
5
ед.
25
10
10
5
10
5
5
5
5
5
5
5
5
5
5
20
20
15
15
35
-
-
Пункт 10 поп. 8 пк 5
Смешанно-водорослевый
Смешанно-водорослевый
Протококковый
Протококковый
Органо-песчанистый
26,1
24,6
18,8
17,0
40,7
92
93
93
93
91
7,4
7,6
6,8
6,0
6,3
4,81
4,02
3,47
3,13
3,13
1,44
1,43
1,44
1,76
1,44
2,0
20
2,5
10
3,0
5
3,5
10
4,0
15
4,6
15
Органическая залежь (Орг.-1)
5
5
5
ед.
ед.
ед.
5
10
5
5
5
5
30
40
50
60
60
30
-
5
5
ед.
20
5
5
5
5
5
5
5
5
5
5
5
5
10
10
10
10
10
20
10
10
10
-
5
5
5
-
Пункт 11 поп. 8 пк 8
Органо-известковистый
Протококковый
Протококковый
Протококковый
Протококковый
Смешанно-водорослевый
27,3
28,5
25,2
17,2
21,3
24,5
94
92
95
95
94
93
8,0
7,8
7,6
7,5
7,6
5,5
8,74
6,15
7,03
4,48
4,47
3,03
1,68
1,59
1,75
1,68
1,76
2,16
5
5
-
5
5
15
35
40
30
5
5
15
5
5
5
5
5
10
10
10
15
20
20
-
-
Пункт 12 поп. 8 пк 11
Протококковый
Протококковый
Протококковый
19,3
23,4
24,2
92
92
93
7,3
7,3
7,4
4,03
4,13
4,01
1,44
1,35
1,59
2,0
2,5
3,0
5
10
10
62
(ОБЗОРНЫЙ ПРИМЕР РАБОТЫ)

63.

(ОБЗОРНЫЙ ПРИМЕР РАБОТЫ)
5,0 м
2,0
5,3 м
2,0
4,9 м
2,0
3,0 м
2,0
1,6 м
2,0
1,5 м
2,0
3,5
5
4,0
5
4,5
10
5,0
5
5,5
10
6,0
10
6,5
5
Органическая залежь (Орг.-1)
-
5
5
5
5
ед.
5
5
50
30
30
50
50
50
35
5
-
10
30
20
10
5
5
5
5
5
5
5
5
5
5
10
10
10
10
10
10
5
10
15
10
15
20
15
40
10
-
-
Протококковый
Смешанно-водорослевый
Смешанно-водорослевый
Протококковый
Протококковый
Протококковый
Органо-песчанистый
15,6
20,1
21,4
21,1
24,5
24,4
50,4
94
95
93
94
92
92
86
6,4
7,2
7,3
7,2
7,2
7,1
6,1
4,01
4,60
6,03
3,47
3,13
4,01
3,58
2,31
1,36
1,59
1,91
2,31
2,86
4,39
2,5
15
3,0
10
3,5
5
4,0
5
4,5
5
5,0
10
5,5
5
6,0
5
6,5
10
7,0
10
7,3
5
Органическая залежь (Орг.-1)
ед.
-
10
10
5
5
5
10
5
10
5
5
5
25
40
50
50
60
50
60
45
40
40
30
5
-
15
10
10
10
5
10
5
10
10
5
15
5
5
5
5
5
5
5
5
5
5
5
10
10
10
10
10
5
5
10
10
10
10
20
15
15
15
10
10
15
15
20
20
30
-
-
Пункт 13 поп. 8 пк 14
Смешанно-водорослевый
Протококковый
Протококковый
Протококковый
Протококковый
Протококковый
Протококковый
Протококковый
Протококковый
Протококковый
Органо-железистый
27,4
20,8
19,8
19,2
15,9
15,2
22,2
20,4
25,2
27,5
35,6
92
93
95
95
94
95
94
94
93
92
90
7,3
6,3
6,7
7,2
6,4
5,7
7,2
5,7
6,5
6,8
6,9
3,80
3,13
3,81
3,47
3,25
3,25
4,13
3,02
4,03
3,24
4,02
1,60
1,60
1,60
1,68
1,68
1,68
1,75
2,15
2,71
3,98
6,53
2,5
5
3,0
5
3,5
5
4,0
5
4,5
10
5,0
20
5,5
10
6,0
10
6,5
10
6,9
10
Органическая залежь (Орг.-1)
5
5
5
5
5
5
5
5
5
ед.
5
5
10
10
5
5
5
5
5
5
40
50
40
35
50
30
50
45
40
30
-
5
5
10
10
5
15
5
5
5
5
5
5
5
5
5
10
5
10
10
10
5
5
5
5
5
5
5
25
20
20
30
15
15
15
20
20
40
-
-
Пункт 14 поп. 8 пк 17
Органо-песчанистый
Протококковый
Протококковый
Органо-песчанистый
Протококковый
Смешанно-водорослевый
Протококковый
Протококковый
Протококковый
Органо-железистый
31,4
24,7
28,4
34,8
18,4
16,2
20,5
25,4
23,3
48,6
92
92
91
90
94
93
92
94
93
86
7,5
7,3
7,2
6,5
7,0
5,8
6,5
5,4
5,9
7,3
5,15
4,13
4,14
3,91
4,25
3,36
3,46
3,13
3,35
3,91
1,68
1,51
1,68
1,91
1,60
1,84
2,23
2,71
2,79
5,58
2,5
10
3,0
15
3,5
15
4,0
20
4,5
10
5,0
10
Органическая залежь (Орг.-1)
5
ед.
-
10
15
25
10
5
30
35
20
40
30
40
ед.
-
5
10
5
10
10
10
5
5
5
5
5
5
5
5
5
10
10
30
15
20
20
30
20
5
-
-
Пункт 15 поп. 8 пк 20
Органо-песчанистый
Смешанно-водорослевый
Смешанно-водорослевый
Протококковый
Органо-песчанистый
Протококковый
37,6
19,2
26,2
24,0
40,8
24,0
92
94
93
92
88
93
7,9
7,5
7,9
6,8
5,9
7,4
4,81
4,02
5,35
3,24
2,80
3,69
1,76
1,75
2,07
1,67
1,76
1,91
2,5
10
5
3,0
5
ед.
3,6
10
Органо-силикатная залежь (Орг.-С.-1)
5
20
10
15
25
20
5
5
5
10
5
5
5
5
-
5
5
5
40
30
30
-
15
Пункт 16 поп. 8 пк 23
Органно-песчанистый
Органно-песчанистый
Органно-песчанистый
49,7
38,3
54,9
88
92
85
7,1
7,7
6,4
3,69
4,36
3,01
2,07
2,47
1,43
2,5
10
3,0
10
3,5
10
Органо-силикатная залежь (Орг.-С.-1)
5
10
10
30
40
40
-
10
5
5
5
5
5
10
5
20
20
20
-
5
5
5
Пункт 17 поп. 8 пк 26
Органно-песчанистый
Органно-песчанистый
Органно-песчанистый
40,3
36,5
34,5
89
90
90
7,4
7,8
6,4
4,25
4,68
3,36
1,88
2,06
2,15
20
5
5
5
5
5
20
45
40
60
60
60
5
-
10
10
20
5
5
5
5
5
5
5
5
5
5
5
10
5
5
5
25
10
10
10
10
10
-
10
5
5
5
5
Пункт 18 поп. 10 пк 7
Органо-песчанистый
Протококковый
Протококковый
Протококковый
Протококковый
Протококковый
43,3
23,9
20,8
20,9
23,5
27,3
88
93
94
93
93
92
7,6
7,4
7,4
7,6
7,1
6,3
3,03
3,25
3,13
4,70
3,24
3,46
1,12
1,44
1,44
1,76
1,75
2,23
2,5
3,0
3,5
4,0
4,5
5,0
5
10
5
10
5
5
ед.
63
(ОБЗОРНЫЙ ПРИМЕР РАБОТЫ)

64.

(ОБЗОРНЫЙ ПРИМЕР РАБОТЫ)
3,5 м
2,0
3,0 м
2,0
4,5 м
2,0
4,4 м
2,0
5,1 м
0,6
5,5 м
5,5
5
Органическая залежь (Орг.-1)
-
5
50
-
5
5
10
15
-
5
Органо-песчанистый
31,5
89
6,0
3,13
3,51
2,5
5
3,0
10
3,5
10
4,0
10
5
4,5
10
5,0
10
Органо-силикатная залежь (Орг.-С.-1)
5
5
5
5
5
5
30
45
45
35
50
50
5
5
-
5
5
5
5
5
5
5
ед.
5
5
5
5
5
ед.
5
5
5
5
30
25
20
25
15
15
-
15
5
5
5
5
Пункт 19 поп. 10 пк 10
Органо-песчанистый
Органо-песчанистый
Протококковый
Органо-песчанистый
Органо-песчанистый
Протококковый
53,9
39,5
23,4
36,1
32,7
25,4
85
90
94
88
90
90
7,2
6,9
6,7
7,0
7,0
6,1
3,35
3,02
3,35
3,24
3,35
3,13
1,27
0,96
1,61
1,83
1,67
2,71
2,5
15
3,0
15
3,5
15
4,0
20
4,5
15
5,0
10
5,5
10
6,0
10
6,5
10
Органическая залежь (Орг.-1)
ед.
-
15
10
5
5
5
5
5
15
25
40
40
45
50
50
50
55
25
5
-
15
10
10
10
10
15
15
5
10
5
5
5
5
5
5
5
5
5
5
5
5
5
5
5
5
5
5
15
10
10
10
10
10
10
10
25
-
5
5
5
5
5
5
Пункт 20 поп. 10 пк 14
Смешанно-водорослевый
Протококковый
Протококковый
Протококковый
Протококковый
Протококковый
Протококковый
Протококковый
Органо-песчанистый
25,1
23,8
22,0
18,8
19,5
17,1
25,4
22,2
40,3
93
91
94
93
94
94
94
93
89
7,8
7,4
7,4
6,4
7,1
6,2
7,4
5,5
6,7
4,81
3,69
3,47
3,13
3,57
2,90
3,81
3,24
3,58
1,52
1,60
1,52
1,43
1,43
1,51
2,08
2,87
4,62
2,5
20
3,0
25
3,5
20
4,0
20
4,5
20
5,0
20
5,5
5
6,0
5
6,4
5
Органическая залежь (Орг.-1)
10
-
5
5
5
5
5
5
5
ед.
5
15
25
25
25
35
45
60
60
50
5
5
5
5
ед.
-
20
10
20
20
15
10
5
10
5
5
5
5
5
5
5
5
5
10
10
10
10
10
10
5
5
10
10
15
10
10
10
10
15
15
15
-
5
Пункт 21 поп. 10 пк 18
Смешанно-водорослевый
Смешанно-водорослевый
Смешанно-водорослевый
Смешанно-водорослевый
Протококковый
Протококковый
Протококковый
Протококковый
Органо-железистый
19,6
25,2
18,9
18,7
16,4
18,5
23,1
24,0
27,2
94
94
94
94
95
94
94
93
90
7,5
7,6
7,5
7,2
6,4
7,0
7,2
6,7
5,9
4,59
5,93
4,25
4,12
3,36
4,02
4,13
3,46
3,11
1,28
1,60
1,43
1,75
1,60
2,07
2,15
3,43
5,39
2,5
10
3,0
20
3,5
15
4,0
10
4,5
15
5,0
10
5,5
10
6,0
5
6,5
15
7,1
5
Органическая залежь (Орг.-1)
ед.
ед.
5
10
15
10
5
5
10
5
5
20
50
40
35
50
50
60
40
60
50
30
-
10
10
10
10
10
5
10
5
5
-
5
5
5
5
5
5
5
5
5
10
10
5
5
5
5
5
10
5
5
10
15
10
15
10
10
10
15
15
15
15
-
5
Пункт 22 поп. 10 пк 22
Протококковый
Протококковый
Протококковый
Протококковый
Протококковый
Протококковый
Протококковый
Протококковый
Протококковый
Органо-железистый
22,5
16,2
20,1
16,9
18,5
16,8
21,8
22,3
23,3
38,4
95
94
95
94
95
94
94
94
93
89
7,8
7,1
7,7
6,4
7,4
7,9
6,9
6,3
6,1
7,2
5,37
3,46
4,03
3,13
4,26
3,49
3,24
3,46
3,24
3,62
1,28
1,19
1,52
1,59
1,52
1,67
2,07
2,47
3,27
5,58
1,0
5
1,5
15
2,0
15
2,5
15
3,0
10
3,5
15
4,0
10
4,5
10
5,0
10
5,5
15
6,1
20
Органическая залежь (Орг.-1)
5
5
-
5
10
15
10
10
10
5
5
5
5
30
40
30
40
45
40
40
50
50
50
35
ед.
ед.
5
5
-
30
15
10
5
15
15
10
15
10
5
10
5
5
5
5
5
5
5
5
5
5
5
5
10
10
5
5
10
10
10
5
10
5
20
15
15
10
10
5
10
5
10
10
20
-
-
Пункт 23 поп. 10 пк 25
Смешанно-водорослевый
Протококковый
Смешанно-водорослевый
Протококковый
Протококковый
Протококковый
Протококковый
Протококковый
Протококковый
Протококковый
Протококковый
29,6
27,6
28,1
17,5
20,8
14,0
18,8
14,5
19,2
19,4
29,5
91
91
91
92
94
95
94
94
95
95
92
7,5
7,7
7,7
6,9
7,4
6,3
7,2
6,0
6,3
5,5
5,8
7,05
5,37
6,16
3,12
4,70
3,36
4,25
3,25
3,57
2,91
2,80
1,52
1,68
1,28
1,11
1,44
1,44
1,67
1,59
1,91
2,71
2,88
Пункт 24 поп. 10 пк 28
64
(ОБЗОРНЫЙ ПРИМЕР РАБОТЫ)

65.

(ОБЗОРНЫЙ ПРИМЕР РАБОТЫ)
1,0
3,3 м
2,4
1,1 м
2,0
4,5 м
2,0
4,3 м
1,5
5,5 м
1,2
2,9 м
0,5
1,5
10
10
2,0
5
5
2,5
10
10
3,0
5
15
3,5
5
5
4,0
10
5
4,3
10
5
Органическая - Органо-силикатная залежь (Орг.-Орг.-С.-2)
40
60
50
25
40
30
20
5
5
5
5
10
5
5
10
10
5
10
5
5
5
5
5
5
5
5
10
10
10
10
5
5
5
5
5
15
15
25
30
-
15
5
5
10
5
10
10
Протококковый
Протококковый
Протококковый
Органо-песчанистый
Протококковый
Органо-песчанистый
Органо-песчанистый
26,8
21,4
21,3
34,4
28,2
43,6
52,7
92
95
94
90
93
92
88
7,0
7,2
6,5
7,3
7,3
6,6
6,8
4,03
4,24
3,45
4,57
3,45
3,46
2,91
1,76
1,53
1,51
2,15
1,43
1,67
2,72
3,0
10
3,5
5
Органическая залежь
30
50
-
5
5
5
5
10
10
30
15
-
5
5
Пункт 25 поп. 12 пк 6
Органо-песчанистый
Органо-песчанистый
43,1
31,3
85
88
7,3
6,3
4,68
3,35
1,35
1,67
2,5
10
5
3,0
10
5
10
3,5
15
5
4,0
10
5
4,5
5
5,0
5
5
5,5
5
5
6,0
10
5
6,5
5
5
Органическая - Органо-силикатная залежь (Орг.-Орг.-С.-2)
35
30
50
60
60
60
60
50
40
5
ед.
ед.
-
10
10
10
5
5
5
5
5
5
5
5
5
5
5
5
5
5
5
5
5
5
5
10
10
5
5
10
25
20
10
10
10
10
15
20
25
-
5
5
5
Пункт 26 поп. 12 пк 10
Органо-песчанистый
Органо-песчанистый
Протококковый
Протококковый
Протококковый
Протококковый
Протококковый
Органо-песчанистый
Органо-песчанистый
41,4
31,8
19,4
21,3
20,3
17,4
23,1
30,8
41,0
90
90
93
94
94
94
93
90
88
7,7
6,8
6,6
6,7
6,1
5,8
6,6
6,2
5,9
5,14
3,35
3,57
3,69
3,35
3,36
3,57
3,25
2,80
1,75
1,36
1,27
1,40
1,59
1,92
1,99
2,08
4,79
2,5
20
3,0
15
3,5
20
4,0
10
4,5
10
5,0
10
5,5
10
6,0
10
6,3
10
Органическая залежь (Орг.-1)
5
10
-
5
20
5
5
5
5
5
5
5
30
30
55
50
65
50
60
30
40
ед.
5
-
20
5
5
5
10
5
30
10
5
5
5
5
5
5
ед.
5
5
5
5
5
10
5
10
5
5
10
10
10
10
10
5
10
15
15
20
-
-
Пункт 27 поп. 12 пк 14
Смешанно-водорослевый
Смешанно-водорослевый
Протококковый
Протококковый
Протококковый
Протококковый
Протококковый
Смешанно-водорослевый
Органо-железистый
19,9
17,3
17,5
22,6
14,0
18,8
22,9
23,9
34,9
92
93
94
94
94
94
93
92
90
6,9
6,8
6,3
6,1
5,8
5,3
6,2
5,9
7,0
4,02
3,69
3,23
4,36
3,57
3,45
3,57
3,25
4,03
1,43
1,20
1,43
1,59
1,67
2,70
2,71
3,75
5,11
2,0
10
2,5
20
3,0
10
3,5
20
4,0
10
4,5
10
5,0
10
5,5
10
6,0
10
6,5
10
7,0
10
Органическая залежь (Орг.-1)
ед.
ед.
-
10
5
5
5
5
5
5
5
5
5
5
40
40
45
40
40
50
55
55
60
50
50
5
-
10
10
10
10
15
10
5
5
ед.
15
5
5
5
5
5
5
5
5
5
5
5
5
5
10
10
10
10
10
10
10
10
5
10
20
10
10
10
15
10
10
10
10
10
15
-
-
Пункт 28 поп. 12 пк 18
Протококковый
Протококковый
Протококковый
Протококковый
Протококковый
Протококковый
Протококковый
Протококковый
Протококковый
Протококковый
Протококковый
27,5
21,9
17,8
19,6
22,1
17,9
16,5
17,5
18,3
20,6
24,0
92
93
94
94
93
94
94
94
94
95
92
7,3
7,7
7,5
7,6
7,6
7,6
7,3
5,7
6,0
5,1
5,4
3,91
4,47
4,18
4,48
5,14
4,69
4,13
3,12
3,47
3,47
3,13
1,43
1,59
1,12
1,44
1,44
1,83
1,59
2,42
2,11
3,54
4,38
1,5
15
2,0
15
2,5
10
3,0
10
3,5
10
4,1
5
Органическая залежь (Орг.-1)
-
5
5
5
5
5
5
30
45
45
35
60
55
5
-
15
10
5
20
5
5
5
5
5
5
5
5
10
10
10
10
5
10
20
10
15
15
10
15
-
-
Пункт 29 поп. 12 пк 22
Смешанно-водорослевый
Протококковый
Протококковый
Протококковый
Протококковый
Протококковый
29,6
21,6
25,9
24,2
17,2
24,1
88
94
93
93
95
94
7,7
7,7
7,8
7,1
6,9
7,3
7,27
6,24
6,94
4,24
4,25
4,36
1,60
1,72
1,88
1,59
1,60
2,31
ед.
ед.
10
5
20
30
-
20
20
5
5
5
5
20
20
-
-
Пункт 30 поп. 12 пк 25
Смешанно-водорослевый
Смешанно-водорослевый
29,9
28,9
90
89
7,5
7,7
6,04
4,14
1,60
1,44
1,0
1,5
20
15
-
5
5
65
(ОБЗОРНЫЙ ПРИМЕР РАБОТЫ)

66.

(ОБЗОРНЫЙ ПРИМЕР РАБОТЫ)
1,0 м
Органическая залежь (Орг.-1)
1,6
2,0
20
2,5
20
3,0
20
3,5
20
4,0
10
4,5
5
Органическая залежь (Орг.-1)
5
ед.
5
5
5
5
5
5
5
5
5
5
30
30
35
40
45
40
-
20
25
15
10
10
-
5
5
5
5
-
-
10
10
15
10
15
30
-
10
Пункт 31 поп. 14 пк 5
Смешанно-водорослевый
Смешанно-водорослевый
Протококковый
Протококковый
Протококковый
Органо-железистый
18,8
19,8
24,5
17,4
25,0
52,3
94
95
94
95
94
89
7,6
7,3
7,4
7,0
5,8
7,1
4,35
4,36
5,59
3,91
3,70
4,52
1,27
1,60
1,75
1,75
3,12
5,50
2,0
20
2,5
25
3,0
10
3,5
10
4,0
5
4,5
5
5,0
15
5,5
10
Органическая залежь (Орг.-1)
5
5
-
5
5
5
5
10
10
5
-
40
35
60
60
60
60
40
40
ед.
-
10
5
5
5
5
5
15
10
5
5
5
5
5
5
5
5
5
5
5
5
5
5
5
5
10
15
10
10
10
10
15
30
-
-
Пункт 32 поп. 14 пк 8
Органо-песчанистый
Протококковый
Протококковый
Протококковый
Протококковый
Протококковый
Протококковый
Органо-железистый
31,3
23,5
18,4
16,9
15,7
15,9
23,7
40,2
91
91
94
94
93
94
92
88
7,6
7,4
7,2
6,2
6,7
5,6
6,6
6,1
5,15
3,91
3,91
3,13
3,69
3,14
3,80
3,46
1,31
1,43
1,44
1,75
1,59
1,92
3,16
5,57
2,5
10
3,0
10
3,5
10
4,0
10
4,5
10
Органическая залежь (Орг.-1)
-
5
10
5
5
5
60
50
55
50
50
-
5
10
5
10
10
5
5
5
5
5
5
5
5
5
5
10
10
15
15
15
-
-
Пункт 33 поп. 14 пк 12
Протококковый
Протококковый
Протококковый
Протококковый
Протококковый
18,6
19,7
22,8
22,3
24,2
93
94
93
93
92
7,4
7,5
7,7
7,5
6,8
3,02
3,80
5,26
3,80
3,47
1,20
1,76
1,44
2,07
3,03
2,8
10
3,3
15
Органическая залежь (Орг.-1)
-
5
40
40
5
15
5
5
5
10
10
20
15
-
-
Пункт 34 поп. 14 пк 15
Протококковый
Протококковый
28,1
24,1
90
90
7,4
6,6
4,58
3,46
1,83
2,07
2,5
10
3,0
5
3,5
5
4,0
10
4,5
5
5,0
10
5,5
5
5,8
10
Органическая залежь (Орг.-1)
-
5
5
5
5
5
5
5
5
45
60
60
50
60
50
60
30
5
-
15
5
5
5
10
5
15
5
5
5
5
5
5
5
5
10
10
10
10
5
5
5
5
10
10
10
15
15
15
15
20
-
10
Пункт 35 поп. 16 пк 6
Протококковый
Протококковый
Протококковый
Протококковый
Протококковый
Протококковый
Протококковый
Органо-железистый
17,7
18,6
20,2
22,4
23,8
22,7
26,0
42,7
92
94
94
95
93
92
93
88
5,8
6,5
5,8
7,2
6,6
5,5
5,4
7,3
3,47
3,69
3,92
4,23
3,92
3,69
3,68
6,79
1,12
1,44
1,44
1,59
2,39
2,87
3,34
5,24
2,5
5
3,0
10
3,5
10
Органическая залежь (Орг.-1)
-
10
5
5
50
45
50
-
10
10
5
5
5
5
10
10
10
10
15
15
-
-
Пункт 36 поп. 16 пк 9
Протококковый
Протококковый
Протококковый
21,2
21,7
28,7
93
93
93
7,5
5,8
6,7
4,47
3,36
4,03
2,23
2,23
3,83
1,3
20
5
1,8
10
5
Органо-силикатная залежь (Орг.-С.-1)
5
5
15
40
-
20
5
5
5
10
5
20
25
-
-
Пункт 37 поп. 16 пк 12
Органо-песчанистый
Органо-песчанистый
33,4
35,5
91
91
7,7
7,2
6,49
4,47
2,79
2,15
1,5
15
2,0
10
2,5
10
3,0
10
Органическая залежь (Орг.-1)
-
5
10
5
40
40
30
10
-
25
15
25
30
5
5
5
ед.
5
10
5
5
10
15
15
40
-
-
Пункт 38 поп. 18 пк 3
Протококковый
Протококковый
Смешанно-водорослевый
Органо-железистый
20,8
23,3
24,9
56,9
93
93
92
86
7,8
7,8
7,6
7,2
5,26
6,81
4,35
5,37
1,92
1,75
1,67
5,27
ед.
5
ед.
10
30
40
-
30
10
5
5
10
10
15
10
-
-
Пункт 39 поп. 18 пк 6
Смешанно-водорослевый
Протококковый
23,8
18,4
91
90
7,6
6,6
4,12
3,56
1,51
1,35
2,9 м
1,5
4,0 м
2,0
2,5 м
2,3
1,0 м
1,9
3,9 м
2,0
1,5 м
0,8
1,0 м
0,8
2,2 м
0,5
1,0
1,5
10
10
66
(ОБЗОРНЫЙ ПРИМЕР РАБОТЫ)

67.

(ОБЗОРНЫЙ ПРИМЕР РАБОТЫ)
2,0 м
2,5
5,0 м
2,0
5,5 м
1,5
3,1 м
1,6
3,9 м
3,0
1,2 м
2,5
1,4 м
2,0
10
2,5
10
Органическая залежь (Орг.-1)
5
-
5
10
45
40
-
10
10
5
5
5
10
15
15
-
-
Протококковый
Протококковый
23,4
23,7
92
91
7,0
6,2
4,03
3,91
1,60
2,07
3,0
10
3,5
15
4,0
15
4,5
15
5,0
20
5,5
20
6,0
20
6,5
15
7,0
15
7,5
10
Органическая залежь (Орг.-1)
5
15
20
5
5
5
5
5
5
-
5
10
5
5
5
5
5
5
5
5
5
15
10
30
30
35
30
30
35
10
5
10
10
5
5
5
5
5
5
40
25
30
30
30
20
25
15
10
-
5
5
5
5
5
5
5
5
5
5
5
5
5
5
5
5
5
5
5
20
15
20
60
-
-
Пункт 40 поп. 2 пк 17 (1)
Торфянистый
Смешанно-водорослевый
Смешанно-водорослевый
Смешанно-водорослевый
Смешанно-водорослевый
Смешанно-водорослевый
Смешанно-водорослевый
Смешанно-водорослевый
Смешанно-водорослевый
Песчанистый
26,2
16,9
15,8
19,5
15,7
13,7
19,9
20,7
27,1
66,8
92
95
95
95
94
95
92
94
91
79
7,0
7,0
6,9
7,0
6,6
6,6
6,7
6,7
6,5
7,0
3,58
3,58
3,13
3,36
2,58
4,90
3,02
3,02
2,46
4,81
1,75
1,12
1,12
1,59
1,75
1,43
2,16
2,55
4,47
5,90
2,5
15
3,0
15
3,5
20
4,0
20
4,5
15
5,0
20
5,5
20
6,0
20
6,5
10
7,0
20
7,5
10
Органическая залежь (Орг.-1)
10
5
5
5
5
5
5
5
5
-
10
5
10
5
5
5
5
5
5
5
5
15
10
25
25
25
25
25
25
25
25
10
5
5
10
5
10
5
5
5
5
5
-
45
45
20
30
30
30
30
30
25
5
5
5
5
5
5
5
5
5
5
5
5
5
5
5
5
5
5
5
5
5
5
5
15
30
60
-
-
Пункт 41 поп. 2 пк 22 (2)
Торфянистый
Торфянистый
Смешанно-водорослевый
Смешанно-водорослевый
Смешанно-водорослевый
Смешанно-водорослевый
Смешанно-водорослевый
Смешанно-водорослевый
Смешанно-водорослевый
Водорослево-песчанистый
Песчанистый
22,3
22,5
15,4
16,2
14,3
13,2
18,1
19,1
22,8
38,9
67,4
93
94
96
96
96
94
94
95
94
91
78
7,2
7,3
7,0
7,0
6,8
6,9
7,0
6,9
7,0
7,4
7,5
3,35
3,46
3,13
3,02
3,13
3,02
3,36
3,02
3,58
4,14
5,58
1,28
1,43
1,43
1,44
1,51
1,36
2,08
2,08
3,20
4,15
5,51
2,0
15
2,5
10
3,0
10
3,5
20
4,0
20
4,6
5
Органическая залежь (Орг.-1)
5
10
5
5
5
15
20
5
5
10
5
25
20
25
25
20
20
10
5
5
5
30
15
10
20
25
-
5
5
5
5
5
5
5
5
5
5
10
20
20
10
10
50
-
-
Пункт 42 поп. 1 пк 7 (3)
Смешанно-водорослевый
Смешанно-водорослевый
Смешанно-водорослевый
Смешанно-водорослевый
Смешанно-водорослевый
Песчанистый
28,5
27,2
23,2
18,1
17,8
70,6
94
94
95
94
95
84
7,4
7,6
7,3
7,2
7,2
7,0
5,70
5,04
3,91
4,13
3,13
2,69
1,59
1,43
1,20
4,51
1,68
0,96
2,1
10
10
5
2,5
10
15
10
3,0
10
15
10
3,5
20
10
10
4,0
15
5
5
4,5
20
10
5
5,0
15
5
5
5,4
10
5
5
5,5
10
Органическая - Органо-силикатная залежь (Орг.-Орг.-С.-2)
10
10
25
25
25
25
20
15
-
5
5
5
5
5
5
-
40
10
25
20
20
5
25
5
10
5
5
5
5
5
5
5
5
10
5
5
5
5
5
5
5
10
35
15
20
25
45
60
-
15
Пункт 43 поп. 3 пк 7 (4)
Торфянистый
Водорослево-песчанистый
Смешанно-водорослевый
Смешанно-водорослевый
Смешанно-водорослевый
Смешанно-водорослевый
Водорослево-песчанистый
Водорослево-песчанистый
Песчанистый
27,8
40,4
17,8
18,9
22,2
27,7
30,3
50,0
79,1
92
89
95
95
95
93
94
89
71
7,7
7,6
7,3
7,3
7,7
7,6
7,2
7,0
7,4
5,58
7,05
3,58
3,69
4,59
4,14
4,03
3,02
3,58
1,27
1,12
1,43
1,51
1,75
1,84
4,47
4,63
5,75
3,5
15
10
10
4,2
5
10
10
Органическая - Органо-силикатная залежь (Орг.-Орг.-С.-2)
20
30
5
10
30
-
5
5
5
5
25
-
-
Пункт 44 поп. 3 пк 14 (5)
Смешанно-водорослевый
Водорослево-песчанистый
23,8
30,3
92
89
7,7
7,6
3,69
3,46
1,12
1,53
3,0
10
3,5
10
3,9
10
Органическая залежь (Орг.-1)
20
25
25
5
5
5
10
10
-
5
5
5
5
5
35
35
35
-
-
Пункт 45 поп. 2 пк 10 (6)
Водорослево-песчанистый
Водорослево-песчанистый
Водорослево-песчанистый
42,5
38,4
37,8
88
90
91
7,4
7,6
7,4
3,58
4,81
3,02
1,36
1,84
1,43
5
5
10
5
5
5
Зав. лабораторией О.Н.Успенская
67
(ОБЗОРНЫЙ ПРИМЕР РАБОТЫ)

68.

(ОБЗОРНЫЙ ПРИМЕР РАБОТЫ)
ПРИЛОЖЕНИЕ 9
ВЕДОМОСТЬ
ЛАБОРАТОРНЫХ АГРОХИМИЧЕСКИХ АНАЛИЗОВ СБОРНЫХ ПРОБ САПРОПЕЛЯ

про
бы
Номе
р
участ
ка
Индекс
типового
участка
Класс
сапропеля
Обме
нная
кисло
тност
ь, ед.
рН
6,1
Определение абс. сух. вещества сапропеля
Общи
Обща
Зольность
Химический состав золы, %
й
я
,%
оксиды
азот,
сера,
Кальци
Желез
Фосфор
Алюмини
%
%
я
а
а
я
Кремни
я
120,0
2,49
1,91
40,6
4,36
1,76
0,85
0,98
28,24
Гидролитическа
я кислотность
мг-экв/100г
Емкость
поглощени
я мгэкв/100г
27,0
Уч.3
Орг.-С
Органо-сил.
Уч.2
Уч.1
Орг.-с-Орг.
Орг.
Органо-сил. с
поверхности
6,8
15,0
110,0
2,07
1,51
37,9
3,80
1,60
0,78
0,91
37,49
Уч.2
Уч.1
Орг.-с-Орг.
Орг.
Орг.-сил. в
придон.сл.
5,6
45,0
110,0
2,44
2,53
38,7
3,13
3,35
0,54
1,34
26,71
68
(ОБЗОРНЫЙ ПРИМЕР РАБОТЫ)

69.

(ОБЗОРНЫЙ ПРИМЕР РАБОТЫ)
Уч.1
Орг.
Органич.
5,4
36,0
130,0
3,49
2,29
22,3
3,86
2,08
0,38
0,91
10,18
Уч.1
Уч.2
Орг.
Орг.-с-Орг.
Органич.
6,1
36,0
137,5
3,44
2,40
21,8
4,03
2,08
0,38
0,80
9,71
Уч.1
Уч.2
Орг.
Орг.-с-Орг.
Органич.
6,0
30,0
135,0
3,35
2,07
22,4
3,98
1,76
0,39
0,86
10,64
Уч.1
Орг.
Органич.
5,8
27,0
142,5
3,17
2,13
24,8
4,25
1,99
0,43
0,91
11,98
Уч.1
Орг.
Жел. в придон.
сл.
5,6
34,0
118,5
2,28
3,42
41,9
4,25
5,43
0,47
2,07
22,92
Зав. лабораторией О.Н.Успенская
ПРИЛОЖЕНИЕ 10
ВЕДОМОСТЬ
лабораторных определений физико-механических свойств грунтов


пп
Наименован
ие и №№
выработки
Глубин
а
отбора
образц
а
Гранулометрический состав в % (фракции в мм)
>
1
0
1
0
5
5-2
2
1
1-0,5
0,50,25
0,25
0,10
0,10
0,05
0,05
0,01
0,01
0,00
5
>0,00
5
Потеря
от
прокали
в.
Удельны
й вес
Пределы пластичности
нижний
предел
текучест
и
69
(ОБЗОРНЫЙ ПРИМЕР РАБОТЫ)
нижний
предел
пластич
н.
Число
пластичност
и
Угол откоса в
градусах
В сухом
Под
состояни
водо
и
й
Коэ
ффи
циен
т
фил
ьтра
ции,
Лабораторное
название грунта по
Н и ТУ

70.

(ОБЗОРНЫЙ ПРИМЕР РАБОТЫ)
м/су
т
1.
2.
Б.С.№4
Б.С.№4
0,0-1,5
1,5-5,5
4,4
2,1
9,8
4,3
10,8
6,7
23,8
16,5
13,4
15,6
15,2
32,7
7,2
7,6
15,4
14,5
3.
4.
5.
6.
Б.С.№1
Б.С.№5
Б.С.№5
Б.С.№2
0,0-1,8
0,0-1,4
1,4-5,0
6,4-7,0
7,5
8,9
2,9
16,7
11,4
8,6
17,5
19,7
8,9
10,1
72,2
14,8
14,5
11,5
3,4
10,9
17,9
13,7
10,5
12,6
32,8
4,0
6,1
6,3
7,8
13,8
19,5
15,5
5,2
1,47
1,41
1,46
1,41
17,0
27,1
23,3
17,3
15,4
9,8
7,9
27,2
22,1
18,6
13,5
8,6
8,6
35
Зав. лабораторией О.Н.Успенская
70
(ОБЗОРНЫЙ ПРИМЕР РАБОТЫ)
31
1,71
Суглинок легкий
Суглинок легкий
пылеватый
Песок мелкий
Суглинок легкий
Суглинок легкий
Суглинок средний

71.

(ОБЗОРНЫЙ ПРИМЕР РАБОТЫ)
ПРИЛОЖЕНИЕ 11
КАТАЛОГ
образцов подстилающего грунта, отобранных в пунктах отбора проб сапропеля
№№
пп
1
1
Номер
пунктов
отбора
проб
2
1
Местоположение
пунктов отбора
проб
2
2
Поп.4 пк 11
0,0-0,1
1,0-3,9
3,9-4,1
Вода
Сапропель
Песок темно-серый,
мелкий, глинистый,
слюдистый, водоносный
3
3
Поп.4 пк 14
0,0-0,1
1,0-2,2
2,2-2,4
Вода
Сапропель
Песок коричневатосерый, мелкий,
глинистый, водоносный
4
4
Поп.6 пк 11
0,0-1,5
1,5-4,3
4,3-4,5
Вода
Сапропель
Суглинок легкий, темносерый, опесчаненный
текучепластичный
5
5
Поп.6 пк 14
0,0-1,5
1,5-5,8
5,8-6,0
Вода
Сапропель
Песок серый, мелкий,
водоносный
6
6
Поп.6 пк 17
0,0-0,1
1,0-6,9
6,9-7,1
Вода
Сапропель
Песок серый, мелкий,
слюдистый, водоносный
7
7
Поп.6 пк 20
0,0-1,0
1,0-3,2
3,2-3,3
Вода
Сапропель
Песок светло-серый,
мелкий, слюдистый,
водоносный
8
8
Поп.6 пк 23
0,0-1,0
1,0-3,2
3,2-3,4
Вода
Сапропель
Песок мелкий,
коричневато-серый,
водоносный
3
Поп.4 пк 8
Геологический
индекс пород
4
Интервал
отбора
образцов
(от-до)
5
0,0-1,5
1,5-6,0
6,0-6,2
Литологическое
описание
6
Вода
Сапропель
Песок мелкий, светлосерый, водоносный
71
(ОБЗОРНЫЙ ПРИМЕР РАБОТЫ)

72.

(ОБЗОРНЫЙ ПРИМЕР РАБОТЫ)
9
9
Поп.6 пк 26
0,0-0,8
0,8-2,0
2,0-2,2
Вода
Сапропель
Песок мелкий, серый,
слюдистый, водоносный
10
10
Поп.8 пк 5
0,0-1,0
1,0-3,6
3,6-3,8
Вода
Сапропель
Песок светло-серый,
мелкий, водоносный
11
11
Поп.8 пк 8
0,0-1,4
1,4-4,6
4,6-4,8
Вода
Сапропель
Песок серый, мелкий,
слюдистый, водоносный
12
12
Поп.8 пк 11
0,0-1,5
1,5-6,5
6,5-6,7
Вода
Сапропель
Песок темно-серый,
мелкий, водоносный
13
13
Поп.8 пк 14
0,0-1,8
1,8-7,3
7,3-7,5
Вода
Сапропель
Суглинок темно-серый
до черного, пылеватый
14
14
Поп.8 пк 17
0,0-2,0
2,0-6,9
6,9-7,1
Вода
Сапропель
Суглинок темно-серый,
легкий,
мягкопластичный
15
15
Поп.8 пк 20
0,0-2,0
2,0-5,0
5,0-5,2
Вода
Сапропель
Песок темно-серый,
слюдистый, глинистый,
водоносный
16
16
Поп.8 пк 23
0,0-2,0
2,0-3,6
3,6-3,7
Вода
Сапропель
Песок серый,
слюдистый, мелкий,
водоносный
17
17
Поп.8 пк 26
0,0-2,0
2,0-3,5
3,5-3,6
Вода
Сапропель
Песок светло-серый,
мелкий, глинистый,
водоносный
18
18
Поп.10 пк 7
0,0-2,0
2,0-5,5
5,5-5,7
Вода
Сапропель
Суглинок серый, легкий,
слюдистый, пылеватый,
мягкопластичный
72
(ОБЗОРНЫЙ ПРИМЕР РАБОТЫ)

73.

(ОБЗОРНЫЙ ПРИМЕР РАБОТЫ)
19
19
Поп.10 пк 10
0,0-2,0
2,0-5,0
5,0-5,1
Вода
Сапропель
Песок серый, мелкий,
водоносный
20
20
Поп.10 пк 14
0,0-2,0
2,0-6,5
6,5-6,6
Вода
Сапропель
Суглинок голубоватосерый, легкий,
мягкопластичный
21
22
Поп.10 пк 22
0,0-2,0
2,0-7,1
7,1-7,3
Вода
Сапропель
Суглинок серый,
пылеватый
22
23
Поп.10 пк 25
0,0-0,6
0,6-6,1
6,1-6,3
Вода
Сапропель
Песок серый, мелкий,
водоносный
23
24
Поп.10 пк 28
0,0-1,0
1,0-4,3
4,3-4,5
Вода
Сапропель
Песок серый, мелкий,
водоносный
24
25
Поп.12 пк 6
0,0-2,4
2,4-3,5
3,5-3,6
Вода
Сапропель
Песок серый, мелкий,
водоносный
25
26
Поп.12 пк 10
0,0-2,0
2,0-6,5
6,5-6,6
Вода
Сапропель
Суглинок темно-серый,
легкий, гумусированный
26
27
Поп.12 пк 14
0,0-2,0
2,0-6,3
6,3-6,5
Вода
Сапропель
Суглинок серый, легкий,
пылеватый, слюдистый
27
28
Поп.12 пк 18
0,0-1,5
1,5-1,7
7,0-7,2
Вода
Сапропель
Суглинок голубоватосветло-серый,
пылеватый
28
29
Поп.12 пк 22
0,0-1,2
1,2-4,1
4,1-4,3
Вода
Сапропель
Песок серый, мелкий,
водоносный
29
31
Поп.14 пк 5
0,0-1,6
1,6-4,5
Вода
Сапропель
73
(ОБЗОРНЫЙ ПРИМЕР РАБОТЫ)

74.

(ОБЗОРНЫЙ ПРИМЕР РАБОТЫ)
4,5-4,7
Суглинок темно-серый,
легкий, опесчаненный
30
32
Поп.14 пк 8
0,0-1,5
1,5-5,5
5,5-5,6
Вода
Сапропель
Суглинок темно-серый,
пылеватый
31
33
Поп.14 пк 12
0,0-2,0
2,0-4,5
4,5-4,7
Вода
Сапропель
Суглинок серый,
пылеватый
32
35
Поп.16 пк 6
0,0-1,9
1,9-5,8
5,8-6,0
Вода
Сапропель
Суглинок голубоватосерый, пылеватый
33
36
Поп.16 пк 9
0,0-2,0
2,0-3,5
3,5-3,7
Вода
Сапропель
Песок темно-серый,
мелкий, водоносный
34
37
Поп.16 пк 12
0,0-0,8
0,8-1,8
1,8-2,0
Вода
Сапропель
Песок светло-серый,
мелкий, водоносный
35
38
Поп.18 пк 3
0,0-0,8
0,8-3,0
3,0-3,2
Вода
Сапропель
Суглинок голубоватотемно-серый, пылеватый
36
39
Поп.18 пк 6
0,0-0,5
0,5-2,5
2,5-2,7
Вода
Сапропель
Суглинок темно-серый,
гумусированный
37
Пробы сапропеля и грунта, отобранные при поисково-оценочных работах 1988 г.
40(1)
Поп.9(2) пк 17
0,0-2,5
Вода
2,5-7,5
Сапропель
7,5-7,6
Суглинок черный,
пылеватый
38
42(3)
Поп.4(1) пк 7
0,0-1,5
1,5-4,6
4,6-4,7
Вода
Сапропель
Песок серый, мелкий,
водоносный
39
43(4)
Поп.14(3) пк 7
0,0-1,6
1,6-5,5
5,5-5,6
Вода
Сапропель
Суглинок голубоватосерый, слюдистый,
пылеватый
74
(ОБЗОРНЫЙ ПРИМЕР РАБОТЫ)

75.

(ОБЗОРНЫЙ ПРИМЕР РАБОТЫ)
40
44(5)
Поп.14(3) пк 14
0,0-3,0
3,0-4,2
4,2-4,4
Вода
Сапропель
Суглинок голубоватосветло-серый,
опесчаненный
Составил гидрогеолог Н.М.Скуднева
ПРИЛОЖЕНИЕ 12
КАТАЛОГ
высот грунтовых реперов, установленных при детальной разведке
Год
нивелирования/
Год установки
1988/1988
Тип и
номер
знака
Грунт
овый
репер
1
1988/1988
Грунт
овый
репер
2
Местоположение знака
Класс
нивелирования
Отметка
условная, м
Грунтовый репер 1
установлен на землях АО
"Сапропэк" от п. Боровое
на ЮВ в 1,55 км, от
дачного поселка на СВ в
1,1 км, от восточного
берега в 80 м, от места
впадения канавы 1 в
озеро в 140 м, от места
впадения канавы 2 в
озеро в 200 м, от
улучшенной грунтовой
дороги, соединяющей
шоссе в 50 м.
Закрепляет начало
магистрального хода
техническое
50,00/50,3
техническое
49,33/49,6
Грунтовый репер 2
установлен на землях ПО
"Сапропэк", от п. Боровое
на ЮЗ в 1,0 км, от
дачного поселка на СЗ в
0,95 км, от шоссе на юг в
190 м, от северозападного берега озера в
85 м, от улучшенной
грунтовой дороги,
соединяющей шоссе 50 м.
Закрепляет конец
магистрального хода
75
(ОБЗОРНЫЙ ПРИМЕР РАБОТЫ)

76.

(ОБЗОРНЫЙ ПРИМЕР РАБОТЫ)
ПРИЛОЖЕНИЕ 13
ВЕДОМОСТЬ
зондирования и отметок поверхности
№№
пикет
ов
Местоположе
ние пикетов
1
2
0
Гр.Рп.1гол.
земля
+63
Расстоян
Толщина пласта, м
ие от
общая от
в том числе
нулевог
поверхнос вода
сапро
о
ти до
пель
пикета,
минеральн
м
ого дна
3
4
5
6
Ход по магистрали от Рп.1 до Рп.2
00
Отметки, м
поверхност
и
месторожде
ния
Грунт
минеральн
ого дна
7
8
50,00
50,34
63
дорога
+74
1
бер.оз.
урез в.
2
3
4
5
6
7
8
9
10
11
12
13
14
15
16
17
+90
18
+25
+35
19
0
1
2
3
4
5
6
74
100
200
300
400
500
600
700
800
900
1000
1100
1200
1300
1400
1500
1600
1700
ур.в.
бер.оз.
дорога
Гр.Рп.2
земля
бер.оз.
ур.в
1790
1800
1825
1835
1900
Поперечник 2
Поперечник 3
Поперечник 4
Поперечник 5
Поперечник 6
Поперечник 7
Поперечник 8
Поперечник 9
Поперечник 10
Поперечник 11
Поперечник 12
Поперечник 13
Поперечник 14
Поперечник 15
Поперечник 16
Поперечник 17
Поперечник 18
49,33
48,97
48,67
48,67
48,67
48,67
48,67
48,67
48,67
48,67
48,67
48,67
48,67
48,67
48,67
48,67
48,67
48,67
48,67
48,67
48,94
49,03
49,77
49,33
49,62
Поперечник 2 через Маг.пк.2 слева направо
00
49,39
50
49,22
100
48,80
48,67
150
0,3
0,3
_"_
200
0,5
0,5
_"_
250
0,4
0,4
_"_
300
0,5
0,5
_"_
76
(ОБЗОРНЫЙ ПРИМЕР РАБОТЫ)

77.

(ОБЗОРНЫЙ ПРИМЕР РАБОТЫ)
7
8
9
+11
10
11
12
+45
13
0
+35
+40
1
2
+10
+30
3
+35
4
5
+45
6
7
8
9
10
11
12
13
14
15
16
17
18
0
1
+5
+15
2
3
4
5
6
7
+36
8
9
10
11
12
13
Маг.пк.2
бер.оз.
бер.оз.
бер.оз.
бер.оз. о-ва
гр.с
Маг.пк.3
гр.с
ур.в
бер.оз.
бер.оз.
у.в.
гр.с.
Маг.пк.4
350
0,5
0,5
_"_
400
0,5
0,5
_"_
450
0,6
0,6
_"_
461
_"_
500
0,5
0,5
_"_
550
0,4
0,4
_"_
600
48,90
645
650
дорога
49,27
Поперечник 3 через Маг.пк.3 справа налево
00
49,30
35
дорога
40
50
49,03
100
48,91
110
0,3
0,3
48,67
130
150
185
200
0,3
0,3
48,67
250
0,7
0,7
0
48,67
295
_"_
300
1,7
1,0
0,7
_"_
350
1,9
1,0
0,9
_"_
400
2,1
1,1
1,0
_"_
450
1,8
1,0
0,8
_"_
500
1,4
0,9
0,5
_"_
550
1,3
0,8
0,5
_"_
600
0,5
0,5
0
_"_
650
0,5
0,5
_"_
700
0,4
0,4
_"_
750
0,3
0,3
_"_
48,67
800
48,89
850
49,22
900
49,50
Поперечник 4 через Маг.пк.4 справа налево
00
49,44
50
49,12
55
65
дорога
100
48,93
48,67
150
0,2
0,2
48,67
200
0,3
0,3
0
_"_
250
1,9
1,5
0,4
_"_
300
2,2
1,5
0,7
_"_
350
4,6
1,5
3,1
_"_
386
_"_
400
6,0
1,5
4,5
_"_
450
4,4
1,5
2,9
_"_
500
4,2
1,5
2,7
_"_
550
3,9
1,0
2,9
_"_
600
3,0
1,2
1,8
_"_
650
2,2
1,1
1,1
_"_
77
(ОБЗОРНЫЙ ПРИМЕР РАБОТЫ)

78.

(ОБЗОРНЫЙ ПРИМЕР РАБОТЫ)
14
15
16
17
18
19
20
+25
21
22
0
1
2
3
4
5
6
7
8
9
10
11
12
13
14
15
+20
16
17
18
19
20
21
22
+40
23
24
0
1
2
3
4
5
6
7
8
9
10
11
12
гр.с
ур.в
бер.оз.
бер.оз.
ур.в
гр.с.
Маг.пк.5
гр.с.
бер.оз.
бер.
ур.в
гр.с.
700
750
800
850
900
950
1000
2,2
1,9
1,4
1,2
0,9
0,8
0,4
1,0
1,0
1,0
0,9
0,9
0,8
0,4
1,2
0,9
0,4
0,3
0
_"_
_"_
_"_
_"_
_"_
_"_
_"_
48,67
48,83
49,08
49,57
1025
1050
1100
Поперечник 5 через Маг.пк.5 слева направо
00
49,41
50
49,03
100
48,87
48,67
150
0,6
0,6
0
_"_
200
1,2
0,8
0,4
_"_
250
1,7
1,0
0,7
_"_
300
2,0
1,0
1,0
_"_
350
2,2
1,0
1,2
_"_
400
2,5
1,0
1,5
_"_
450
2,6
1,0
1,6
_"_
500
3,0
1,0
2,0
_"_
550
4,0
1,0
3,0
_"_
600
5,2
1,0
4,2
_"_
650
5,8
1,3
4,5
_"_
700
6,0
1,5
4,5
_"_
750
6,1
1,5
4,6
_"_
770
_"_
800
5,5
1,5
4,0
_"_
850
4,0
1,5
2,5
_"_
900
3,5
1,5
2,0
_"_
950
2,5
1,5
1,0
_"_
1000
1,5
1,0
0,5
_"_
1050
1,3
1,0
0,3
_"_
1100
0,8
0,8
0
48,67
1140
48,79
1150
49,18
1200
49,74
Поперечник 6 через Маг.пк.6 справа налево
00
50,86
50
49,88
100
48,84
48,67
150
0,3
0,3
_"_
200
0,4
0,4
0
_"_
250
1,5
0,7
0,8
_"_
300
2,0
1,5
0,5
_"_
350
2,0
1,6
0,4
_"_
400
2,5
1,8
0,7
_"_
450
3,0
1,5
1,5
_"_
500
3,8
1,5
2,3
_"_
550
4,3
1,5
2,8
_"_
600
5,0
1,4
3,6
_"_
78
(ОБЗОРНЫЙ ПРИМЕР РАБОТЫ)

79.

(ОБЗОРНЫЙ ПРИМЕР РАБОТЫ)
13
14
+8
15
16
17
18
19
20
21
22
23
24
25
26
27
28
+12
29
30
00
1
2
3
4
5
6
7
8
9
10
11
12
13
14
15
16
+31
17
18
19
20
21
22
23
24
25
26
27
28
29
30
Маг.пк.6
гр.с.
ур.в
бер.оз.
бер.оз.
ур.в.
гр.с.
Мг.пк.7
гр.с.
650
700
708
750
800
850
900
950
1000
1050
1100
1150
1200
1250
1300
1350
1400
5,5
5,9
1,5
1,5
4,0
4,4
6,0
6,5
6,9
6,0
4,5
3,2
3,2
3,0
3,2
3,0
2,4
2,0
1,1
0,5
1,3
1,2
1,0
1,0
1,0
1,0
1,0
1,1
1,0
1,0
0,9
0,8
0,7
0,5
4,7
5,3
5,9
5,0
3,5
2,2
2,2
1,9
2,2
2,0
1,5
1,2
0,4
0
_"_
_"_
_"_
_"_
_"_
_"_
_"_
_"_
_"_
_"_
_"_
_"_
_"_
_"_
_"_
_"_
48,67
1412
48,80
1450
49,15
1500
49,42
Поперечник 7 через Маг.пк.7 справа налево
00
51,63
50
50,05
100
48,79
48,67
150
0,8
0,8
0
_"_
200
1,2
1,0
0,2
_"_
250
1,4
1,0
0,4
_"_
300
2,5
1,5
1,0
_"_
350
2,9
1,7
1,2
_"_
400
2,9
1,7
1,2
_"_
450
3,3
1,8
1,5
_"_
500
3,7
2,0
1,7
_"_
550
4,2
2,0
2,2
_"_
600
4,8
1,8
3,0
_"_
650
5,0
1,8
3,2
_"_
700
5,3
1,8
3,5
_"_
750
5,8
1,8
4,0
_"_
800
6,3
1,8
4,5
_"_
831
850
6,8
1,8
5,0
_"_
900
6,4
1,5
4,9
_"_
950
6,8
1,5
5,3
_"_
1000
6,5
1,5
5,0
_"_
1050
5,5
1,3
4,2
_"_
1100
4,7
1,2
3,5
_"_
1150
4,2
1,2
3,0
_"_
1200
4,0
1,2
2,8
_"_
1250
3,7
1,2
2,5
_"_
1300
3,7
1,2
2,5
_"_
1350
2,2
1,0
1,2
_"_
1400
1,8
0,9
0,9
_"_
1450
1,2
0,8
0,4
_"_
1500
0,6
0,6
0
48,67
79
(ОБЗОРНЫЙ ПРИМЕР РАБОТЫ)

80.

(ОБЗОРНЫЙ ПРИМЕР РАБОТЫ)
+20
31
32
0
1
2
3
4
5
6
7
8
9
10
11
12
13
14
15
+41
16
17
18
19
20
21
22
23
24
25
26
27
28
29
30
31
+18
32
33
0
1
2
3
4
5
6
7
8
9
10
11
бер.оз.
бер.оз.
ур.в
гр.с.
Маг.пк.8
гр.с
бер.оз.
бер.оз.
ур.в
гр.с.
1520
48,81
1550
49,00
1600
49,24
Поперечник 8 через Маг.пк.8 слева направо
00
50,37
50
49,40
100
48,84
48,67
150
0,5
0,5
0
_"_
200
1,2
0,8
0,4
_"_
250
3,6
1,0
2,6
_"_
300
4,0
1,0
3,0
_"_
350
4,2
1,2
3,0
_"_
400
4,6
1,4
3,2
_"_
450
5,0
1,5
3,5
_"_
500
6,2
1,5
4,7
_"_
550
6,5
1,5
5,0
_"_
600
6,6
1,5
5,1
_"_
650
7,0
1,6
5,4
_"_
700
7,3
2,0
5,3
_"_
750
7,4
2,0
5,4
_"_
791
_"_
800
7,0
2,0
5,0
_"_
850
6,9
2,0
4,9
_"_
900
6,2
2,0
4,2
_"_
950
5,5
1,9
3,6
_"_
1000
5,0
2,0
3,0
_"_
1050
4,2
1,8
2,4
_"_
1100
4,0
2,0
2,0
_"_
1150
3,6
2,0
1,6
_"_
1200
3,5
2,0
1,5
_"_
1250
3,3
2,0
1,3
_"_
1300
3,5
2,0
1,5
_"_
1350
3,0
1,8
1,2
_"_
1400
1,5
1,0
0,5
_"_
1450
0,9
0,5
0,4
_"_
1500
0,8
0,8
0
_"_
1550
0,5
0,5
48,67
1568
48,93
1600
49,39
1650
50,43
Поперечник 9 через Маг.пк.9 справа налево
00
50,22
50
48,88
48,67
100
0,9
0,9
0
_"_
150
1,5
1,1
0,4
_"_
200
1,4
1,1
0,3
_"_
250
3,3
1,8
1,5
_"_
300
5,1
2,0
3,1
_"_
350
4,9
2,0
2,9
_"_
400
5,0
2,0
3,0
_"_
450
4,8
2,0
2,8
_"_
500
3,9
2,5
1,4
_"_
550
5,2
2,0
3,2
_"_
80
(ОБЗОРНЫЙ ПРИМЕР РАБОТЫ)

81.

(ОБЗОРНЫЙ ПРИМЕР РАБОТЫ)
12
13
14
15
16
+18
17
18
19
20
21
22
23
24
25
26
27
28
29
+40
30
31
32
0
+10
1
+20
+30
2
3
4
5
6
7
8
9
10
11
12
13
14
15
16
17
+8
18
19
20
21
22
23
24
Маг.пк.9
гр.с.
бер.оз
Ст.1 полка
земля
дорога
Б.С.4
бер.оз.
ур.в
гр.с.
Маг.пк.10
600
5,6
2,0
3,6
_"_
650
6,2
2,0
4,2
_"_
700
6,5
2,0
4,5
_"_
750
6,5
2,0
4,5
_"_
800
6,8
2,0
4,8
_"_
818
_"_
850
7,5
2,5
5,0
_"_
900
6,8
1,8
5,0
_"_
950
6,9
1,8
5,1
_"_
1000
6,8
1,7
5,1
_"_
1050
6,7
1,7
5,0
_"_
1100
7,5
2,0
5,5
_"_
1150
5,8
1,3
4,5
_"_
1200
5,6
1,1
4,5
_"_
1250
4,7
1,0
3,7
_"_
1300
4,5
1,0
3,5
_"_
1350
4,0
1,0
3,0
_"_
1400
1,7
0,7
1,0
_"_
1450
0,6
0,6
0
48,67
1490
48,81
1500
49,44
1550
50,02
1600
50,48
Поперечник 10 через Маг.пк.10 справа налево
00
49,47
49,35
10
50
50,45
70
80
49,99
100
48,93
48,67_"_
150
1,1
1,1
0
_"_
200
2,1
1,5
0,6
_"_
250
1,6
1,5
0,1
_"_
300
4,0
2,0
2,0
_"_
350
5,5
2,0
3,5
_"_
400
5,5
2,2
3,3
_"_
450
5,2
2,0
3,2
_"_
500
5,0
2,0
3,0
_"_
550
5,3
2,0
3,3
_"_
600
5,5
2,0
3,5
_"_
650
6,0
2,0
4,0
_"_
700
6,5
2,0
4,5
_"_
750
6,4
2,0
4,4
_"_
800
6,5
1,9
4,6
_"_
850
6,6
2,0
4,6
_"_
858
_"_
900
6,4
2,0
4,4
_"_
950
6,5
1,9
4,6
_"_
1000
6,8
2,0
4,8
_"_
1050
7,0
1,8
5,2
_"_
1100
7,1
2,0
5,1
_"_
1150
6,5
1,5
5,0
_"_
1200
6,3
1,0
5,3
_"_
81
(ОБЗОРНЫЙ ПРИМЕР РАБОТЫ)

82.

(ОБЗОРНЫЙ ПРИМЕР РАБОТЫ)
25
26
27
28
29
30
+10
31
32
0
+30
1
2
3
4
5
6
7
8
9
10
11
12
13
14
+15
15
16
17
18
19
20
21
22
23
24
25
26
+20
27
28
гр.с.
бер.оз.
Б.С.5
Ст.2 полка
земля
Гр.нас.дор
берег
ур.в
гр.с
Маг.пк.11
гр.с
ур.в
бер.оз.
0
+35
1
+10
+40
2
3
4
бер.оз.
ур.в
бер.оз.
бер.оз.
гр.с.
1250
1300
1350
1400
1450
1500
1510
1550
1600
6,1
5,5
5,1
4,3
2,1
0,4
0,6
1,0
1,0
1,0
0,6
0,4
50
60
90
100
150
200
0,7
0,7
_"_
_"_
_"_
_"_
_"_
48,67
48,80
49,81
50,65
50,53
Поперечник 11 через Маг.пк.11 справа налево
00
50,39
30
48,93
50
0,9
0,9
48,67
100
1,5
1,5
0
_"_
150
2,6
1,6
1,0
_"_
200
3,1
2,0
1,1
_"_
250
3,8
2,2
1,6
_"_
300
4,2
2,2
2,0
_"_
350
4,6
2,2
2,4
_"_
400
4,8
2,0
2,8
_"_
450
5,5
2,0
3,5
_"_
500
6,2
2,0
4,2
_"_
550
6,5
2,0
4,5
_"_
600
6,5
2,0
4,5
_"_
650
6,2
1,9
4,3
_"_
700
6,4
1,9
4,5
_"_
715
_"_
750
6,4
1,7
4,7
_"_
800
6,3
1,7
4,6
_"_
850
6,8
1,8
5,0
_"_
900
6,9
1,6
5,3
_"_
950
6,7
1,6
5,1
_"_
1000
6,5
1,5
5,0
_"_
1050
5,7
1,2
4,5
_"_
1100
5,0
1,0
4,0
_"_
1150
4,2
1,0
3,2
_"_
1200
3,1
0,8
2,3
_"_
1250
1,8
0,8
1,0
_"_
1300
0,4
0,4
0
_"_
48,67
1320
48,82
1350
49,14
1400
49,83
Поперечник 12 через Маг.пк.12 справа налево
00
дорога
50,29
Лен-Тал
35
48,91
0,6
1,4
2,0
0,6
1,4
2,0
5,5
4,5
4,1
3,3
1,5
0
0
82
(ОБЗОРНЫЙ ПРИМЕР РАБОТЫ)
48,96
48,93
48,67
_"_
_"_

83.

(ОБЗОРНЫЙ ПРИМЕР РАБОТЫ)
5
6
7
8
9
10
11
12
13
+38
14
15
16
17
18
19
20
21
22
23
24
25
26
27
28
0
1
2
3
4
5
6
7
8
9
10
11
12
13
+18
14
15
16
17
18
19
20
21
22
+30
23
24
Маг.пк.12
ур.в
бер.оз.
бер.оз.
ур.в
Маг.пк.13
гр.с
бер.оз.
250
300
350
400
450
500
550
600
650
688
700
750
800
850
900
950
1000
1050
1100
1150
1200
1250
3,0
3,5
3,7
4,5
5,5
6,5
6,6
6,5
6,1
2,2
2,4
2,2
2,0
2,0
2,0
2,0
1,9
1,9
0,8
1,1
1,5
2,5
3,6
4,5
4,6
4,6
4,2
_"_
_"_
_"_
_"_
_"_
_"_
_"_
_"_
_"_
_"_
6,3
2,0
4,3
_"_
6,5
1,7
4,8
_"_
6,5
1,7
4,8
_"_
6,8
1,5
5,3
_"_
7,0
1,5
5,5
_"_
6,5
1,5
5,0
_"_
6,5
1,4
5,1
_"_
5,3
1,3
4,0
_"_
4,1
1,2
2,9
_"_
3,5
1,0
2,5
_"_
2,0
0,7
1,3
_"_
1,5
0,5
1,0
_"_
48,67
1300
0
гр.с.
48,85
1350
49,32
1400
49,58
Поперечник 13 через Маг.пк.13 слева направо
00
49,76
50
49,20
100
0
гр.с
48,83
48,67
150
1,7
1,0
0,7
_"_
200
2,7
1,2
1,5
_"_
250
3,5
1,5
2,0
_"_
300
5,0
1,5
3,5
_"_
350
5,5
1,5
4,2
_"_
400
5,8
1,5
4,3
_"_
450
6,5
1,5
5,0
_"_
500
6,7
1,7
5,0
_"_
550
6,3
1,8
4,5
_"_
600
6,0
1,8
4,2
_"_
650
6,0
2,0
4,0
_"_
668
_"_
700
5,5
2,0
3,5
_"_
750
5,3
2,0
3,3
_"_
800
5,0
2,0
3,0
_"_
850
4,8
2,0
2,8
_"_
900
4,1
2,0
2,1
_"_
950
3,5
2,0
1,5
_"_
1000
3,0
2,0
1,0
_"_
1050
2,7
2,0
0,7
_"_
1100
1,0
1,0
0
48,67
1130
48,96
1150
49,63
1200
50,08
83
(ОБЗОРНЫЙ ПРИМЕР РАБОТЫ)

84.

(ОБЗОРНЫЙ ПРИМЕР РАБОТЫ)
0
1
2
3
4
5
6
7
8
9
10
11
12
+40
13
14
15
16
17
18
19
20
+20
21
+5
22
0
+45
1
+5
2
3
4
5
6
7
+16
8
9
10
11
12
13
14
15
16
17
18
19
0
бер.оз.
ур.в
гр.с.
Маг.пк.14
гр.с
бер.оз.
дорога
бер.оз.
ур.в
Маг.пк.15
гр.с
бер.оз
Поперечник 14 через Маг.пк.14 слева направо
00
49,66
50
49,18
100
48,90
48,67
150
1,0
1,0
0
_"_
200
30
1,5
1,5
_"_
250
4,5
1,6
2,9
_"_
300
4,7
1,5
3,2
_"_
350
5,5
1,6
3,9
_"_
400
5,5
1,5
4,0
_"_
450
5,5
1,7
3,8
_"_
500
5,0
1,9
3,1
_"_
550
4,8
2,0
2,8
_"_
600
4,5
2,0
2,5
_"_
640
_"_
650
4,0
2,0
2,0
_"_
700
4,2
3,0
1,2
_"_
750
3,3
2,3
1,0
_"_
800
3,0
2,1
0,9
_"_
850
2,7
2,0
0,7
_"_
900
2,2
1,8
0,4
_"_
950
1,9
1,7
0,2
_"_
1000
1,1
1,1
0
48,67
1020
48,89
1050
49,47
1055
49,71
1100
49,35
Поперечник 15 через Маг.пк.15 справа налево
00
49,27
45
50
дорога
49,69
60
100
48,91
48,67
150
1,5
1,5
0
_"_
200
2,5
1,7
0,8
_"_
250
2,7
2,0
0,7
_"_
300
3,0
2,0
1,0
_"_
350
4,0
2,0
2,0
_"_
366
_"_
400
4,9
1,9
3,0
_"_
450
5,0
2,0
3,0
_"_
500
4,5
2,0
2,5
_"_
550
4,8
2,0
2,8
_"_
600
4,4
1,8
2,6
_"_
650
3,3
1,3
2,0
_"_
700
3,1
1,3
1,8
_"_
750
2,2
1,0
1,2
_"_
800
0,9
0,9
0
48,67
850
48,82
900
49,28
950
49,65
Поперечник 16 через Маг.пк.16 справа налево
00
49,24
84
(ОБЗОРНЫЙ ПРИМЕР РАБОТЫ)

85.

(ОБЗОРНЫЙ ПРИМЕР РАБОТЫ)
+5
+15
1
2
3
4
+38
5
6
7
8
9
10
11
12
13
+30
14
15
0
1
2
3
4
5
6
7
8
9
+42
10
11
+40
12
+25
+35
13
0
1
2
3
4
5
6
7
+44
8
+36
+48
дорога
бер.оз.
ур.в
гр.с
Маг.пк.16
гр.с.
у.в.
бер.оз
бер.оз.
ур.в
Маг.пк.17
Гр.с
бер.оз.
дорога
дорога
бер.оз.
ур.в
бер.оз.
Маг.пк.18
дорога
дорога
5
15
50
48,87
48,67
100
1,2
1,2
0
_"_
150
2,0
1,7
0,3
_"_
200
2,5
1,8
0,7
_"_
238
_"_
250
4,0
1,9
2,0
_"_
300
5,8
1,9
3,9
_"_
350
5,0
2,0
3,0
_"_
400
4,2
2,0
2,2
_"_
450
3,5
2,0
1,5
_"_
500
3,0
1,8
1,2
_"_
550
2,2
1,0
1,2
_"_
600
1,8
0,8
1,0
_"_
650
0,7
0,7
0
48,67
48,67
680
48,88
700
49,25
750
49,54
Поперечник 17 через Маг.пк.17 слева направо
00
49,40
50
49,09
100
0
гр.с
49,81
48,67
150
2,1
0,8
1,3
_"_
200
2,5
1,0
1,5
_"_
250
2,9
1,2
1,7
_"_
300
3,5
1,5
2,0
_"_
350
4,2
1,7
2,5
_"_
400
4,7
1,7
3,0
_"_
450
4,0
1,8
2,2
_"_
492
_"_
500
3,2
1,7
1,5
_"_
550
1,2
1,2
0
48,67
590
48,85
600
49,27
625
635
49,84
650
49,56
Поперечник 18 через Маг.пк.18 слева направо
00
49,32
50
48,98
100
0
гр.с
48,82
48,67
150
3,0
0,8
2,2
_"_
200
3,0
1,0
2,0
_"_
250
2,7
1,0
1,7
_"_
300
2,5
0,5
2,0
_"_
350
1,3
0,5
0,8
48,67
394
0
гр.с
400
49,03
436
448
-
85
(ОБЗОРНЫЙ ПРИМЕР РАБОТЫ)

86.

(ОБЗОРНЫЙ ПРИМЕР РАБОТЫ)
9
450
Уровни воды даны на 25.04.2014 г.
49,50
4. УТОЧНЕНИЕ НУЛЕВОЙ ГРАНИЦЫ И ГРАНИЦЫ ПРОМЫШЛЕННОЙ ГЛУБИНЫ
САПРОПЕЛЕВОЙ ЗАЛЕЖИ, ЗАПАСОВ САПРОПЕЛЯ, КАЧЕСТВЕННЫХ ПОКАЗАТЕЛЕЙ
4.1. Изученность качественных и количественных показателей сапропеля оз. Боровое
Обьект уточняющей поисковой оценки донных илов и сапропеля – месторождение оз.
Боровое вблизи г. Кокшетау (Казахстан) изучался в 1988-1992 г. Были проведены как
поисково-оценочные работы, так и детальные геологоразвдедочные работы на мес
орождении. Полевые разведочные работы донных илов и сапропеля на данном водоеме
проводились по старым ГОСТам СССР и Белорусской ССР. В 2010 г. в России введен
новый ГОСТ для органо-минеральных и органических удорений. Уточнения
проводились в марте 2014 г. с учтом новых стандартов на сапропель – ГОСТ Р 540002010 «Органические удобрения. Сапропель».
В Геологическом фонде России информации по качеству и количеству донных илов
вышеупомянутого объекта детальной разведки 1989 г. Центральной
геологоразведочной экспедицией Министерства геологии СССР имеется. Также она
имеется в Казахстане в Геологическом архиве.
Рис. 7. Общий вид исследуемого месторождения донных илов «Боровое»
86
(ОБЗОРНЫЙ ПРИМЕР РАБОТЫ)

87.

(ОБЗОРНЫЙ ПРИМЕР РАБОТЫ)
В архиве Центра по сапропелю (г. Астрахань, Россия) имеются основополагающие
документы по подсчету запасов донных илов оз. Боровое и Отчет по геологической
разведке сапропеля месторождения «Боровое» от 1989 г.
Заказчиком, на основании отсутствия изученности донных отложений исследуемого
обьекта на основании новых стандартов, вышедших в 2010 г. определения их
качественных характеристик, принято решение провести в марте 2014 г. уточняющие
поисково-оценочные работы донного ила и сапропеля и сделать Заключение о его
пригодности в качестве сырья для производства удобрений различного вида, другой
продукции. Основная задача Заказчика - экологическая очистка водоема от заиления с
утилизацией извлекаемого донного ила производством товарной продукции. Также
Заказчик заказывает лабораторное получение образцов готовой продукции, которую
возможно будет производить из ивлекаемых донных отложений озера.
5. Уточняющие поисково-оценочные работы на месторождении донных илов «Боровое».
Выбор территории изучения и методика проведения полевых исследований
Уточняющие оценочные работы при поиске сапропеля и исследовании донных илов на
месторождении «Боровое» для экологической его очистки включали в себя полевые и
камерально-лабораторные работы.
5.1. Месторождение донных илов - сапропеля «Боровое»
Обьект уточняющих поисково-оценочных работ расположен вблизи п. Боровое в 0.1 км
от района Боровое в Казахстане и имеет уточненную площадь в пределах зеркала воды
10,5 км2, наибольшую длину - 4500 м, ширину в средней его части 3900 м.
Максимальная глубина воды на конец марта 2014 г. – 7.10 м, максимальная уточненная
мощность продуктивного слоя донного ила (сапропеля) – 6,0 м.
Рядом с озерным месторождением развита инфраструктура, имеются хорошие
подьездные пути, дороги с твердым покрытием, достаточное количество
электроэнергии.
87
(ОБЗОРНЫЙ ПРИМЕР РАБОТЫ)

88.

(ОБЗОРНЫЙ ПРИМЕР РАБОТЫ)
В близлежащих населенных пунктах имеются трудовые ресурсы для обеспечения
открываемого бизнеса экологической очистки водоема.
Рис. 8. Месторождение донных илов «Боровое». Схема зондирования глубин залегания илов, мощности
донных отложений и точки отбора проб. Точки зондирования уточнения глубин и мощности залежи
сапропеля, нулевой границы и границы промышленной глубины залегания слоя сапропеля
5.2. Подсчет уточненных запасов донных илов на месторождении
На месторождении проведены зондировочные исследования озерной залежи
продуктивного ила , произведен замер величины его мощности и глубины воды. Всего
выполнено 124 точки зондирования, в части из них отобраны пробы илов (сапропеля)
на анализ. Сводная таблица данных по полевым замерам на обьенкте исследования
представлена ниже.
Таблица 18
Точки зондирования на площади промышленной мощности залежи
№ точки
Мощность
Глубина
слоя
зондирования
Координаты
Примечания
воды, м
ила, м
отбора проб
1
2
N59°26'31,70"
E25°00'22,90"
N59°26'28,20"
1,2
0,8
1,4
0,6
88
(ОБЗОРНЫЙ ПРИМЕР РАБОТЫ)

89.

(ОБЗОРНЫЙ ПРИМЕР РАБОТЫ)
E25°00'19,70"
3
4
5
6
7
8
9
10
11
12
13
14
15
16
17
18
19
20
22
23
24
25
N59°26'26,30"
E25°00'19,30"
N59°26'25,90"
E25°00'15,60"
N59°26'27,60"
E25°00'14,70"
N59°26'29,20"
E25°00'13,70"
N59°26'30,50"
E25°00'11,70"
N59°26'32,10"
E25°00'10,80"
N59°26'33,80"
E25°00'10,70"
N59°26'35,30"
E25°00'09,90"
N59°26'36,90"
E25°00'09,60"
N59°26'38,50"
E25°00'09,80"
N59°26'40,00"
E25°00'09,20"
N59°26'42,00"
E25°00'10,30"
N59°26'43,50"
E25°00'10,80"
N59°26'45,10"
E25°00'12,30"
N59°26'43,30"
E25°00'13,20"
N59°26'43,20"
E25°00'14,60"
N59°26'43,40"
E25°00'16,80"
N59°26'43,60"
E25°00'19,20"
N59°26'47,00"
E25°00'10,30"
N59°26'45,10"
E25°00'01,00"
N59°26'43,70"
E25°00'09,50"
N59°26'42,00"
1,2
0,5
1,4
0,7
1,4
1,4
1,7
2,3
1,5
4,6
2,0
4,5
2,0
5,0
2,0
4,3
1,6
4,9
2,0
4,3
2,0
3,8
2,0
3,5
2,0
3,0
2,0
1,0
2,0
1,5
2,0
2,0
2,0
1,5
2,0
0,5
2,0
2,0
2,2
3,0
2,0
3,0
2,0
3,0
89
(ОБЗОРНЫЙ ПРИМЕР РАБОТЫ)

90.

(ОБЗОРНЫЙ ПРИМЕР РАБОТЫ)
E25°00'09,20"
26
27
28
29
30
31
32
33
34
35
36
37
38
39
40
41
42
43
44
45
46
47
N59°26'38,90"
E25°00'08,30"
N59°26'37,40"
E25°00'07,00"
N59°26'35,30"
E25°00'06,40"
N59°26'33,40"
E25°00'06,10"
N59°26'31,60"
E25°00'06,60"
N59°26'29,90"
E25°00'05,40"
N59°26'28,10"
E25°00'04,40"
N59°26'24,60"
E25°00'03,10"
N59°26'21,20"
E25°00'02,30"
N59°26'20,00"
E24°59'55,80"
N59°26'21,60"
E24°59'54,60"
N59°26'24,90"
E24°59'52,90"
N59°26'28,10"
E24°59'50,80"
N59°26'31,60"
E24°59'50,40"
N59°26'34,80"
E24°59'49,20"
N59°26'38,10"
E24°59'47,60"
N59°26'41,30"
E24°59'46,10"
N59°26'44,60"
E24°59'46,80"
N59°26'47,90"
E24°59'47,80"
N59°26'51,20"
E24°59'49,30"
N59°26'54,20"
E24°59'51,70"
N59°26'57,20"
2,0
4,0
2,0
5,0
1,6
4,9
1,6
5,9
1,6
4,6
1,6
3,3
1,5
3,5
1,5
2,0
1,2
1,2
1,2
0,8
1,5
1,5
1,5
2,5
1,7
3,2
2,0
4,0
2,0
5,7
2,0
5,0
2,5
5,3
2,5
5,0
2,5
4,3
2,5
5,0
3,0
4,0
3,0
1,0
90
(ОБЗОРНЫЙ ПРИМЕР РАБОТЫ)

91.

(ОБЗОРНЫЙ ПРИМЕР РАБОТЫ)
E24°59'55,10"
48
49
50
51
52
53
59
60
61
62
63
64
65
66
67
68
69
70
71
72
73
75
N59°26'56,50"
E25°00'01,40"
N59°26'58,00"
E25°00'02,90"
N59°26'59,60"
E25°00'03,20"
N59°26'59,10"
E25°00'12,00"
N59°26'57,40"
E25°00'10,70"
N59°26'55,70"
E25°00'09,40"
N59°26'47,70"
E24°58'53,30"
N59°26'47,40"
E24°58'51,30"
N59°27'03,20"
E25°00'03,80"
N59°27'02,30"
E25°00'02,40"
N59°27'03,00"
E24°59'58,90"
N59°27'02,60"
E24°59'55,30"
N59°27'03,90"
E24°59'53,60"
N59°27'03,70"
E24°59'53,30"
N59°27'02,70"
E24°59'50,60"
N59°27'02,00"
E24°59'50,10"
N59°27'01,70"
E24°59'49,60"
N59°27'01,00"
E24°59'48,60"
N59°27'00,20"
E24°59'49,10"
N59°26'59,70"
E24°59'45,70"
N59°26'58,10"
E24°59'45,50"
N59°26'55,90"
2,8
2,0
2,8
2,0
2,5
1,3
2,0
0
2,0
0
2,5
1,5
1,0
3,0
1,0
0,8
1,5
0
2,0
0,8
2,5
0,8
2,5
2,5
2,5
0
2,5
0,8
3,0
0,2
3,0
0,5
3,0
0,5
2,8
0,8
3,0
1,0
2,5
0
3,0
1,5
3,0
1,5
91
(ОБЗОРНЫЙ ПРИМЕР РАБОТЫ)

92.

(ОБЗОРНЫЙ ПРИМЕР РАБОТЫ)
E24°59'41,60"
76
77
78
79
80
81
82
83
84
85
86
87
88
89
90
91
92
93
94
95
104
105
N59°26'55,50"
E24°59'38,00"
N59°26'54,50"
E24°59'34,90"
N59°26'53,60"
E24°59'31,60"
N59°26'52,70"
E24°59'28,10"
N59°26'51,70"
E24°59'28,70"
N59°26'50,50"
E24°59'24,90"
N59°26'49,50"
E24°59'21,60"
N59°26'51,30"
E24°59'16,60"
N59°26'51,30"
E24°59'14,20"
N59°26'52,80"
E24°59'13,60"
N59°26'51,80"
E24°59'13,90"
N59°26'50,10"
E24°59'07,20"
N59°26'51,90"
E24°59'04,70"
N59°26'52,70"
E24°59'03,60"
N59°26'51,70"
E24°59'04,20"
N59°26'54,00"
E24°59'17,60"
N59°26'52,00"
E24°59'26,30"
N59°26'50,10"
E24°59'34,90"
N59°26'48,20"
E24°59'43,80"
N59°26'52,30"
E24°59'38,60"
N59°26'43,00"
E24°58'56,30"
N59°26'38,60"
2,8
1,5
2,8
1,2
2,8
1,0
2,8
0,7
2,8
1,2
2,8
1,4
2,8
2,5
2,8
1,7
3,0
2,5
2,5
0,7
3,0
1,2
2,5
3,5
2,5
3,0
2,0
0,5
2,5
3,5
2,7
0,5
2,8
1,2
2,7
4,8
2,5
4,7
3,0
1,5
1,2
1,8
1,0
0,5
92
(ОБЗОРНЫЙ ПРИМЕР РАБОТЫ)

93.

(ОБЗОРНЫЙ ПРИМЕР РАБОТЫ)
E24°59'01,60"
106
107
108
109
110
111
113
114
115
116
117
118
119
120
122
123
124
125
126
127
128
129
N59°26'38,80"
E24°59'02,90"
N59°26'38,90"
E24°59'03,40"
N59°26'35,10"
E24°59'09,80"
N59°26'34,40"
E24°59'09,40"
N59°26'30,80"
E24°59'16,00"
N59°26'27,80"
E24°59'23,60"
N59°26'27,90"
E24°59'25,70"
N59°26'28,10"
E24°59'26,40"
N59°26'24,30"
E24°59'32,60"
N59°26'23,80"
E24°59'32,50"
N59°26'21,00"
E24°59'40,40"
N59°26'21,60"
E24°59'41,90"
N59°26'19,30"
E24°59'50,40"
N59°26'19,70"
E24°59'51,30"
N59°26'24,70"
E24°59'51,60"
N59°26'28,70"
E24°59'56,50"
N59°26'26,90"
E24°59'41,10"
N59°26'31,60"
E24°59'39,80"
N59°26'36,40"
E24°59'36,60"
N59°26'41,10"
E24°59'35,20"
N59°26'45,30"
E24°59'33,80"
N59°26'45,20"
1,2
0,6
1,2
1,2
1,2
1,8
1,2
1,0
1,2
1,2
1,2
0,5
1,3
0,7
1,3
1,5
1,2
2,0
1,2
1,1
1,2
0
1,2
1,2
1,2
0,5
1,2
1,0
1,5
1,5
2,0
3,5
1,5
4,0
1,8
5,2
2,2
5,8
2,5
5,5
2,5
5,0
2,0
4,5
93
(ОБЗОРНЫЙ ПРИМЕР РАБОТЫ)

94.

(ОБЗОРНЫЙ ПРИМЕР РАБОТЫ)
E24°59'23,30"
130
131
132
133
134
135
136
137
138
139
140
141
N59°26'40,20"
E24°59'22,40"
N59°26'36,50"
E24°59'23,20"
N59°26'32,50"
E24°59'25,00"
N59°26'42,20"
E24°59'11,30"
N59°26'46,20"
E24°59'12,90"
N59°26'45,20"
E24°59'06,10"
N59°26'53,20"
E24°59'34,30"
N59°26'51,80"
E24°59'32,90"
N59°26'54,00"
E24°59'35,40"
N59°27'01,80"
E24°59'50,00"
N59°27'03,20"
E24°59'52,50"
N59°27'02,10"
E24°59'56,60"
2,0
6,0
2,0
4,5
2,0
3,5
2,2
1,8
2,0
5,0
2,0
2,5
2,8
1,0
3,0
1,5
2,8
1,0
3,0
0,5
3,0
0
2,5
0,5
77● - точки отбора проб
Средняя глубина воды – h = 2,08 м
Средняя мощность продуктивного слоя - m1 = 2,92 м
Средняя мощность слоя залежи в границах забаланса - m2 = 0,7 м
Общий объем продуктивного слоя (естественная влажность W = (91%) –
V = S х m= 1189138,075 м2 х 2.92 м = 3472283,179 м3
Согласно стандарта России (ГОСТ Р 54000-2010) при W=60% условной влаги общие
оценочные запасы донных илов в границах проектируемого горного отвода подсчитаны
по формуле
3е 60% усл. вл. = V*j*(100-Wест./100-Wусл.) = 3472283 х 1.14 (100 – 91)/(10060)= 910433 м3
где:
V – объем илов естественной влажности в границах горного отвода, 3472283 м3
J – объемная масса илов при средней влажности, 1.14 т/м3
94
(ОБЗОРНЫЙ ПРИМЕР РАБОТЫ)

95.

(ОБЗОРНЫЙ ПРИМЕР РАБОТЫ)
Wест. – естественная влага ила (средняя), 91%
Wусл. – влажность конечная ила, 60%
Общий объем забалансового слоя (естественная влажность W = (91%) –
V = S х m= 251757,75 х 0,7 = 176230,425 м3
Согласно стандарта России (ГОСТ Р 54000-2010) при W=60% условной влаги общие
оценочные запасы донных илов в границах забаланса подсчитаны по формуле
3е 60% усл. вл. = V*j*(100-Wест./100-Wусл.) = 176230 х 1.14 (100 – 91)/(10060)= 46208 м3
где:
V – объем илов естественной влажности в границах горного отвода, 176230 м3
J – объемная масса илов при средней влажности, 1.14 т/м3
Wест. – естественная влага ила (средняя), 91%
Wусл. – влажность конечная ила, 60%
95
(ОБЗОРНЫЙ ПРИМЕР РАБОТЫ)

96.

(ОБЗОРНЫЙ ПРИМЕР РАБОТЫ)
Рис. 9. Геологическая карта озерного месторождения илов «Боровое»
Уточненная площадь озера Боровое по зеркалу воды:
Sзер.оз = 61900,909•25=1547522,725 м2
Уточненная площадь озера под балансовыми запасами сапропеля, подлежащих
извлечению:
Sбал.з = 47565,523•25=1189138,075 м2
Уточненная площадь озера под забалансовыми запасами сапропеля, подлежащих
извлечению
Sзаб.з = 57635,833 25-1189138,075=251757,75 м2
Уточненный обьем воды в озере на 26 марта 2014 г.
96
(ОБЗОРНЫЙ ПРИМЕР РАБОТЫ)

97.

(ОБЗОРНЫЙ ПРИМЕР РАБОТЫ)
Vводы = Sзер.оз•h = 1547522,725•2,08=3218847,268 м3
Уточненный обьем балансовых запасов сапропеля в озере:
Vбал.з = Sбал.з•m1 = 1189138,075•2,92=3472283,179 м3
Уточненный обьем забалансовых запасов сапропеля в озере:
Vзаб.з = Sзаб.з•m2 = 251757,75•0,7=176230,425 м3
97
(ОБЗОРНЫЙ ПРИМЕР РАБОТЫ)

98.

(ОБЗОРНЫЙ ПРИМЕР РАБОТЫ)
Рис. 10. Определение площади месторождения донного ила в границах промышленной глубины 1.0 м
Рис. 11. Геологические продольные и поперечные разрезы месторождения «Боровое» с границей
промышленной глубины залежи 1.0 м.
В задачу полевых оценочно-поисковых работ для уточнения данных по озерным
донным отложениям входило:
98
(ОБЗОРНЫЙ ПРИМЕР РАБОТЫ)

99.

(ОБЗОРНЫЙ ПРИМЕР РАБОТЫ)
1. визуальное ознакомление с месторождением, его современным видом, выявление
береговой инфраструктуры, подъездных путей, залесенности и застроенности берега,
2. проверочные замеры глубин воды и мощности слоя донного ила,
3. отбор валовых проб донных илов по выборочным точкам зондирования и замеров с
целью проведения лабораторных анализов для выдачи заказчику заключения о
пригодности сырья для производства на его основе органо-минеральных удобрений в
пастооразном, сыпучем, гранулированом и таблетированном виде.
4. подтверждение полученных аналитическим путем данных замеров глубин, мощности
иловой залежи месторождния.
В задачу камерально-лабораторных работ включалось проведение анализов
отобранных на месторждении точечных и валовых проб, выдача заключения о
пригодности отобранного материала в качестве сырья для производста органоминеральных удобрений. За основу принят ГОСТ Р 54000-2010.
Полевые работы проводились в конце марта 2014 г. бригадой из 3 человек с
применением 12-метрового пробоотборника желоночного и шнекового типа.
Рис. 12. Отбор проб донных илов на исследуемом месторождении ж елоночным пробоотборником
Работы осуществлялись из резиновой лодки. В результате были определены и
уточнены нулеыая и промышленная границы продуктивного слоя донного ила сапропеля, подтверждены максимальные и средние глубины воды и мощности слоя,
отобраны точечные и валовые пробы сапропеля на лабораторный анализ. Пробы общим
весом 30 кг доставлены в лабораторию в г. Астрахань. Россия. Это позволило с высокой
достоверностью судить о количестве и качестве донных илов на водоеме, уточнить
геологическую карту месторождения, продольный и поперечные геологические разрезы
по озеру. Месторождение оконтурено нулевой границей и границей промышленной
глубины полезного слоя равной 1.0 м. Это значение принято исходя из размеров
породозаборного механизма добычного оборудования, которое при положительных
99
(ОБЗОРНЫЙ ПРИМЕР РАБОТЫ)

100.

(ОБЗОРНЫЙ ПРИМЕР РАБОТЫ)
результатах анализов отобранных проб может быть применено для очистки водоема от
заиления и извлечения илов для их переработки в товарный продукт.
Геологическая информация по данному месторождению представлена Графическим
приложением к данному Отчету. Приложения выполнены в программах SasPlanet и
Kompas 3D V13. Данные программы прилагаются Заказчику вместе с информационным
материалом на CD.
За основу лабораторных исследований принимались ГОСТы СНГ, России и Беларуси.
Основной - ГОСТ Р 54000-2010 от 01.01.2012 г.
Лабораторно определялись:
1. Естественная влажность проб, количество органического вещества, массовая
доля золы, азот аммиачный, нитратный и общий, фосфор и калий подвижные,
фосфор и калий общий, реация среды, свинец, цинк, кадмий, мышьяк, ртуть,
медь,др.
2. Определялось радиоактивное загрязнение природными и техногенными
радионуклидами.
3. Технологические параметры донных илов – диапазон влажности сырья для
гранулирования, возможность таблетирования, усушка гранул и таблеток,
параметры сушки, процент брака при сушке, требуемый диаметр гранул, угол
естественного откоса сапропеля, агрессивность среды для тары, складские
параметры готовой продукции, образвание сводов в бункерах, слипаемость
сырых гранул, разрушаемость гранул при транспортировке, складировании,
погрузочно-разгрузочных работах, срок хранения готовой продукции, др.
4. Определялось бактериальное загрязнение донного ила (сапропеля) водоема.
6. Данные по лабораторным исследованиям донных илов месторождения «Боровое»
Исследуемые образцы проб упаковывались на месте их взятия в герметичные
полиэтиленовые пакеты в естественном виде. До проведения лабораторных
исследований они хранились в герметичном виде упаковке при температуре +3+12*С.
Лабораторные работы проводились в лаборатории в г. Астрахань. Погрешность
измерений находилась в пределах возможных допусков.
Исследованиям подвергались все пробы донных илов водоема из точек зондирования.
Из точечных проб готовились валовые образцы для исследований, которые в
последствии подвергались лабораторному анализу. Перспективными к разработке по
промышленной мощности слоя и запасам могут быть только донные илы мощностью 1,0
и более метров. Из отобранных проб на водоеме подготовлены также технологические
валовые пробы и переданы в лабораторию Центра по сапропелю для получения
технологических характеристик донных илов.
Данные характеристики необходимы для принятия решений по ассортименту
выпускаемой продукции, ее вида, определения технологичности процессов добычи,
транспортировки, переработки и фасовки.
100
(ОБЗОРНЫЙ ПРИМЕР РАБОТЫ)

101.

(ОБЗОРНЫЙ ПРИМЕР РАБОТЫ)
На основании полученных данных сделаны Выводы, изложенные ниже и подготовлены
образцы продукции. которую в последствии можно будет выпускать из донных илов
месторождения «Боровое».
Рис. 13. Валовая проба донного ила на общий физико-химический анализ
В лабораторию, таким образом, были передана валовая проба продуктивного слоя как
наиболее вероятного сырья при производстве удобрений, приготовленная из донных
илов всех точек зондирования №1-141 как наиболее перспективных по мощности
залегания.
Рис.14. Валовая проба донного ила на бактериальное загрязнение
Таблица 19
101
(ОБЗОРНЫЙ ПРИМЕР РАБОТЫ)

102.

(ОБЗОРНЫЙ ПРИМЕР РАБОТЫ)
102
(ОБЗОРНЫЙ ПРИМЕР РАБОТЫ)

103.

(ОБЗОРНЫЙ ПРИМЕР РАБОТЫ)
Данные по лабораторному анализу бактериального загрязнения и загрязнения илов
пестицидами приведены в таблицах ниже.
Таблица 20
103
(ОБЗОРНЫЙ ПРИМЕР РАБОТЫ)

104.

(ОБЗОРНЫЙ ПРИМЕР РАБОТЫ)
104
(ОБЗОРНЫЙ ПРИМЕР РАБОТЫ)

105.

(ОБЗОРНЫЙ ПРИМЕР РАБОТЫ)
Рис. 15. Образец донного ила валовой пробы для проведения анализов на радиоактивное загрязнение
Таблица 21
105
(ОБЗОРНЫЙ ПРИМЕР РАБОТЫ)

106.

(ОБЗОРНЫЙ ПРИМЕР РАБОТЫ)
106
(ОБЗОРНЫЙ ПРИМЕР РАБОТЫ)

107.

(ОБЗОРНЫЙ ПРИМЕР РАБОТЫ)
7. ГОСТ на органоминеральные удобрения и заключение о пригодности
Целью проведения поисково-оценочных работ на озере Боровое является
подсчет объема извлечения донного ила при экологической очистке, определения
условий его залегания и определение возможности использования донных илов
(сапропеля) исследуемой территории в качестве удобрений
Полученные лабораторные показатели интерпретированы и сравнены с
существующими стандартами (ГОСТами) на данный вид продукции.
Заказчика, в первую очередь, интересует возможность использования
исследуемого донного ила (сапропеля) в качестве сапропелевых органо-минеральных
удобрений в пастообразном, сыпучем, гранулированном, таблетированном виде.
Ценность органического донного ила или сапропелей для удобрений
определяется широким набором минеральных элементов питания, содержанием общих
и подвижных форм азота, фосфора, калия, железа, серы, микроэлементов,
благоприятной реакцией среды (рН), а также наличием значительных количеств
гуминовых и легкогидролизуемых веществ. Содержание гуминовых веществ в
органической массе варьирует в пределах 12-17%, в том числе, на долю гуминовых
кислот приходится 4-45%. Азота в органическом веществе сапропелей содержится 36%, углерода – 42-66%.
В составе органических донных илов имеются различные биологически активные
вещества (каротин, витамины и др.). Микроэлементы присутствуют в них в
количествах, приближающихся к сбалансированным для потребления растениями – от
1*10-5 до 1*10-2% на сухое вещество; подвижные формы составляют от 5 до 50% от
валовых. Тяжелые металлы (Pb, Sn,Cd, Hg и др.) отсутствуют или имеются в
количествах, не оказывающих токсического действия на растения.
Основываясь на многолетнем опыте использования торфа и навоза в нашей
стране важнейшими характеристиками илового и сапропелевого сырья для удобрений
приняты: общий уровень зольности и состав минеральной части – количество
соединений железа, серы, карбонатов кальция, уровень кислотности (рН).
Основным ГОСТом, являющимся определяющим при подготовке Заключения о
пригодности донного ила в качестве удобрений или удобрительной смеси – сапропеля
является ГОСТ Р 54000-2010 от 30 ноября 2010 г. Дата введения в действие –
01.01.2012 г.
107
(ОБЗОРНЫЙ ПРИМЕР РАБОТЫ)

108.

(ОБЗОРНЫЙ ПРИМЕР РАБОТЫ)
108
(ОБЗОРНЫЙ ПРИМЕР РАБОТЫ)

109.

(ОБЗОРНЫЙ ПРИМЕР РАБОТЫ)
109
(ОБЗОРНЫЙ ПРИМЕР РАБОТЫ)

110.

(ОБЗОРНЫЙ ПРИМЕР РАБОТЫ)
110
(ОБЗОРНЫЙ ПРИМЕР РАБОТЫ)

111.

(ОБЗОРНЫЙ ПРИМЕР РАБОТЫ)
Таблица 22
111
(ОБЗОРНЫЙ ПРИМЕР РАБОТЫ)

112.

(ОБЗОРНЫЙ ПРИМЕР РАБОТЫ)
112
(ОБЗОРНЫЙ ПРИМЕР РАБОТЫ)

113.

(ОБЗОРНЫЙ ПРИМЕР РАБОТЫ)
113
(ОБЗОРНЫЙ ПРИМЕР РАБОТЫ)

114.

(ОБЗОРНЫЙ ПРИМЕР РАБОТЫ)
114
(ОБЗОРНЫЙ ПРИМЕР РАБОТЫ)

115.

(ОБЗОРНЫЙ ПРИМЕР РАБОТЫ)
115
(ОБЗОРНЫЙ ПРИМЕР РАБОТЫ)

116.

(ОБЗОРНЫЙ ПРИМЕР РАБОТЫ)
116
(ОБЗОРНЫЙ ПРИМЕР РАБОТЫ)

117.

(ОБЗОРНЫЙ ПРИМЕР РАБОТЫ)
117
(ОБЗОРНЫЙ ПРИМЕР РАБОТЫ)

118.

(ОБЗОРНЫЙ ПРИМЕР РАБОТЫ)
118
(ОБЗОРНЫЙ ПРИМЕР РАБОТЫ)

119.

(ОБЗОРНЫЙ ПРИМЕР РАБОТЫ)
8. Технологические характеристики донного ила исследуемого месторождения
Работы проводились лабораторией Центра по сапропелю (г. Астрахань, Россия.
www.saprex.ru и www.sapropex.ru для разработки рекомендаций по выбору технологии
очистки оз. Боровое от заиления и переработки извлекаемого донного ила (сапропеля)
исследуемого месторождения в те или другие удобрения и удобрительные смеси).
Анализы проводились на гранулометрический состав сырья и его влажность,
промораживаемость образца, определялись критические значения этих параметров при
которых материал может гранулироваться, образовывая прочную гранулу, фасоваться в
тару не образовывая сводов в бункере-дозаторе и не слеживаясь в расфасованном
виде.
Как разновидность гранулирования – таблетирование донного ила и смесей на его
основе требует получения показателей усушки таблеток, данных по начальной и
конечной влажности сырья, при которых таблетка способна отдавать полезные
вещества, растворяться в почвенной воде, не трескаться от пересыхания и быть
устойчивой к механическим воздействиям при погрузочно-разгрузочных работах,
транспортировке и хранению.
Максимальное количество воды, которое в состоянии удержать материал, для донного
ила колеблется в широких пределах и определяется уровнем начальной влажности и
количеством органического вещества. Максимальная молекулярная влагоемкость
исследуемого сапропеля изменяется в пределах 64-98% и гораздо выше, чем у
обычной глины.
119
(ОБЗОРНЫЙ ПРИМЕР РАБОТЫ)

120.

(ОБЗОРНЫЙ ПРИМЕР РАБОТЫ)
Плотность донного ила зависит от его влажности и зольности. В естественных условиях
и, особенно, в верхних слоях залежи она незначительна и почти такая же, как у воды.
С увеличением зольности и с уменьшением влажности плотность увеличивается.
Однако, по данным лабораторного эксперимента, для промороженных донных илов
объемная масса с уменьшением влажности уменьшается. Это также подтверждается и
литературными данными. (А.И.Фомин «Технология добычи местных удобрений»,
М.1969 г. Издательство Высшая школа)
Так как сухая масса донного ила (сапропеля) исследуемого объекта содержит менее 50
% золы, то исследуемое сырье является монозольным. Поэтому его коэффициент
фильтрации колеблется в пределах 0,0011-0,0021 м/сутки и 3-5 раза меньше, чем у
кремнеземистого сапропеля и 5-7 раз меньше, чем у сапропелевого торфа.
Коэффициент фильтрации играет весьма большую роль при намыве его в складыотстойники (на фильтрационное поле).
ВЫВОД 1. При обезвоживании донных илов исследуемого месторождения влажностью
более 85% в технологическом процессе путем вымораживания высота слоя намыва на
фильтрационное поле (склад-отстойник) рекомендуется не выше высоты сезонного
промораживания грунта в месте расположения производства, т.е от 0,5 до 0,8 м. При
обезвоживании донного ила влажностью менее 70% в технологическом процессе
путем вымораживания высота слоя намыва на фильтрационное поле (склад-отстойник)
может составлять более 1,5 м. Процесс обезвоживания сводится к промораживанию и
промежуточной аэрации массы для формирования рассыпчатой структуры. При
естественной влажности пробы добыча илов земснарядами на месторождении
целесообразна при наименьшем заборе количества воды, т.е. шнековыми или
винтовыми механизмами породозабора. Наиболее эффективный способ добычи в
данном случае – шнековый, позволяющий производить очистку водоема от заиления на
глубину до 10 м, транспортировать илы по трубопроводу на расстояние до 1500 и более
метров с реальной производительностью установки до 35-45 м3/час.
Рис. 16. Земснаряд винтовой (шнековый) для очистки водоемов от заиления
Учитывая недостаточность площадей на берегу озера для размещения складовотстойников и невозможности возведения складских помещений под уже обезвоженный
120
(ОБЗОРНЫЙ ПРИМЕР РАБОТЫ)

121.

(ОБЗОРНЫЙ ПРИМЕР РАБОТЫ)
сапропель целесообразным является применение технологии обезвоживания в
контейнерах geotube, которые в дальнейшем могли бы служить и складами
подготовленного сапропеля к переработке в удобрения.
Рис. 17. Используемые для добычи донных илов шнековые земснаряды российского производства, проекта
258.60-2СШ и 6000.
В лабораторных условиях валовая проба с объекта весом в 3.5-4 кг подвергались 10дневному промораживанию при температуре -12*С и -18*С. После оттаивания донный
ил отдавал воду и превращался в сыпуче-рассыпчатую массу.
Липкость и сцепление между частицами ила уменьшились на 66-87%. Это говорит о
том, что данный процесс в 10-дневный срок промораживания вполне результативен и
не требует двукратного цикла «промораживание-оттаивание» или сезонного
природного промораживания, что весьма проблематично в технологическом процессе
для данного региона. В Казахстане по данным Гидрометеостата достаточно морозных
зимних дней для осуществления процесса промораживания илов в промышленных
масштабах, однако они наступают не всегда, не каждый год.
После двукратного промораживания масса образцов на стационарной или навесной
просеивающей ковшовой дробилке легко превращается в рыхлую, насыщенную
кислородом субстанцию. Для промышленной аэрации и измельчения целесообразно
применение ковшовых дробилок российского производства.
121
(ОБЗОРНЫЙ ПРИМЕР РАБОТЫ)

122.

(ОБЗОРНЫЙ ПРИМЕР РАБОТЫ)
Рис. 18. Донный ил валовой пробы перед промораживанием в холодильнике
Рис. 19 Донный ил замороженный при температуре -18*С и выдержанный в холодильнике 10 дней
Набухание донного ила (сапропеля) исследуемых проб, т.е. способность его впитывать
воду и увеличивать свой объем. Опытами в лаборатории показано, что по объему и
влажности сапропель оз. Боровое обладает значительными значениями увеличения
объема при увлажнении. Максимальное значение данной величины определялась в
пределах 88-246%. Это связано с значительным содержанием органической фракции и
низким содержанием неорганического вещества.
Данный показатель набухания для удобрений и удобрительных грунтов находится на
границе верхних допустимых значений, поэтому не требуется при производстве
удобрительных грунтов на основе сапропелей исследуемого водоема смешивать их с
органическим веществом, обладающим большей набухаемостью, например,
безподстилочным навозом или мелкодисперсным торфом, органическими отходами.
Данные характеристики показывают, что сапропель оз. Боровое, как сырье. вполне
пригоден для производства сорбентов, наполнителей туалета для животных,
фильтроматериалов при очистке городских сточных вод, оборотных вод автомоек и
заправочных станций. Если же дополнительно к сапропелю домешивать распущенную
до микрон солому, торф, сено, то можно уверенно говорить о том, что полученные
сухие гранулы из данной смеси вполне могут быть пригодны в качестве сорбентов и
сорбирующих и фильтроматериалов, а также рекультивантов и почвообразователей,
способных очищать загрязненные нефтью земли, убирать засоленность территорий.
Линии производства такой продукции на основе сапропеля уже разработаны Центром
по сапропелю и готовы к внедрению в производственных целях.
122
(ОБЗОРНЫЙ ПРИМЕР РАБОТЫ)

123.

(ОБЗОРНЫЙ ПРИМЕР РАБОТЫ)
Для доисследования этого направления потребуется 2-3 мес. и около 11220 евро
капитальных вложений. Первые полученные данные по исследованиям сапропеля оз.
Боровое показывают реалистичность и экономическую выгоду от производства
продукции из озерного сырья.
Базовые комплексы оборудования для производства сапропелевого гранулированного и
таблетированного сорбента, капсульного рекультиванта и почвообразователя
представлены ниже.
Рис.20. Оборудование линии производства таблетированного сорбента из сапропеля оз. Боровое
123
(ОБЗОРНЫЙ ПРИМЕР РАБОТЫ)

124.

(ОБЗОРНЫЙ ПРИМЕР РАБОТЫ)
Рис.21. Сапропелевый сорбент в виде таблеток. Оз. Боровое
Рис.22 Линия производства гранулированного сорбента на основе сапропеля естественной влажности оз.
Боровое и сухой органики, такой как торфа, соломы, сена.
124
(ОБЗОРНЫЙ ПРИМЕР РАБОТЫ)

125.

(ОБЗОРНЫЙ ПРИМЕР РАБОТЫ)
Рис.23. Сапропелевый сорбент в виде сыпучей крошки. Оз. Боровое
Рис.24. Линия производства капсульного почвообразователя на основе сапропеля оз. Боровое и органики
Рис. 25. Капсульный почвообразователь для очистки земель от нефтезагрязнений и солеподавления
125
(ОБЗОРНЫЙ ПРИМЕР РАБОТЫ)

126.

(ОБЗОРНЫЙ ПРИМЕР РАБОТЫ)
Дисперсность донного ила представленной валовой пробы уточняется
седиментометрическими анализами. В среднем содержание частиц с размерами до 1 мк
(т.е. коллоидные частицы) 27-41%, с размерами от 1 до 5 мк (частицы обращающие
гели) 14-20%, с размерами от 5 до 50 мк (фракция пылеватых частиц) 12-23%, с
размерами выше 50 мк (величины мелкого песка) 1-8%.
Дисперсность показывает, что донный ил исследуемого месторождения является
полидисперсной системой. Каждая из выше указанных фракций содержит значительное
количество органических веществ, а именно следующие:
- до 5 мк аморфную органическую массу;
- от 5-50 мк – остатки насекомых, частицы раков, ракушки, водорослей;
- 50 мк и выше – остатки высших растений, главным образом, семена, частицы листьев,
стеблей, корешков и др.
ВЫВОД 1-1. Верхний слой сапропелвой залежей исследуемого месторождения
представлен слабосвязной коллоидной массой, технологически пригоден для
производства на его основе пастообразных, сыпучих, гранулированных и
таблетированных удобрительных смесей без его предварительного смешения,
компостирования и/или измельчения. Требуется только кавитационное смешение для
придания материалу однородности. Мощность этого слоя колеблется от 0,5 до 1.2 м, а
местами и до 1,5 м и неоднородна по площади залегания. Данный слой может
использоваться в качестве сырья для производства высококачественных пастообразных
и сыпучих удобрений и удобрительных смесей.
Рис.26. Пастообразное и сыпучее удобрения из сапропеля оз. Боровое
Пластичность донных илов исследуемого месторождения с увеличением зольности
падает примерно 1.5-2.2 раза.
Сцепление (т.е. липкость) донного ила с деревом или сталью по опытным данным
лаборатории Центра по сапропелю больше, чем внутреннее сцепление его частиц
между собою и достигает максимума при влажности 64-78%. Более влажный и менее
влажный сапропель менее липкий. Липкость сапропеля сокращается при его
промораживании, а в случаях двух-четырехкратного промораживания при температуре
от -12*С до -18*С она уменьшается в разы. Органический сапропель месторождения
уже после однократного промораживания полностью теряет свою липкость.
126
(ОБЗОРНЫЙ ПРИМЕР РАБОТЫ)

127.

(ОБЗОРНЫЙ ПРИМЕР РАБОТЫ)
ВЫВОД 2. Большая липкость сапропеля валовой пробы улучшает возможности
использования его в качестве клеящих веществ, например, для изготовления
гранулированных и таблетированных удобрений и удобрительных смесей, без
употребления энергоемких с большим давлением прессов. Несмотря на зольность,
донный ил рассматриваемого месторождения можно использовать в качестве клеящего
вещества для образования гранул и таблеток удобрительных смесей, садовой земли,
рекультиванта или сорбента. Кроме того, липкость илов предоставленной пробы сильно
зависит от выдержки предмета в нем. Например, без выдержки предмета в иле усилие
для сдвига предмета по массе было 0,021-0,272 г/см2, то после выдержки одни сутки то
же самое усилие увеличилось до 1.41-8.21 г/см2, т.е. 40-50 раз.
Рис. 27. Виды продукции из сырья месторождения «Боровое»
ВЫВОД 3. Сапропель месторождения органического класса и пониженным содержанием
неразложившихся останков растений технологически пригоден для производства
различных видов сорбентов и наполнителя туалета для животных.
После нарушения структуры (т.е. применяя механическое рыхление) сцепление
сапропеля с предметом уменьшается. Поэтому, всегда выгодно сапропель (при его
сушке на фильтрационное поле) рыхлить и аэрировать путем измельчения и
просеивания в ковшовых дробилках. Это уменьшает его липкость и прочность,
сокращает сопротивление к измельчению и ускоряет сушку.
ВЫВОД 4. Для расфасовки продукции из сапропеля в мешки или пакеты в сыпучем
состоянии о б я з а т е л ь н о предварительное рыхление и просеивание в ковшовой
дробилке типа Allu или ей аналогичной российского производства непосредственно в
складах-отстойниках или намывных площадях.
Для данного вида продукции целесообразен технологический процесс подготовки с 2-3
– кратным просеиванием в буртах и перед фасовкой. В процессе промораживания
сапропель целесообразно 1-2 раза рыхлить и просеивать перед фасовкой.
127
(ОБЗОРНЫЙ ПРИМЕР РАБОТЫ)

128.

(ОБЗОРНЫЙ ПРИМЕР РАБОТЫ)
Рис. 28. Продукция из сапропеля оз. Боровое и ее расфасовка в мешки или пакеты
ВЫВОД 5. При изготовлении гранул удобрений и удобрительных смесей с
использованием сапропеля повышенного содержания органики (от 30%) он играет
двоякую роль: а) роль прибавок, б) роль клеящего вещества.
Используя в качестве клеящего вещества сапропель не надо сушить полностью.
Минимальное количество влаги в нем в данных целях не менее – 50%. Такие свойства
сапропеля проявляются практически во всей массе исследуемых проб. Наибольшим
значением липкости и сцепления при этом между частицами в сапропеле обладают
пробы нижних слоев обводненных территорий. Сапропель оз. Боровое хорошо
гранулируется при влажности 60-72% шнековым гранулятором. Эффективным может
быть способ гранулирования с добавлением в общую массу мелкодисперсных или
пастообразных разрыхлителей (торфа, доломита, др.)
Необходимо отметить еще одно свойство влажного сапропеля исследуемого
месторождения, т.е. его влияние на тару, которая изготовлена из органического
вещества, например: мешковины, бумаги, ткани из шерсти, шелка, хлопка, льна и
конопли. Ткани под воздействием ила исследуемых проб теряют свою прочность и
разлагаются-рассыпаются в течении одного месяца и меньше. Это свойство
объясняется воздействием микроорганизмов, которые действуют в нем и при комнатных
температурах от +18*С до +28*С весьма бурно развивают свои действия.
ВЫВОД 6. Рекомендуется использовать полиэтиленовые вкладыши в применяемую тару
или специальную тару, например, ведра ПХВ. Особенно при хранении или дальних
перевозках.
128
(ОБЗОРНЫЙ ПРИМЕР РАБОТЫ)

129.

(ОБЗОРНЫЙ ПРИМЕР РАБОТЫ)
Рис. 29. Тара для фасовки удобрений из сапропеля оз. Боровое и продукции на их основе
Водоотдача проб сапропеля в процессе сушки показывает, что интенсивность
испарения свободной воды равна 98-178 мг/ см2 в час. Нижний предел содержания
свободной зоны отмечается заметным уменьшением скорости водоотдачи при
относительной влажности 45-50%. Верхняя граница содержания физически связанной
воды определяется величиной максимальной молекулярной влагоемкости, равной 3578%.
Прочносвязанная вода выявляется по величине гигроскопической влажности, которая
составляет 6%. С возрастанием содержания органических веществ увеличивается
гигроскопическая влажность.
Сапропель обладает значительно выраженной способностью к усадке при уменьшении
их влажности. Величина усадки пробы сапропеля составляет 68-240% от их начального
объема. Удельный объем твердой фазы при этом уменьшается в 3-6 раз.
Противоположный процесс - набухание никогда не достигает первоначального объема
и является невозвратимым процессом. Однако, сапропель имеет способность впитывать
и удерживать в себе влагу, которая составляет до 220-240% от его сухого состояния.
Интересно и то, что сапропель месторождения в жидком и пастообразном виде хорошо
сохраняет свои качества и легко передает их растениям. Чем выше гигроскопичность
их частиц, тем интенсивней и полно усвояемость микро- и макро элементов.
Это свойство позволяет также использовать сапропель месторождения «Боровое» в
качестве удобрений в жидком и пастообразном виде.
ВЫВОД 7. Лабораторные определения усадки готовой продукции, такой как таблетки из
сапропеля показали следующие конечные значения: таблетка диаметром 22 мм –
усадка – стала 8,0 мм
С течением времени сапропель и смеси на его основе постепенно все более и более
затвердевает, т.е. упрочняются, что является следствием процессов тиксотропии и
синерезиса.
При таблетировании смеси из сапропеля максимальный диаметр таблетки определен по
пробе в 22 мм. При дальнейшем увеличении диаметра таблетки, например, 45 мм, она
растрескивается, становится деформированной, ломкой и плохо фасуется в микротару.
129
(ОБЗОРНЫЙ ПРИМЕР РАБОТЫ)

130.

(ОБЗОРНЫЙ ПРИМЕР РАБОТЫ)
Отмечается изгиб самой таблетки в плоскости, неравномерное высыхание, крошение.
Выход брака после сушки до 21%, после погрузочно-разгрузочных работ: 35-40%.
Рис. 30. Виды фасовки пастообразной продукции, которую можно использовать при производстве удобрений
из сырья месторождения Боровое
На основании проведенных технологических исследований продуктивного слоя
сапропеля к производству выбраны такие виды продукции как: удобрения в
пастообразном, сыпучем и гранулированном, таблетированном виде нефракционного и
фракционного состава. Получены положительные результаты для отработки технологии
мелкого производства таблетированных удобрений в микроупаковке, пастообразных и
сыпучих удобрений в промышленном масштабе.
Для отработки промышленной технологии производства гранулированной и
таблетированной продукции из сапропеля месторождения потребуются дополнительные
исследования и отработка технологического процесса сначала в лабораторных, а после
и в промышленных условиях. Для выполнения данных работ необходимо 75-130 л
сапропеля естественной влажности. По времени работы займут около 1-2 месяцев и
потребуется финансирование в сумме 12000 евро.
Полученные лабораторные результаты технологических параметров производственных
процессов позволяют на стадии уточненной поисковой-оценки рекомендовать наиболее
подходящие способы и оборудование для добычи, переработки и фасовки сапропеля
озера Боровое в товарную продукцию.
Данные лабораторных исследований можно использовать в подготовке проектных
решений по производственному технологическому циклу.
130
(ОБЗОРНЫЙ ПРИМЕР РАБОТЫ)

131.

(ОБЗОРНЫЙ ПРИМЕР РАБОТЫ)
ЗАКЛЮЧЕНИЕ О ПРИГОДНОСТИ
Заключение о пригодности подготовлено на основании требований ГОСТР 54000-2010
от 01.01.2012 г.
Залежи донных илов месторождения «Боровое». Зондирование мощности слоя донного
ила и отбор проб на лабораторный анализ произведен по 124 точкам. Достоверные
запасы донных илов естественной влажности, подлежащих выемке:
Vбал.з = 3472283 м3
Vзаб.з = 176230 м3
По содержанию тяжелых металлов донные илы залежи месторождения «Боровое»
относятся к II классу пригодности. В валовой пробе сапропеля оз. Боровое отмечается
повышенное содержание цинка.
По физико-химическим показателям и безопасности донные илы оз. Боровое в
производстве удобрений и удобрительных смесей относится к сапропелям
органического вида. Показатель калия при определении его в пробе можно отнести
значению, обусловленному погрешностью проведения исследований.
По показателям загрязнения радионуклидами как природного так и техногенного вида
донные илы относятся к чистым не подвергнутым загрязнению.
Загрязнений пестицидами, бактериями группы кишечной палочки, энтерококками,
патогенными бактериями, в т.ч. и сальманеллы в донных илах нет.
Паразитологические показатели донного ила оз. Боровое, такие как яйца гельминтов,
цисты кишечных патогенных простейших, личинок и куколок синантропных мух не
обнаружено.
ДОННЫЕ ИЛЫ ОЗ. БОРОВОЕ могут быть отнесены к сапропелям как сырье для
производства удобрений и удобрительных смесей.
ДОННЫЕ ИЛЫ ОЗ. БОРОВОЕ могут быть отнесены к органическому компоненту для
производства сапропеле-органических смесей и удобрений в пастообразном, сыпучем,
гранулированном и таблетированном виде.
131
(ОБЗОРНЫЙ ПРИМЕР РАБОТЫ)

132.

(ОБЗОРНЫЙ ПРИМЕР РАБОТЫ)
132
(ОБЗОРНЫЙ ПРИМЕР РАБОТЫ)

133.

(ОБЗОРНЫЙ ПРИМЕР РАБОТЫ)
Рис. 31. Удобрения из донного ила - сапропеля месторождения «Боровое»
ПРЕДВАРИТЕЛЬНОЕ ТЕХНИКО-ЭКОНОМИЧЕСКОЕ ЗАКЛЮЧЕНИЕ
Проектная естественная окупаемость бизнеса по очистке водоема с подтвержденными
запасами озерных илов, подлежащих выемке и переработке в товарный продукт в
переводе на 60% влажность – не более 4.5 года, ожидаемая рентабельность – более
65%, а себестоимость утилизации озерных илов производством из них продукции – не
более 37,5 евро/м3
Продажная цена продукции на европейском и восточном рынке подтвержденного
лабораторией качества:
- в сыпучем виде - от 76 до 220 евро/1000 л
- в гранулированном виде – от 420 до 670 евро/1000 л
- в таблетированном виде – от 770 до 1200 евро/1000 л
- в пастообразном виде – от 320 до 400 евро/1000 л
и зависит от вида расфасовки, глубины переработки и придания ей товарного вида,
используемой тары и упаковки.
ПРОЕКТИРОВАНИЕ ПОЛНОГО ЦИКЛА ПЕРЕРАБОТКИ САПРОПЕЛЯ В ТОВАРНУЮ
ПРОДУКЦИЮ
Проектирование бизнеса по времени займет не более 2 мес. Его стоимость при
производственной мощности 12 тыс. м3/год готовой продукции в год и ассортименте из
4 видов с расфасовкой в открытые полиэтиленовые мешки 20-50 л, ведра ПХВ – 2,5-36
л, биг бэги 500-2000 л составит 10250 евро.
9. Рекомендации по применению технологии утилизации донных илов – сапропеля оз.
Боровое путем производства товарной продукции
Согласно Заключения и Выводам в Отчете донные илы озера Боровое пригодны к
переработке и производству из них пастообразных. сыпучих, гранулированных и
133
(ОБЗОРНЫЙ ПРИМЕР РАБОТЫ)

134.

(ОБЗОРНЫЙ ПРИМЕР РАБОТЫ)
таблетированных сапропелевых, сапропеле-торфяных, сапропеле-органических
удобрений, сорбентов – наполнителя туалета для животных, фильтроматериала для
очистки сточных вод автомоек и автозаправок.
Базовый комплект оборудования включает в себя: загрузочные бункеры 1 и 2 для
составных компонентов удобрений, дробилки-измельчителя 3 органики как составного
компонента, транспортера 4 измельченной органики (торфа) и трубопровода 5 подачи
сапропеля на диспергатор-смеситель 6 «ВИГА-ТУРБО» ДС–1099–3000, транспортера 7
загрузочного бункера дозатора 8 фасовочного узла в открытые мешки 9 или дозатора 10
фасовочного узла 11 в мягкие контейнеры.
Рис. 32. Общий вид цеха переработки сапропеля и органических составляющих в удобрения
134
(ОБЗОРНЫЙ ПРИМЕР РАБОТЫ)

135.

(ОБЗОРНЫЙ ПРИМЕР РАБОТЫ)
Рис. 33. Общий вид загрузочных бункеров 1 и 2 сапропеля и органических составляющих комплекса
Рис. 34. Общий вид диспергатора-смесителя 6 «ВИГА-ТУРБО» ДС–1099–3000 для составляющих компонентов
при производстве удобрений
135
(ОБЗОРНЫЙ ПРИМЕР РАБОТЫ)

136.

(ОБЗОРНЫЙ ПРИМЕР РАБОТЫ)
Рис. 35. Общий вид фасовочного узла 11 для сыпучего удобрения в мягкие контейнеры
Рис. 36. Общий вид фасовочного узла 9 сыпучих удобрений в открытые мешки
136
(ОБЗОРНЫЙ ПРИМЕР РАБОТЫ)

137.

(ОБЗОРНЫЙ ПРИМЕР РАБОТЫ)
Рис. 37. Общий вид цеха таблетирования сапропеля
Рис. 38. Общий вид цеха гранулирования сапропеля
10. Рекомендации по выбору технологии экологической очистки оз. Боровое и добычи
донных илов
ВИНТОВОЙ ЗЕМСНАРЯД ДЛЯ ДОБЫЧИ ДОННЫХ ИЛОВ И САПРОПЕЛЯ
проекта 258.60-1СШ
Предназначается для очистки водоемов от заиления, добычи донных лечебных илов и
сапропеля. Преимущества оборудования: извлечение материала естественной
влажности при мощности слоя залегания не менее 0,7 м и не более чем с 10 м глубины.
Подача извлеченной массы по пульпопроводу на расстояния - до 1.5 км.
137
(ОБЗОРНЫЙ ПРИМЕР РАБОТЫ)

138.

(ОБЗОРНЫЙ ПРИМЕР РАБОТЫ)
Рис. 39. Земснаряд проекта 258.60-2СШ
Поставляется как отдельно по заказу, так и в комплекте с типовым или рабочим
проектом разработки сапропелевой залежи, дноуглубления или очистки водоема на CD
носителе.
Сроки изготовления оборудования: 2.5-4 мес. с момента предоплаты аванса.
Монтаж и наладка поставленного нами оборудования осуществляется на месте
производства работ за дополнительную плату силами Изготовителя и Покупателя.
Таблица 23

п/п
Параметры
Ед.
изм.
1
Характеристика
грунта
-
2
Глубина разработки
м
Параметры
Сапропель естественной влажности
- минимальная
0,6
- максимальная
10
3
Акватория (озеро,
река, водохранил.)
4
Высота подъема
грунта от уровня
Добыча сапропеля из подводных карьеров
м
138
(ОБЗОРНЫЙ ПРИМЕР РАБОТЫ)

139.

(ОБЗОРНЫЙ ПРИМЕР РАБОТЫ)
воды до точки
сброса
5
5
Дальность
транспортирования
от
м
300(1500)
установки
6
Необходимая
мощность
кВт
120 кВт – электроэнергия подводится от ЛЭП
7
Потребляемая
мощность
кВт
100
8
Грунтозаборное
устройство
-
Шнековый рыхлитель, установленный
последовательно с шнековым нагнетателем на
раме
9
Длина плавучего
грунтопровода
п.м.
100 п.м, поставляется плавучий резинотканевый грунтопровод Dу 200
200 п.м, береговой грунтопровод из
полиэтилена Dy 300
10
Техническая
производительность
установки по
сапропелю
естественной
влажности
11
Способ разработки
сапропелевых
отложений
12
Размеры корпуса
13.
м3/ч
60
Траншейный, якорно-тросовый
м
Длина
11
ширина
2,5
Размеры габаритные
установки:
м
Длина
18
Ширина
139
(ОБЗОРНЫЙ ПРИМЕР РАБОТЫ)

140.

(ОБЗОРНЫЙ ПРИМЕР РАБОТЫ)
Высота от ОП
2,5
3,6
14.
Осадка средняя
максимальная
15
Нагнетат.насос:
16
м
0,55
тип
Винтовой
место расположения
в корпусе установки
количество
1
Дополнительный
понтон
Спецификация
Таблица 24

Наименование
Количество
Марка
Цена, тыс.
руб
1
Установка для добычи
1
258.60-2СШ
5540
Пр. 258.60-2СШ
2
Винтовой насос
1
3
Грунтопровод
По проекту
4
Дополнительный понтон 1
По проекту
По проекту
Дизельэлектростанция
Электрокабель
5
Дополнительные услуги:
-
По заказу
Доставка, монтаж, пусконаладка
140
(ОБЗОРНЫЙ ПРИМЕР РАБОТЫ)

141.

(ОБЗОРНЫЙ ПРИМЕР РАБОТЫ)
Рис. 40. Земснаряд проекта 258.60-2СШ
Извлекаемые донные илы озера имеют естественную влажность W более 80%. Процесс
технологической переработки илов в удобрения осуществляется при определенных
значениях влажности сапропеля. Его обезвоживание до требуемой влажности перед
переработкой в товарный продукт и хранение обезвоженного сырья осуществляется на
береговой промплощадке размером 70х100 м в контейнерах геотубах российского
производства. Для интенсификации обезвоживания возможно применение коагулянтов
типа престол или полиакриламид
Рис. 41. Истечение сапропеля естественной влажности при экологической очистке озера Боровое
Подробные характеристики данного оборудования приведены в Графическом
приложении к Отчету.
141
(ОБЗОРНЫЙ ПРИМЕР РАБОТЫ)

142.

(ОБЗОРНЫЙ ПРИМЕР РАБОТЫ)
Рис. 42. Геотубы для обезвоживания извлекаемых озерных илов - сапропеля
11. Рекомендации по сведению камыша и тростника на горном отводе с переработкой
его в топливные брикеты
Первоначальной операцией при разработки залежи донных илов является его
подготовка к вскрытию, т.е . зачистка площади месторождения от растительности. Это
повсеместные заросли тростника, камыша, осоки и др. Значительные его объемы
требуют специального метода утилизации и ставят процесс зачистки в отдельное
производство, которое способно приносить дополнительные прибыли.
Наиболее рациональным способом зачистки территории месторождения является
утилизация растительности с использованием ее в качестве сырья для производства
топливных брикетов.
Экономическая целесообразность промышленной утилизации растительности
производством топливных брикетов при подготовке донных илов к разработке
приведена в главе ниже.
Тростник и/или камыш - многолетние травянистые растения из семейства злаковых.
Заросли высоких (до 4 м) растений с серовато-зелеными жесткими листьями и
пушистыми метелками соцветий знакомы, наверное, каждому. Его часто называют
камышом, хотя настоящий камыш относится к семейству осоковых и выглядит иначе
(главное отличие – соцветие в виде султана). Заросли тростника, занимают огромные
площади по берегам и, особенно, в поймах рек. Не исключение – территория
месторождения донных илов Заказчика.
В настоящее время этот широко распространенный злак с урожайностью
зеленой массы до 20 тонн с гектара используется, главным образом, на
корм лошадям и крупному рогатому скоту. Тростник может использоваться для
плетения мебели и корзин, покрытия крыш, как источник целлюлозы – для
производства бумаги.
142
(ОБЗОРНЫЙ ПРИМЕР РАБОТЫ)

143.

(ОБЗОРНЫЙ ПРИМЕР РАБОТЫ)
Заросли тростниково-камышовых растений занимают площадь на территории
исследования донных илов около 2100 га. Ежегодно естественно возобновляемый
урожай этих растений составляет примерно 42000 тонн.
Остальная масса растений остается сгнивать на корню, что приводит к
заилению водоемов и прудов и является потенциальным поставщиком гумуса в донные
илы продуктивного слоя месторождения.
Как показывает практика, выгодным способом утилизации
тростниково-камышовой массы на территории Заказчика является производство из нее
топливных брикетов.
Это обуславливается следующим:
1. В биомассе тростника содержание влаги может достигать 50%, однако
после сушки на воздухе, а также благодаря уборке в зимнее время её
уровень снижается до 20-25%. Данное обстоятельство позволяет производить из
тростника топливные брикеты с минимальными затратами энергии на сушку сырья.
2. Тростник обладает высокой теплотворной способностью.
3. Тростник имеет высокий уровень содержания лигнина – полимера,
являющегося естественным природным связующим, улучшающим физические
параметры топливных брикетов (плотность, прочность, устойчивость к истиранию и
т.д.).
4. В отличие от нефтепродуктов и угля, тростник имеет низкое содержание серы и
других вредных примесей.
5. Минимальные затраты на культивирование тростника (вплоть до их
отсутствия), необходимы только затраты по его сбору (заготовке).
Тростник с полным правом относится к возобновляемым источникам энергии.
«Урожай топлива» можно собирать ежегодно, при этом заросли тростника имеют
устойчивую тенденцию к разрастанию.
Тростниковая масса Заказчика была высушена естественным образом на открытом
воздухе и измельчена до фракции 5-15 мм.
Подготовленное таким образом сырье подверглось брикетированию в
установке брикетирования УБО-2.
В результате были получены топливные брикеты товарного вида с
фактической плотностью 1,12 т/м3.
Посмотреть видеоотчет о проведении эксперимента можно перейдя по ссылке:
1. подготовка сырья http://youtu.be/i9nUxXb8zJw
2. процесс брикетирования http://youtu.be/wagWrJl2F4w
СВОЙСТВА БРИКЕТОВ
Топливные брикеты представляют собой шестигранные цилиндры с шириной грани 35
мм, изготовленные из спрессованных отходов древесины, лузги, соломы и т.п. Высокая
степень спресованности достигается за счет одновременного воздействия на исходное
сырье высокой температуры и давления в установке.
143
(ОБЗОРНЫЙ ПРИМЕР РАБОТЫ)

144.

(ОБЗОРНЫЙ ПРИМЕР РАБОТЫ)
Рис. 43. Полученные брикеты из сырья заказчика
Топливные брикеты, получаемые на установке УБО-2, обладают рядом неоспоримых
преимуществ по сравнению с другими видами топлива:
Возможность использования топливных брикетов в котлах любой мощности - от
отопления частных домов до крупной ТЭЦ.
Низкая себестоимость производства.
Теплотворная способность брикетов составляет 4,5–5,0 кВт/кг, что в 1,5 раза больше,
чем у древесины, и сравнима с углем. Это значит, что одного брикета весом около 1
килограмма достаточно для обогрева дома площадью 50 кв.м в течение одного часа (по
данным ВНИИ ТП).
Теплотворная способность некоторых видов топлива
Таблица 25
Вид топлива
Теплотворная способность,
МДж/кг
Антрацит
26,8-31,4
Бурый уголь
10,5-15,7
Каменный уголь
20,9-30,1
Газ
27
Торф (влажность 20%)
15,1
Дизельное топливо
42,7
Древесина (влажность
40%)
6-11
Брикеты (из опилок)
16-29,5
Топливные брикеты, получаемые на установке УБО-2, обладают рядом неоспоримых
преимуществ по сравнению с другими видами топлива:
144
(ОБЗОРНЫЙ ПРИМЕР РАБОТЫ)

145.

(ОБЗОРНЫЙ ПРИМЕР РАБОТЫ)
Возможность использования топливных брикетов в котлах любой мощности - от
отопления частных домов до крупной ТЭЦ.
Низкая себестоимость производства.
Теплотворная способность брикетов составляет 4,5–5,0 кВт/кг, что в 1,5 раза
больше, чем у древесины, и сравнима с углем. Это значит, что одного брикета
весом около 1 килограмма достаточно для обогрева дома площадью 50 кв.м в
течение одного часа (по данным ВНИИ ТП).
Теплотворная способность некоторых видов топлива
Таблица 26
Вид топлива
Средний вес топлива для
производства 16000 МДж
энергии
Сравнительная цена получения
энергии для потребителя в
среднем по России, руб.
Топливные брикеты
1000 кг
2000
Древесина
1600 кг
2200
478 куб.м.
3500
Дизельное топливо
500 л
8000
Мазут
685 л
5500
Уголь каменный
1000 кг
2800
Газ
145
(ОБЗОРНЫЙ ПРИМЕР РАБОТЫ)

146.

(ОБЗОРНЫЙ ПРИМЕР РАБОТЫ)
Таким образом, при существующих закупочных ценах выгода использования топливных
брикетов Заказчика очевидна.
Брикеты - экологически чистый продукт: без химических добавок и
склеивающих веществ, производятся из натуральных, необработанных никакими
химическими препаратами растительных отходов (данная характеристика
особенно важна для предприятий, работающих в черте города).
При сжигании брикеты не оказывают негативного воздействия на окружающую
среду. Энергия, получаемая при сгорании брикета, не способствует изменению
климата посредством выброса в атмосферу углекислого газа и других
"парниковых газов". Выбросы диоксида серы и оксида азота являются
основными составляющими в процессе окисления воздуха, вод и грунта. Но
поскольку в брикетах содержится небольшое количество серы, то в процессе
сгорания биомассы подобные загрязняющие вещества практически не
образуются и не выделяются. Даже те небольшие объемы выбросов, которые
имеют место, являются естественным звеном природного цикла.
Брикеты хорошо разгораются, отличаются длительным горением (брикеты из
опилок горят в два раза дольше, чем древесина).
Рис. 44. Горение брикетов из сырья заказчика
Брикеты легче подавать в топочную камеру в сравнении с небрикетированными
отходами.
Популярность брикетов в качестве «домашнего» топлива обусловлена тем, что
такое тепло воспринимается как более приятное, чем тепло, получаемое из угля,
легкого мазута или природного газа.
При горении брикетов не происходит искрообразования.
Горение брикетов в топке котла происходит более эффективно – количество
остатков (золы) не превышает 0,5–1% от общего объема используемого топлива
(зольность некоторых сортов угля достигает 30-40%), а зола может
использоваться как калийное удобрение.
Брикеты не содержат скрытых пор, склонных к самовоспламенению при
повышении температуры.
Брикеты уплотнены в 4-12 раз, в результате чего повышается эффективность
транспортных перевозок и уменьшается площадь складирования.
Насыпная масса древесных отходов
Таблица 27
146
(ОБЗОРНЫЙ ПРИМЕР РАБОТЫ)

147.

(ОБЗОРНЫЙ ПРИМЕР РАБОТЫ)
Насыпная
масса,
кг/куб.м
Влажность,
%
Технологическая щепа хвойных
пород
200-360
30-55
Мелкая стружка
80-140
3-40
Вид отхода
Характеристики исходного сырья
Вид сырья
Насыпная масса, Влажность, Фракция,
кг/м3
%
мм
100
1. Лузга
4-9
Характеристики брикета
Плотность,
кг/м3
Производительность,
кг/ч
1150
500
6-10
Микростружка
120-180
3-4
Опилки
100-200
8-15
Брикеты
600-850
8-15
Благодаря вышеперечисленным качествам, древесные брикеты из сырья Заказчика
обладают высокой конкурентоспособностью по сравнению с другими видами топлива и
рынок топливных брикетов растет быстрыми темпами.
147
(ОБЗОРНЫЙ ПРИМЕР РАБОТЫ)

148.

(ОБЗОРНЫЙ ПРИМЕР РАБОТЫ)
подсолнечника
2. Лузга
подсолнечника
(измельченная)
260
6-9
2-5
1090
700
3. Некормовые
отходы элеваторов
150
9-10
1-6
1050
450
4. Гречневая лузга
160
5-12
2-5
1030
450
5. Рисовая лузга
125
5- 12
2-6
1010
500
6.Опилки:
дубовые
сосновые
270
125
6-12
6-8
2-5
2-5
1250
1150
750
560
Результаты испытаний установки УБО-2 на различном сырье
Таблица 28
Рис. 45. Готовые брикеты из сырья заказчика
НАЗНАЧЕНИЕ УСТАНОВКИ БРИКЕТИРОВАНИЯ
Установка брикетирования растительных отходов УБО-2 позволяет легко, без
применения связующих веществ, получать высококачественные экологически чистые
топливные брикеты из растительных отходов Заказчика. Установка реализует
технологию баротермической переработки (прессование при высокой температуре) и
может работать как автономно, так и в составе линии.
Основными достоинствами УБО-2 являются высокая производительность, надежность,
простота эксплуатации и универсальность: установка позволяет получать
высококачественные брикеты из широкого многообразия отходов растительного
148
(ОБЗОРНЫЙ ПРИМЕР РАБОТЫ)

149.

(ОБЗОРНЫЙ ПРИМЕР РАБОТЫ)
происхождения: опилок, стружки (например, на предприятиях лесоперерабатывающей
промышленности), лузги подсолнечника, шелухи гречихи, риса, овса, костры льна,
сена, соломы (на предприятиях агропромышленного комплекса).
Рис. 46. Установка УБО-2 и изготовленные на ней топливные брикеты
Основное требование к исходному сырью Заказчика: влажность прессуемого
материала: 6- 12%, фракционный состав – до 5 мм. При наличии более влажного и
крупного исходного продукта необходимо его предварительное измельчение и сушка
(сопутствующее оборудование предлагается компанией «ЖАСКО» Центром по
сапропелю).
Среди предприятий, которые уже используют установку УБО-2: деревообрабатывающие
и мебельные комбинаты, паркетные заводы, агрофирмы и фермерские хозяйства,
маслоэкстракционные заводы. Брикетирование растительных отходов
позволяет: решить проблему утилизации растительных отходов на
предприятии; повысить теплотворную способность древесного сырья; производить
недорогое качественное топливо; получать предприятию дополнительных доход от
реализации брикетов.
Использование топливных брикетов из утилизационного сырья месторождения донных
илов Заказчика возможно как в индивидуальных отопительных устройствах, так и в
промышленных целях. Полученные прессованием брикеты имеют неограниченный срок
годности и используются в качестве топлива для котельных, электростанций, теплиц,
ж/д транспорта, каминов, саун, отопления жилых домов, на предприятиях с
установками, работающими на твердом топливе. В последние годы энергетическое
использование растительных отходов рассматривается как альтернатива традиционным
видам топлива в России и за рубежом.
КОНСТРУКЦИЯ УСТАНОВКИ
Благодаря продуманности своей конструкции установка брикетирования отходов УБО-2
сочетает в себе надежность, мощность, компактность и простоту эксплуатации. К
отличительным особенностям установки, которые неизменно отмечают её
149
(ОБЗОРНЫЙ ПРИМЕР РАБОТЫ)

150.

(ОБЗОРНЫЙ ПРИМЕР РАБОТЫ)
пользователи, относятся: малые издержки на монтаж, быстрый ввод в
эксплуатацию; удобная и быстрая замена шнеков при необходимости; конструкция
нагревателя, позволяющая быстро выходить на рабочий температурный режим, снизить
потребление электроэнергии, а также быстро производить замену нагревательных
элементов; конструкция подшипникового узла приводного вала, обеспечивающая
максимальную наработку до капитального ремонта.
Установка состоит из нескольких конструктивных элементов, основными из которых
являются: рама, головка экструдера, главный привод, ворошитель, нагреватели,
приемный бункер. Отсутствие технически сложных элементов снижает вероятность
поломки и позволяет персоналу, эксплуатирующему установку, при необходимости
самостоятельно быстро проводить техническое обслуживание оборудования.
Рис. 47. Установка брикетирования УБО 2
Рама пресса окрашена в светло-серый цвет и представляет собой прочную
металлическую цельносварную конструкцию, к которой крепятся все остальные детали
и узлы.
В раму встроен шкаф управления. На его передней части расположена панель
управления установкой. Она имеет интуитивно понятное цветовое оформление с четко
продуманной схемой размещения крупных управляющих кнопок, что предотвращает
случайное или ошибочное их нажатие, и предусматривает автоматическую индикацию
окончания нагрева. Расположенное на панели электронное табло показывает точную
температуру нагрева. Табло не выглядит ярким, но функцию свою выполняет даже при
сильной освещенности помещения.
150
(ОБЗОРНЫЙ ПРИМЕР РАБОТЫ)

151.

(ОБЗОРНЫЙ ПРИМЕР РАБОТЫ)
Рис. 48. Пульт управления установкой брикетирования
На тумбе рамы закреплена головка экструдера, являющаяся самым главным агрегатом
установки. К её ярко- синему корпусу крепятся все остальные детали и узлы головки.
Рис. 49. Корпус установки и направляющий желоб
В головке экструдера расположен формующий узел, состоящий из стальной муфты с
нагревателями, формующих втулок - конической и шестигранной, и шнека
прессующего, именно здесь происходит формирование непрерывного брикета
шестигранной формы. Шнек работает под высокими нагрузками при давлении до
200МПа и температуре до 300С, это самая быстроизнашивающаяся часть установки,
требующая регулярного восстановления. Для продления срока службы шнека компания
«ЖАСКО» разработала технологию наплавки, что позволяет в несколько раз продлить
жизнь шнеку. При этом срок службы шнека продляется, а в работе восстановленный
шнек ничем не отличается от исходного. Компания не только выполняет работы по
наплавке шнека, но и реализует порошок для выполнения самостоятельной наплавки.
Узлы ведомого шкива, обжига и формования отвечают за вращение шнека и
обеспечивают бесперебойный процесс образования и выхода брикета.
151
(ОБЗОРНЫЙ ПРИМЕР РАБОТЫ)

152.

(ОБЗОРНЫЙ ПРИМЕР РАБОТЫ)
На специальной низкой площадке рамы расположен главный электродвигатель
установки мощностью 45 кВт.
Рис. 50. Подсоединение силового кабеля
Нагреватели установки состоят из трех элементов, что обеспечивает всесторонний
качественный обжиг брикетов с минимальным потреблением энергии, предусмотрена
возможность регулировки температуры нагрева и её подбора для каждого вида
используемого сырья.
Рис. 51. Нагревательный элемент
Ворошитель с приводом от дополнительного электродвигателя мощностью 2,2 кВт
расположен в приемной камере. Ворошитель предотвращает слеживание, «зависание»
опилок и обеспечивает их равномерное поступление в камеру.
152
(ОБЗОРНЫЙ ПРИМЕР РАБОТЫ)

153.

(ОБЗОРНЫЙ ПРИМЕР РАБОТЫ)
Рис. 52. Ворошитель и шнек. Электродвигатель ворошителя
К верхней части установки крепится бункер, который служит для загрузки
брикетируемой массы. Термостойкое покрытие бункера значительно повышает его
долговечность, а облегченный вес позволяет легко снимать и устанавливать его.
Для быстрой доливки масла в верхней части корпуса расположено отверстие для
заливки масла, закрытое пробкой, а в нижней части корпуса - пробка для слива масла.
Для контроля уровня масла на корпусе предусмотрен указатель уровня.
Разработчики оборудования старались продумать и учесть в работе установки всё до
мелочей. Для возможности передвижения корпуса на нём предусмотрен рым-болт, что
позволяет при необходимости снять или передвинуть корпус головки отдельно от
установки. Подшипниковые опоры, расположенные в стенках корпуса и в
промежуточной стенке, имеют уплотнительные манжеты и закрыты крышками. С
боковой стороны рамы по просьбам пользователей УБО-2 предусмотрен удобный
запирающийся на ключ шкафчик с полочками для хранения подсобных материалов.
Все движущиеся части установки закрыты защитными кожухами или находятся внутри,
поэтому установка безопасна для окружающих. Единственная сторона, с которой
запрещается подходить к установке – это направление выхода брикета. Это
стандартное правило ко всем подобным установкам.
Качественная окраска всех деталей установки надолго предотвращает коррозию
металлических частей, и оборудование при активном ежедневном использовании будет
долго сохранять первоначальный вид.
Установка УБО-2 имеет сертификат, что подтверждает её соответствие российским
стандартам, и Вы можете быть абсолютно уверены в её качестве.
УБО-2 – настоящая машина для работы, которая, возможно, не заменит Вашего
основного производства, но станет ему отличным дополнением.
СХЕМА РАБОТЫ
В основе технологии производства топливных брикетов лежит процесс непрерывного
прессования в обогреваемой втулке. Прессование является одним из основных
153
(ОБЗОРНЫЙ ПРИМЕР РАБОТЫ)

154.

(ОБЗОРНЫЙ ПРИМЕР РАБОТЫ)
процессов в технологии брикетирования растительных отходов без добавления
связующего. В качестве связующих элементов здесь выступают вещества,
содержащиеся в клетках растений и выделяющиеся в процессе прессования брикетов.
Принцип работы установки УБО-2 основан на процессе непрерывного экструдирования.
Для этого служит основная часть пресса – головка экструдера.
После включения пресса необходимо установить на панели управления необхsодимую
температуру нагрева. Данная температура зависит от вида исходного продукта. По
достижению заданной температуры (на панели управления установкой автоматически
погаснет лампочка «Нагрев») можно приступать к изготовлению брикетов. Для чего
включаем привод экструдера и начинаем подачу брикетируемоого продукта в
загрузочный бункер. В процессе работы исходный продукт проходит следующие
стадии: прессование, формование, обжиг.
Рис. 53. Схема пресса
1. загрузочное окно,
2. ворошитель,
3. камера,
4. подающая часть шнека,
5. прессующая часть шнека,
6. рабочий канал,
7. коническая втулка,
8. втулка,
9. нагревательные элементы,
10. термопара
Исходная смесь поступает в приемный бункер, проходит в загрузочном окне 1 через
ворошитель 2 и ссыпается в камеру 3, где расположен вращающий подающий шнек 4.
К этому шнеку, соосно, примыкает прессующая часть шнека 5, свободный конец
154
(ОБЗОРНЫЙ ПРИМЕР РАБОТЫ)

155.

(ОБЗОРНЫЙ ПРИМЕР РАБОТЫ)
которого входит в рабочий канал. Рабочий канал 6 состоит из конической втулки 7,
переходящей в цилиндрическую часть 8 на выходе.
По мере заполнения камеры 3 шнек 4 подает исходное сырье в коническую часть
канала втулки, где происходит её прессование и выдавливание в цилиндрическую
часть канала. Усилия от прессующего шнека 5 действуют в осевом направлении и в
вертикальной плоскости. Коническое исполнение хвостовика прессующего шнека
способствует повышению плотности брикета.
В конической части канала втулки происходит формирование брикета, давление
достигает 150-200 МПа. На коническую поверхность втулки 7 действуют большие
усилия, вследствие чего возникают силы сопротивления в виде сил трения.
Усилия от прессующего шнека уплотняют смесь по всему сечению. Под действием сил
сжатия и температуры естественное связующее (лигнин) пластифицируется. При этом
на поверхности и внутреннем отверстии вдоль оси брикета образуется науглероженный
слой, который служит в качестве защитной гидрофобной оболочки в процессе хранения
и транспортировки брикета, а также является как бы смазкой и способствует легкому
прохождению брикета внутри втулки. Коническое исполнение хвостовика прессующего
шнека также способствует повышению плотности брикета.
Из формирователя экструдера непрерывно выходящий шестигранный брус с шириной
грани 35мм попадает на направляющий желоб, после остывания раскраивается на
брикеты необходимой длины и складируется с последующей упаковкой и отправкой
потребителю.
Рис. 54. Демонстрация работы установки УБО-2
Установка УБО-2 может эксплуатироваться как отдельно, так и в комплекте с
сопутствующим оборудованием для выполнения дополнительных операций (подробнее
в разделе сайта "Сопутствующее оборудование"). Технологический процесс
брикетирования может состоять из следующих этапов: сбор отходов, их измельчение,
накопление, сортировка, сушка, непосредственно брикетирование, расфасовка,
складирование брикетов.
155
(ОБЗОРНЫЙ ПРИМЕР РАБОТЫ)

156.

(ОБЗОРНЫЙ ПРИМЕР РАБОТЫ)
Для использования крупноразмерных отходов в производстве брикетов их необходимо
измельчить. В зависимости от размеров отходов, технология их измельчения может
быть:
Одностадийная - измельчение исходного сырья (щепы, стружки, соломы, костры льна,
травы - длиной менее 10 см) в мелкую массу пригодную для прессования. Для такого
измельчения рекомендуется молотковая дробилка АДМ.
Двухстадийная технология - на начальном этапе кусковые отходы древесины
измельчают в щепу или дробленку на рубильных машинах, а солому, камыш, костру
льна, стебли различных растений измельчают до 8-10 см длиной на установке АИК.
Затем проводят доизмельчение сырья аналогично одностадийному измельчению.
Типоразмер рубильной машины и молотковой дробилки выбирается также с учетом
необходимой производительности.
Для сушки сырья используются барабанные сушилки непрерывного действия.
ТЕХНИЧЕСКИЕ ХАРАКТЕРИСТИКИ
Таблица 29
Производительность пресса, т/ч
0,6 ± 25% *
Главный привод:
электродвигатель 5А200L4 УЗ
- мощность, кВт
45
- частота вращения, об/мин
1500
Частота вращения шнека, об/мин
800
Привод ворошителя:
электродвигатель АИР 90L4 У2
- мощность, кВт
2,2
- частота вращения, об/мин
1500
Частота вращения ворошителя, об/мин
700
Нагревательный элемент обжига:
кольцевой электронагреватель мощность, кВт
2,0
Количество нагревательных элементов,
шт.
Температура нагрева, °С
3
250-300
156
(ОБЗОРНЫЙ ПРИМЕР РАБОТЫ)

157.

(ОБЗОРНЫЙ ПРИМЕР РАБОТЫ)
Форма брикета
правильный шестигранник
Ширина грани брикета, мм
35
Диаметр отверстия брикета, мм
18-20
Удельная плотность брикета, т/м3
1,1-1,3
Габаритные размеры, мм
2320х1420х1700
Масса пресса, кг
960
*Производительность установки зависит от исходного сырья и может отличаться от
заявленной.
РАСЧЕТ ОБЪЕМА ПРОДАЖ
Производительность установки брикетирования УБО-2 зависит от вида используемого
сырья и составляет 450-750 кг/час.
Результаты испытаний установки УБО-2 на различном сырье
Таблица 30
Характеристики исходного сырья
Вид сырья
Насыпная
масса, кг/м3
Влажность, Фракция,
%
мм
Характеристики брикета
Плотность,
кг/м3
Производительность,
кг/ч
1. Лузга подсолнечника
100
4-9
6-10
1150
500
2. Лузга подсолнечника
(измельченная)
260
6-9
2-5
1090
700
3. Некормовые отходы
элеваторов
150
9-10
1-6
1050
450
4. Гречневая лузга
160
5-12
2-5
1030
450
5. Рисовая лузга
125
5- 12
2-6
1010
500
6.Опилки:
дубовые
сосновые
270
125
6-12
6-8
2-5
2-5
1250
1150
750
560
Примем для расчета ориентировочное время работы установки 20 дней в месяц по 8
часов. Объем производства брикетов при такой загрузке оборудования приведен в
таблице.
Таблица 31
157
(ОБЗОРНЫЙ ПРИМЕР РАБОТЫ)

158.

(ОБЗОРНЫЙ ПРИМЕР РАБОТЫ)
Производительность,
кг/ч
Объем производства,
тн/мес
Лузга
подсолнечника
500
80
Гречневая лузга
450
72
Рисовая лузга
500
80
Опилки дубовые
750
120
Опилки сосновые
560
89
Вид сырья
Проведем расчет рентабельности производства для двух вариантов производительности
оборудования: 450 кг/час и 750 кг/час.
Стоимость брикетов зависит от вида использованного сырья, от региона покупателя и
составляет 2 000-8 000 рублей за тонну (соответственно стоимость упаковки 6 кг – 1560 руб.).
Проведем расчет рентабельности работы оборудования для минимальной стоимости
брикетов – 2 000 руб/тн. Соответственно при продаже брикетов по более высокой цене
(а цена брикетов в Европе доходит до 200-300 евро за тонну) рентабельность
производства увеличивается.
Валовый ежемесячный доход
1.1.
Валовый ежемесячный доход при производительности оборудования 450 кг/час:
Таблица 32
Часов в сутки
8
1.2.
Дней в месяц
х
20
Стоимость 1 тонны
брикетов (руб.)
Тонн в час
х
0,45
х
2 000
Доход
(руб.)
144
000
=
Валовый ежемесячный доход при производительности оборудования 750 кг/час:
Таблица 33
Часов в
сутки
8
Дней в месяц
х
20
Тонн в час
х
0,75
Доход
(руб.)
Стоимость 1 тонны брикетов (руб.)
х
2 000
Ежемесячные текущие расходы:
158
(ОБЗОРНЫЙ ПРИМЕР РАБОТЫ)
=
240
000

159.

(ОБЗОРНЫЙ ПРИМЕР РАБОТЫ)
2.1. Затраты на покупку сырья: чаще всего используются отходы собственного
производства или отходы других производств, которые отдают их на бесплатной
основе, так как это снижает расходы на утилизацию.
2.2. Затраты на электроэнергию:
Таблица 34
Дней в
месяц
Часов в сутки
8
х
Потребляемая мощность
(кВт·час)
20
х
37
Стоимость 1 кВт
(руб.)
Всего
в
месяц
(руб.)
1,5
= 8 880
х
2.3. Затраты на транспорт: 10 000 -15 000 руб.
2.4. Зарплата персонала:
Таблица 35
Количество
человек
Основной обслуживающий
персонал
2
Рублей в
месяц
х
8 000
Всего в месяц,
руб.
=
16 000
2.5. Амортизация и износ оборудования: 30 000 - 40 000 руб.
2.6. Затраты на сушку влажного исходного сырья: чаще всего стоимость сушки
составляет 10% от стоимости брикетов.
Таким образом, в нашем случае затраты на сушку сырья составят:
при производительности оборудования 450 кг/час – 14 400 руб./мес.
при производительности оборудования 750 кг/час – 24 000 руб./мес.
2.7. Расходы на продвижение и рекламу: 10 000 руб.
Итого ежемесячные расходы:
при производительности оборудования 450 кг/час – 104 280 руб.
при производительности оборудования 750 кг/час – 113 880 руб.
Прибыль за месяц:
3.1. Прибыль при производительности оборудования 450 кг/час:
Таблица 36
159
(ОБЗОРНЫЙ ПРИМЕР РАБОТЫ)

160.

(ОБЗОРНЫЙ ПРИМЕР РАБОТЫ)
Доход за месяц, руб.
144 000
Ежемесячные расходы, руб.
-
104 280
Прибыль, руб.
=
39 720
3.2. Прибыль при производительности оборудования 750 кг/час:
Доход за месяц, руб.
240 000
Ежемесячные расходы, руб.
-
113 880
Прибыль, руб.
=
126 120
Расчет рентабельности:
4.1. Рентабельность при производительности оборудования 450 кг/час и стоимости
брикетов 2000 руб./тонна:
4.2. Рентабельность при производительности оборудования 750 кг/час и стоимости
брикетов 2000 руб./тонна:
При расчетах мы старались принять минимальные показатели работы оборудования: 20
дней по 8 часов работы в день, цена брикетов 2000 рублей за тонну. Соответственно,
увеличение времени работы оборудования и цены брикетов позволяет увеличить
рентабельность производства.
Приведем сводные таблицы расчетов для различной производительности оборудования
и стоимости брикетов (принят режим работы оборудования 20 дней в месяц по 8 часов
в день).
Ориентировочный доход за месяц, тыс.руб.
Таблица 37
Цена брикетов,
руб./тн
Производительность оборудования, кг/час
400
450
500
550
600
650
700
750
2000
128 000
144 000
160 000
176 000
192 000
208 000
224 000
240
000
3000
192 000
216 000
240 000
264 000
288 000
312 000
336 000
360
000
160
(ОБЗОРНЫЙ ПРИМЕР РАБОТЫ)

161.

(ОБЗОРНЫЙ ПРИМЕР РАБОТЫ)
4000
256 000
288 000
320 000
352 000
384 000
416 000
448 000
480
000
5000
320 000
360 000
400 000
440 000
480 000
520 000
560 000
600
000
6000
384 000
432 000
480 000
528 000
576 000
624 000
672 000
720
000
7000
448 000
504 000
560 000
616 000
672 000
728 000
784 000
840
000
8000
512 000
576 000
640 000
704 000
768 000
832 000
896 000
960
000
Ориентировочная прибыль за месяц, тыс.руб.
Таблица 38
Цена брикетов,
руб./тн
Производительность оборудования, кг/час
400
450
500
550
600
650
700
750
2000
25 320
39 720
54 120
68 520
82 920
97 320
111 720
126
120
3000
82 920
104 520
126 120
147 720
169 320
190 920
212 520
234
120
4000
140 520
169 320
198 120
226 920
255 720
284 520
313 320
342
120
5000
198 120
234 120
270 120
306 120
342 120
378 120
414 120
450
120
6000
255 720
298 920
342 120
385 320
428 520
471 720
514 920
558
120
7000
313 320
363 720
414 120
464 520
514 920
565 320
615 720
666
120
8000
370 920
428 520
486 120
543 720
601 320
658 920
716 520
774
120
Ориентировочная рентабельность, %
Таблица 39
Цена брикетов,
Производительность оборудования, кг/час
161
(ОБЗОРНЫЙ ПРИМЕР РАБОТЫ)

162.

(ОБЗОРНЫЙ ПРИМЕР РАБОТЫ)
руб./тн
400
450
500
550
600
650
700
750
2000
25
38
51
64
76
88
100
111
3000
76
94
111
127
143
158
172
186
4000
122
143
163
181
199
216
233
248
5000
163
186
208
229
248
267
284
300
6000
199
225
248
270
291
310
328
345
7000
233
259
284
307
328
348
366
383
8000
263
291
316
339
361
381
399
416
При проведении экономической оценки не был учтен ряд косвенных выгод
предприятия: снижение расходов на вывоз отходов и их утилизацию на свалках,
убытки от оплаты за загрязнение окружающей среды, освобождение дополнительных
площадей, занятых под складирование отходов и т.д.
ЛИНИЯ БРИКЕТИРОВАНИЯ ЛБО-2
Рис. 55. Линия брикетирования ЛБО-2
1-ленточный транспортер
2-машина рубильная МР-2
3-ленточно-скребковый транспортер
4-установка переработки щепы УП
5-пневмотранспортер
6-бункер механизированный БМ-10
7-шнековый транспортер
8-сушилка барабанная СБУ-2,2-12
9-шнековый транспортер (возврат сырья на досушку)
10-ленточно-скребковый транспортер
11-бункер механизированный БМ-10
12-шнековый транспортер
13-бункер механизированный БМ-2,3
14-шнековый транспортер с частотным регулятором
15-установка брикетирования УБО-2
162
(ОБЗОРНЫЙ ПРИМЕР РАБОТЫ)

163.

(ОБЗОРНЫЙ ПРИМЕР РАБОТЫ)
УЧАСТОК ИЗМЕЛЬЧЕНИЯ. Отходы лесозаготовки и деревообработки ленточным
транспортером (1) подаются в машину рубильную (2), где происходит измельчение в
технологическую щепу. Из рубильной машины полученная щепа ленточно-скребковым
транспортером (3) подается в установку переработки щепы (4). Полученная мелкая
стружка пневмотранспортером (5) направляется в бункер механизированный (6),
опилки и мелкая стружка могут подаваться в бункер сразу, минуя рубильную машину и
установку переработки щепы.
УЧАСТОК СУШКИ. Измельченные отходы шнековым транспортером (7) перемещаются в
сушилку барабанную (8). Продвигаясь по барабану, измельченные отходы продуваются
горячим воздухом, нагреваемым твердотопливным теплогенератором (входит в
комплект поставки сушилки барабанной). Высушенное сырье ленточно-скребковым
транспортером (10) подается в бункер механизированный (11), где происходит
измерение влажности полученного сырья. В случае несоответствия влажности
требуемой для установки брикетирования (т.е. влажность выше 8-10% - для установки
брикетирования) сырье шнековым транспортером (9) возвращается в сушилку
барабанную на досушку.
УЧАСТОК БРИКЕТИРОВАНИЯ. Измельченное сырье требуемой влажности шнековым
транспортером (12) подается в оперативный механизированный бункер (13) откуда
шнековым транспортером с частотным регулятором (14) подаются в установку
брикетирования УБО-2 (15). Брикетная штанга распиливается на брикеты требуемой
длины и с помощью термоусадочного упаковочного аппарата упаковываются в
полиэтиленовую пленку.
Проектирование данного производства по срокам может занимать до 1.5 месяцев,
стоимость проектных работ – до 240 тыс. руб. Ориентировочная стоимость
оборудования: 4-11 млн. руб. Причем максимальная стоимость определена на закупку
импортного оборудования производительностью 800-1000 кг готовой продукции в час.
ГЛАВА 12. РАСЧЕТНО-ЭКОНОМИЧЕСКАЯ ЧАСТЬ
Спецификация основного оборудования по добыче и переработке сапропеля в
удобрения
Таблица 40
Назначение
оборудования
Название машины
и марка
Произво
дительно
сть м3/ч
Мощн
ость
эл.двигат
. квт
Добыча
сапропеля и
экологическая
очистка
прудов от
донных илов
Земснаряд
шнековый проекта
258.60-2СШ – 1 ед.
и винтовой насос
60
120
Масс
а
маш
ины
в кг
Завод
изготовите
ль
Стоимост
ь, руб.
18х2
.5х3.

Октябрьск
ий ССРЗНН»
6540000
ННовгород
и Центр по
сапропел
163
(ОБЗОРНЫЙ ПРИМЕР РАБОТЫ)

164.

(ОБЗОРНЫЙ ПРИМЕР РАБОТЫ)
ю
с завозней для
якорей
650000
Дизель-генератор
GESAN
1400000
Понтон под
дизель-генератор
Монтаж и наладка
оборудования
450000
380000
Транспортиров
ка сапропеля в
складотстойник
Dy 225 ПЭ 80 SDR
17,6 p=8 атм,
200 м
Толщина стенки
12,8 мм
Dy 225 ПЭ 80 SDR
33 p=4 атм,
ООО
«Инженер
ные
трубопров
одные
системыНН»
350 м
Толщина стенки
164
(ОБЗОРНЫЙ ПРИМЕР РАБОТЫ)
320000
420000

165.

(ОБЗОРНЫЙ ПРИМЕР РАБОТЫ)
6,9 мм
Пульпопровод
плавучий Dy=159,
20 секций х 7.5 м
НПО
«Композит
», г.
Курск, т.
(4712)3425-94.
150
Подготовка и
поддержание
складовотстойников,
подъездных
дорог, спусков,
буртов. Рытье
и поддержание
водоотводящих
канав, шурфов
Бульдозер Б170
180
л.с.
1599
0
454091, г.
Челябинск
Южная, 2В
900000
Есть в
наличии
Тракторны
й завод
ЭО 2626
Есть в
наличии
Аэрация,
измельчение,
просеивание,
буртование,
погрузка на
автосамосвалы
Погрузчик ТО-28 –
2 ед.
83
95
1220
0
165
(ОБЗОРНЫЙ ПРИМЕР РАБОТЫ)
Амкдор
1880000
Москва
1880000

166.

(ОБЗОРНЫЙ ПРИМЕР РАБОТЫ)
, загрузка
бункера на
фасовку,
доставка
сапропеля из
складаотстойника на
расходный
склад
фасовочного
цеха
Ковшовая
просеивающая
дробилка Allu
Автосамосвал МАЗ
– 3 ед.
Представи
тельство
фирмы
Allu в
Москве
83
Минский
автомобил
ьный
завод
Переработка и
фасовка
продукции
Фасовка
сапропеля в
открытые
мешки
Цех утепленный
42х15 м
ООО
«Ватан-М»
Татарстан,
Набережн
ые Челны,
Набережн
очелнинск
ий
проспект,
41, офис
304
Линия фасовки
сапропеля в
открытые мешки
10-50 л
15
5.5
Фирма
«Феникс»
и Центр по
сапропелю
2230000
Есть в
наличии
2646000
264600
1670000
167300
Палетоупаковщик
Ronda Beta
166
(ОБЗОРНЫЙ ПРИМЕР РАБОТЫ)

167.

(ОБЗОРНЫЙ ПРИМЕР РАБОТЫ)
PLUS (Ронда +)
Обтягивание
пленкой
паллет
(поддонов) с
продукцией
ИП
Михайло
в Сергей
Викторов
ич
15
Транспортиров
ка, погрузка и
складирование
готовой
продукции на
складе
Погрузчикштабелер FD15T-M
Определение
влажности
сырья в
буртах, на
складе
Влагомер ручной
(WTR-1 - 35-70%
влажности)
Влагомер ручной
(WTR-2 - 8-50%
влажности)
Фактичес
кий
адрес:344
002, г.
Ростов–
на–Дону,
ул. 2-я
Луговая д.
28
0.8
30
2590
184800
Москва,
Свободы,
д. 35, стр.
23
zapros@nt
k-forklift.ru
1230000
СанктПетербург,
Зеленогор
ская, д. 4,
лит. А
25000
25000
Т/ф:
(812) 32160-30
president
@powercit
y.ru
ИТОГО
23262700 руб.
Общая установочная мощность, кВт/ч предприятия. Электроэнергия
Топливо. Масло
Таблица 41
Назначение
Название машины
Произво
Мощн
ость.
Расход
топлива, л
167
(ОБЗОРНЫЙ ПРИМЕР РАБОТЫ)
Расход
электроэнерг

168.

(ОБЗОРНЫЙ ПРИМЕР РАБОТЫ)
оборудования
и марка
Добыча
сапропеля
Земснаряд МЗ
160/10 – 2 ед.
Сооружение
складаотстойника.
Сооружение
грунтовой
дороги,
причальной
стенки и
площадки под
монтаж
земснаряда.
Бульдозер Б170
дительно
сть м3/ч
кВт
ии, кВт
32/10
11
178144.2
масло 5344
180
л.с.
3864
масло 116
368
масло 11
Сооружение
водоотводящей
канавы и
осадительных
шурфов
460
масло 14
Первичная и
вторичная
подготовка
сапропеля.
Погрузчик ТО-28 –
2 ед.
83
95
масло 1033
24578
Погрузка
сапропеля в
автосамосвалы
Доставка
сапропеля на
промплощадку.
34426
масло 737
Автосамосвал МАЗ
– 3 ед.
15457
168
(ОБЗОРНЫЙ ПРИМЕР РАБОТЫ)

169.

(ОБЗОРНЫЙ ПРИМЕР РАБОТЫ)
Погрузка
сапропеля в
бункер
фасовочной
линии
масло 464
164462
масло 4934
135973
масло 4079
Фасовка
сапропеля в
открытые
мешки
Обтягивание
пленкой
паллет
(поддонов) с
продукцией
Транспортиров
ка, погрузка и
складирование
готовой
продукции на
складе
Линия фасовки
сапропеля в
открытые мешки
10-50 л
15
1,0
10301
5.5
56656
Палетоупаковщик
Ronda Beta
PLUS (Ронда +)
8241
15
0.8
Погрузчикштабелер Maximal
30
44294
масло 1329
169
(ОБЗОРНЫЙ ПРИМЕР РАБОТЫ)

170.

(ОБЗОРНЫЙ ПРИМЕР РАБОТЫ)
Всего: дизтоплива 602026 л
Масла 18061 л
Электроэнергии 75198 кВт.ч
РАСХОД МАТЕРИАЛОВ И РЕСУРСОВ
Эксплуатационные расходы основных материалов и ресурсов
В настоящей главе выполнен расчет по материалам, инструментам, запасным частям и
электроэнергии на основные и вспомогательные операции технологического цикла.
Объем расходов выражается в их стоимости.
В основном расчете принимается общее время работы оборудования на добычу
сапропеля и цеха фасовки сапропеля – 10301 час.
Расход электроэнергии на освещение:
На освещение помещения - 22 ед. х 0.2 кВт х 10301 час = 45324.4 кВт.час
56 ед. х 0.011 кВт х 10301 час : 3 = 2115 кВт.час
На освещение территории – 10 ед. х 0.2 кВт х 10301 час : 3 = 6867.3 кВт.час
Расход электроэнергии на отопление: 12 кВт/час х 2 ед. х (3 мес. х 22 дня х 8 час.) =
12672 кВт.час
Расход электроэнергии на закачку, подогрев воды в душевых комнатах и туалете: 2.0
кВт/час х 430 дней х 4 час/день = 3440 кВт.час
Расход ветоши для обтирки оборудования и механизмов: 2992 кг
Расход спецодежды, рукавиц
27 чел. х 14 комплектов х 4200 руб/компл. = 1587600 руб.
26 чел. х 14 х 12 мес. х 5.6 руб/ед. = 24461 руб.
Расход энергосберегающих светильников, средний 78 ед. х 214 руб. х 4.8 замен =
80122 руб.
Расход полиэтиленовой двойной парниковой пленки – 14164 м2
Расход якорных меток для выставления границ – 12 шт. х 350 руб. = 4200 руб.
Расход дерева-кругляка – 2,5 м3 х 4200 руб. = 10500 руб.
Расход доски лиственницы – 1,5.м3 х 4200 руб = 6300 руб.
170
(ОБЗОРНЫЙ ПРИМЕР РАБОТЫ)

171.

(ОБЗОРНЫЙ ПРИМЕР РАБОТЫ)
Расход трубы металлической Dy=1200 мм – 3 м х 5300 руб. = 15900 руб.
Расход свай забивных деревянных – 36 м х 320 руб. = 11520 руб.
Расход средств на приобретение мешков 25 л:
СN25 = 3090320 шт. х 10 руб/меш. = 30903200 руб.
Расход средств на приобретение мешков 50 л:
СN50 = 1545160 шт. х 14 руб/меш = 21632240 руб.
Расход средств на приобретение поддонов:
Cp = 128763 х 222 руб/поддон = 28585386 руб.
Расход средств на приобретение пленки обвертывания (обтяжки) поддонов:
Cl = 6566913 руб.
Запасные части к земснаряду, погрузчику, ковшовой дробилке, линии фасовки,
складскому погрузчику, автосамосвалам: принимается 10% от стоимости основных
средств и оборудования.
Cз = 23262700 руб х 0.1 = 2326270 руб.
Неучтенные расходы 10% - 2326270 руб.
ШТАТНОЕ РАСПИСАНИЕ
На предприятии определен сезонный график работы по добыче сапропеля на
месторождении – 7 месяцев в году, с середины марта по середину октября. Для
выполнения годового плана производства товарной продукции потребуется
беспрерывная работа земснаряда втечение месяца и суток. Добычное оборудование
через месяц останавливается на 1 день для ППР. Смена рабочего персонала между
сменами осуществляется при работающем оборудовании.
Сооружение складов-отстойников осуществляется в 1 смену.
Доставка сапропеля на расходный склад и фасовку – в 2 смены.
Фасовка сапропеля в открытые мешки и складирование готовой продукции
осуществляется в 1 смену.
Отпуск продукции со склада осуществляется вне времени работы фасовочного
оборудования в 1 смену.
Срок эксплуатации месторождения в пределах выделенного горного отвода:
Тэ = 3е 60% усл. вл. : П год.= 135540 т : 117335 т/год = 1.16 сезона
Уборка растительности на площади зеркала горного отвода – 2 рабочие х 1 смена
171
(ОБЗОРНЫЙ ПРИМЕР РАБОТЫ)

172.

(ОБЗОРНЫЙ ПРИМЕР РАБОТЫ)
Условная разбивка территории горного отвода на технологические заходки – 2 рабочих
х 1 см
Монтажные работы берегового пульпопровода – 2 раб. х 3 см
Монтажные работы плавучего пульпопровода – 2 раб х 1 см
Монтаж и наладка земснаряда. Спуск на воду – бригада поставщика оборудования х 5
см
Сооружение склада-отстойника – 1 бульдозерист х 21 см
разнорабочие 2 х 3 см
Сооружение грунтовой дороги от склада-отстойника к берегу, причальной стенки и
площадки под монтаж земснаряда и пульпопровода:
- бульдозерист 1х 2 см
- разнорабочие для обустройства причальной стенки – 2 чел.х 2 см
Сооружение водоотводящей канавы и осадительных шурфов –
- экскаваторщик 1 х 2.5 см
- разнорабочие 2 х 2.5 см
Подготовка помещения цеха переработки, фасовки и склада готовой продукции бригада монтажников по договору х 30 см
Время чистой работы земснаряда на добыче сапропеля месторождения:
Tобщ. = 24 час. х 214 сут/сезон х 1.16 сезона = 5958 час.
- машинист земснаряда – 1 чел. х 745 смен
- пом. машиниста: 2 чел. х 745 смен
Затраты времени на первичную подготовку (аэрирование-рыхление, дроблениепросеивание) влажного сапропеля:
Tz1 = Vпp : 83 м3/ч = 284779.11 м3 х 0.76 : 83 = 2608 час
- машинист погрузчика с ковшовой просеивающей дробилкой – 1 х 326 см
Затраты времени на вторичную подготовку (аэрирование-рыхление, дроблениепросеивание, буртование):
Tz2 = V кон. : 83 м3/ч = 154516 м3 : 83 м3/час = 1862 час.
- машинист погрузчика с ковшовой просеивающей дробилкой – 1 х 233 см
Затраты времени на укрытие буртов полиэтиленовой пленкой:
Туб = 96 м2/ч
172
(ОБЗОРНЫЙ ПРИМЕР РАБОТЫ)

173.

(ОБЗОРНЫЙ ПРИМЕР РАБОТЫ)
Ту = 14164 м2 : 96 м2/ч = 148 час
- 2 разнорабочих х 19 см
Время погрузки сапропеля для транспортирвки на переработку:
Tрп = Vкон. : Пp = 154516 м3 : 132 м3/ч =1171 час.
- машинист погрузчика с ковшовой просеивающей дробилкой – 1 х 147 см
Время на перевозку всего объема сапропеля в расходный склад цеха фасовки:
Tg = Vкон. : Пс = 154516 м3 : (19 : 1.17) м3/ч : 2 : 3 = 1159 час.
- водитель автосамосвала 3 чел. х 145 см
Время на фасовку и складирование готовой продукции из сапропеля
Тф = Vкон. : Nт = 154516 м3 : 15 м3/ч = 10301 час.
- 2 оператора х 1287 см
Время на обслуживание фасовочного оборудования погрузчиком – 10301 час
- машинист погрузчика с ковшовой просеивающей дробилкой – 1 х 1287 см
Затраты трудовых ресурсов на обтяжку поддонов пленкой:
1 оператор х 10301 час : 8 час = 1288 смены
Таблица 42
Но
ме
р
Процесс
1
Добыча и
транспортировка
сапропеля в складотстойник.
2
Сооружение
склада-отстойника,
дороги,
водоотводящей
Наименование
Кол-тво,
чел.
Машинист земснаряда
1х3
Пом. машиниста
1х3
Пом. машиниста
1х3
Бульдозерист
1
173
(ОБЗОРНЫЙ ПРИМЕР РАБОТЫ)
Зарплата в руб/объем
600 руб/см х 745 см
=447000
467 руб/см х 745 см =
347667
467 руб/см х 745 см =
347667
600 руб/см х 21 см
=12600 руб.

174.

(ОБЗОРНЫЙ ПРИМЕР РАБОТЫ)
канавы, шурфов,
причальной
стенки, площадки
для монтажа и
наладки
земснаряда
3
4
Разнорабочие
2
467 х 2 х 3 см = 2802
Экскаваторщик
1
600 х 2.5 см = 1500
Разнорабочий
2
467 х 2 х 2.5 см = 2335
Бульдозерист
1
600 х 2 см = 1200
Разнорабочий
2
467 х 2 х 2 см = 1868
Аэрация,
измельчение,
просеивание,
буртование
сапропеля,
погрузка на
автотранспорт,
доставка
сапропеля на
фасовку,
обеспечение
фасовки сапропеля
Машинист погрузчика с
ковшовой дробилкой Allu
1
720 руб/см х 326 см =
234720
Уборка
растительности на
площади зеркала
горного отвода
Разнорабочий
2
467 х 2 х 1 см = 934
Геодезист-топограф
1
650 х 1 см = 650
Разнорабочий
1
467 х 1 см = 467
Разнорабочий
2
467 х 2 х 3 см = 2802
Условная разбивка
территории
горного отвода на
технологические
заходки
Монтажные работы
берегового
пульпопровода
720 х 233 см = 167760
720 х 147 см =105840
720 х 1287 см = 1574640
600 х 435 см = 261000
Шофер автосамосвала
1х3
Монтажные работы
плавучего
пульпопровода
174
(ОБЗОРНЫЙ ПРИМЕР РАБОТЫ)

175.

(ОБЗОРНЫЙ ПРИМЕР РАБОТЫ)
5
Фасовка сапропеля
в открытые мешки
Разнорабочий
2
467 х 2 х 1см = 934
Оператор на фасовочном
дозаторе
1
500 х 2 х 1287 см =
1287000
Оператор на склеивании
1
Мешков
Оператор на обтяжке
поддонов пленкой
6
7
1
Складирование,
учет и отпуск
продукции на
складе
Шофер погрузчикаштабелера
Управление
предприятием
Мастер (начальник)
1
Бухгалтер
1
Учетчик-кассир
1х2
1
500х1288=644000
467 х 2 х 1287 см =
1202058
467 х 1287 см = 601029
600 х(360 + 1287) см =
988200
467 х (360+1287) см =
769149
8
Контроль за
качеством сырья и
продукции
Лаборант
1
467 х (360+1287) см =
769149
9
Охрана
Сторож
1х4
300 х 4 х 1287 = 1544400
10
Уборка помещений
Уборщица
1
300 х 1х 1287 = 386100
11
Сбыт продукции
Менеджер по продажам
1
600 х 1287 = 772200
ИТОГО
31
12477671
Расходные материалы, ГСМ, электроэнергия
12
Оборудование
основного
Дизтопливo, л
602026 х 26.3
175
(ОБЗОРНЫЙ ПРИМЕР РАБОТЫ)
15833284

176.

(ОБЗОРНЫЙ ПРИМЕР РАБОТЫ)
производства
Масло, л
18061х76
Электроэнергия,
кВт.ч
66957х4.24
Освещение
промплощадки,
отопление цеха
фасовки, подогрев
и подача воды для
бытовых нужд
электроэнергия
70418.7х4.24
298572
14
Уход за
механизмами и
оборудованием
ветошь для обтирки
оборудования и
механизмов, кг
2992 х 3.2
9574
15
Безопасность
работ
спецодежда,
рукавицы, комплекты
14
27 чел. х 14 комплектов
х 4200 руб/компл. =
1587600 руб.
13
1372636
283898
26 чел. х 14 х 12 мес. х
5.6 руб/ед. = 24461 руб.
17
Освещение
рабочих мест и
территории
энергосберегающие
светильники
78
80122
18
Подготовительные
работы
Колышки и якорные
метки для
выставления границ и
заходок.
12
4200
2.5
10500
1.5
6300
3
15900
36
11520
Дерево-кругляк, м3
Доска-лиственница,
м3
Труба металлическая
Dy=1200, м
Сваи забивные, м
Пленка двойная
парниковая, м2
Мешки 50 л
Мешки 25 л
176
(ОБЗОРНЫЙ ПРИМЕР РАБОТЫ)

177.

(ОБЗОРНЫЙ ПРИМЕР РАБОТЫ)
Поддоны
Фасовка
продукции
Пленка для
обтягивания
поддонов
14164
59489
1545160х14
21632240
3090320х10
30903200
128763 х 222
28585386
64381.5 кг х
102
6566913
19
Основные
технологические
процессы
Запасные части к
земснаряду,
погрузчику,
ковшовой дробилке,
линии фасовки,
складскому
погрузчику,
автосамосвалам:
принимается 10% от
стоимости основных
средств и
оборудования
2326270
20
Общее
Неучтенные расходы
2326270
ИТОГО
11938335
ВСЕГО
124416006 руб
Производственный график работ
Таблица 43

п/п
Наименование участков работ
Кол-во
рабочих
месяцев
в году
Кол-во
рабочих
дней в
неделю
Количество
смен в
сутки
часов в
смену
1
Добыча и транспортировка сапропеля
в склад-отстойник
7
7
3
8
2
Сооружение складов-отстойников
7
5
1
8
177
(ОБЗОРНЫЙ ПРИМЕР РАБОТЫ)

178.

(ОБЗОРНЫЙ ПРИМЕР РАБОТЫ)

п/п
3
Наименование участков работ
Аэрация, измельчение, просеивание,
буртование сапропеля, погрузка на
автотранспорт и в бункер фасовочной
линии
Доставка сапропеля на фасовку,
обеспечение фасовки сапропеля
Кол-во
рабочих
месяцев
в году
Кол-во
рабочих
дней в
неделю
Количество
7
5
1
8
11
5
2
8
смен в
сутки
часов в
смену
4
Выставление границ участков,
заходок, укрытие сапропеля пленкой
в буртах
1
5
1
8
5
Фасовка сапропеля в открытые мешки
11
5
1
8
6
Складирование, учет и отпуск
продукции на складе
11
5
1
8
7
Управление предприятием
11
5
1
8
8
Контроль за качеством сырья и
продукции
12
5
1
8
9
Охрана
11
7
1
8
10
Уборка помещений
11
5
2
8
11
Сбыт продукции
11
5
1
8
Основные планируемые технико-экономические показатели
Строительно-подготовительные работы
Сводный расчет составлен с соблюдением следующих условий:
- стоимость оборудования и работ, оговоренных Проектом, в расчетах приняты как
договорные,
- стоимость оборудования, материалов и объемов работ, не оговоренных Проектом,
приняты по ценам и расценкам 2011 года с введением коэффициента удорожания 1.06.
При составлении локальных смет использованы следующие данные (по аналогии):
Место строительства – Россия. Тюменская область.
Сборник единых расценок на строительные работы, утвержденные Госстроем для
применения с 1.01.84 г. с учетом поправочного коэффициента
Прейскуранты цен, введенные с 1.01.84 г. с поправочными коэффициентами
Строительные работы выполняются Заказчиком хозспособом.
Поставку основного оборудования, его монтаж, наладку и сдачу в эксплуатацию
выполняют поставщики оборудования и монтажные организации в соответствии с
условиями договора. Расходы на данные работы Проектом не учитываются. Стоимость
монтажно-наладочных работ в расчетах заложена как капитальное строительство и
формируется договорными отношениями между поставщиком и заказчиком.
1. Размеры затрат на временные здания и сооружения, прочие работы и затраты
и содержание дирекции строящегося предприятия приняты с соответствием с
«Методическими указаниями по определению стоимости строительства предприятий,
зданий и сооружений и составление сводных сметных расчетов и смет».
2. Резерв средств на непредвиденные работы и затраты приняты по СН 202-81 в
размере 10%.
178
(ОБЗОРНЫЙ ПРИМЕР РАБОТЫ)

179.

(ОБЗОРНЫЙ ПРИМЕР РАБОТЫ)
3. Перечень оборудования, включенного для приобретения, не учитывает
возможность использования арендного фонда и по лизингу.
В. Капитальные вложения
Таблица 44

п/п
Наименование
работ и затрат
Ед.
измерения
Объем
Примечание, стоимость, руб.
1
2
3
4
5
А. Подготовка и вскрытие сапропеля месторождения
1.
Сооружение
складаотстойника
шт.
1
2
Прокладка
берегового и
плавучего
пульпопровода
смен
1
2
Выставление
границ участков,
заходок
смен
3
Учтено выше в Проекте как
эксплуатационные расходы
1
2
Б. Организация добычи, обезвоживания, подготовки, транспортировки, фасовки
сапропеля
4
Приобретение
покупных
изделий и
оборудования
согласно
«Спецификации
оборудования»
комплект
5
Земляные работы
по подготовке
расходного
склада у цеха
фасовки
смены
1
23262700.00
30
Учтено в разделе 4 настоящей
таблтцы
Сооружение
ангара для цеха
фасовки
Монтаж и
наладка
оборудования
6
Неучтенные
расходы
% от общей
стоимости
работ и
основного
оборудования
10
ИТОГО
2326270.00
25 588 970.00
179
(ОБЗОРНЫЙ ПРИМЕР РАБОТЫ)

180.

(ОБЗОРНЫЙ ПРИМЕР РАБОТЫ)
В данном разделе приводятся перечень и объемы работ строительства сооружений,
предусмотренных настоящим Проектом. Их стоимости для определения себестоимости
товарной продукции приняты по прайс-листам торговых фирм.
В настоящей работе временные сроки на земляные работы и пуско-наладку
принимаются по аналогии с другими уже действующими производствами и даны как
существующие значения для типового строительства промышленных объектов.
Амортизационные отчисления: принимаются на весь объем эксплуатации
месторождения с возможностью переустановки оборудования добычи на близлежащее
месторождение и использование цеха фасовки и складирования при работе с сырьем с
другого месторождения:
Aо = 25588970.00 х 0.14 х 1.16 = 4155649 руб/объем
Расходы общие на весь объем:
Nг = 4155649 + 124416006 = 128571655 руб.
Доходность от продаж навалом
Д = 154516 х 2400 руб/м3 = 370838400 руб.
где 2400 руб/м3 – продажная цена сапропеля в регионе навалом
Доходность от продаж расфасованной продукции:
Dr = 154516 х 9000 руб/м3 = 1390644000 руб.
где
9000 руб/м3 – продажная цена расфасованной продукции
Прибыль от продаж (без учета налоговых отчислений и обязательных платежей в
бюджет)
П = 370838400– 128571655 = 242266745 руб.
Пф = 1390644000 – 128571655 = 1262072745 руб.
Таблица 45
1
№ п/п
Наименование показателей
Ед.
измерения
Показатель
1
2
3
4
- Общий объем работ
м3
154516
Объем продукции
м3
154516
2
Себестоимость единицы продукции по ГОСТ Р 54000-2010
- сапропель W=55-60%
расфасованный в открытые мешки
3
832
руб/м3
Доходность от продаж продукции навалом
Доходность от продаж расфасованной продукции
Прибыль от продаж (без учета налогов и сборов)
продукции навалом
Прибыль от продаж (без учета налогов и сборов)
расфасованной продукции
руб.
370838400
1390644000
4
Расходы общие на весь объем фасованной
продукции
руб
128571655
5
Срок эксплуатации месторождения сапропеля, лет
лет
13.16
6
Численность трудящихся, всего
чел.
31
242266745
1262072745
Для расчета чистой прибыли необходимо учитывать форму собственности предприятия,
систему налогообложения, обязательные платежи в бюджет, социальные выплаты и
страхование, др.
180
(ОБЗОРНЫЙ ПРИМЕР РАБОТЫ)

181.

(ОБЗОРНЫЙ ПРИМЕР РАБОТЫ)
При расчете показателей себестоимости продукции расфасованной в открытые мешки
от 25 до 50 л учтена стоимость приобретения мешков и нанесения не них трафарета с
информационным материалом о продукции.
Учет и контроль производства
Технологические линии хранения и производства сапропеля на предприятии
сооответствуют требованиям стандарта ГОСТ Р 54000-2010, правилам и нормам | 1| |10|
Сырьем для сапропелевых удобрений являются сапропели в залежи.
Сапропель на предприятии выпускается в виде сыпучей крошки.
Фасовка сапропеля на предприятии предусматривается в мешкотару 25 и 50 л. В
качестве материала для изготовления мешка предлагается специальный материал –
высокотехнологичную бело – бело-черную соэкструзионную трехслойную пленку из
полиэтилена высокого давления (низкой плотности) Molpak BWW, толщиной 80 и 90
микрон, с нанесением печати. Предлагаемые размеры мешка – 450 мм x 700 мм для
объема 25 л и 500 мм x 800 мм для объема 50 л.
Материал Molpak 80BWW (пакет размером 450x700 и толщиной 80 микрон)
Материал Molpak 90BWW (пакет размером 500x800 и толщиной 90 микрон)
Допускается применение других видов тары и упаковочных материалов, использование
которых в контакте с сапропелем обеспечивает сохранение его качества и
безопасности.
Отрицательное отклонение массы нетто от номинальной массы каждой упаковочной
единицы соответствует требованиям ГОСТ 8.579.
По согласованию с Заказчиками сапропель при отпуске не упаковывается, отгружается
навалом с обязательным укрытием кузова автомобиля или вагона, препятствующим
пыление.
Маркировка продукции
На каждую единицу упаковки в сответствии с |11| проектом предусмотрено нанесение
типографским способом маркировки со следующей информацией:
помощь.
181
(ОБЗОРНЫЙ ПРИМЕР РАБОТЫ)

182.

(ОБЗОРНЫЙ ПРИМЕР РАБОТЫ)
На каждую транспортную тару по проекту наклеивается или наносится этикетка с
указанием:
ки) изготовителя (при наличии)
Правила приемки продукции на склад хранения
Продукция из зоны фасовки сапропеля подлежит приемке согласно ГОСТ Р 50335 и
ГОСТ 23954. Сапропель принимается партиями. Партией считают любое количество
сапропеля однородного по показателям качества, хранимого в одном накопителе, и
сопровождающегося одним документом, удостоверяющим его качество и безопасность.
Данный документ содержит:
- наименование предприятия-изготовителя,
- наименование сапропеля,
- номер партии,
- массу нетто партии,
- дату изготовления продукции,
- дату отгрузки.
Приемку партии сапропеля по качеству и безопасности, оформление и выдачу
документов производит предприятие-изготовитель.
182
(ОБЗОРНЫЙ ПРИМЕР РАБОТЫ)

183.

(ОБЗОРНЫЙ ПРИМЕР РАБОТЫ)
Каждая партия сапропеля проверяется по показателям качества и безопасности.
Для проверки качественных показателей сапропеля из мест его хранения используется
инструменты и оборудование согласно ГОСТ Р 54000-2010.
Методы контроля
На предприятии проектом предусмотрены отборы проб сапропеля и определения его
качестенного состава по ГОСТ 26712.
Определение массовой доли влаги осуществляется по ГОСТ 26713.
Определение массовой доли органического вещества определяется по ГОСТ 27980.
Определение кислотности продукции – по ГОСТ 27979.
Определение размера частиц сапропеля, содержание балластных, инородных
механических примесей и включений – по ГОСТ Р 52759 со следующими дополнениями:
пробу сапропеля просеивают через сито с размером диаметра ячеек 10 мм. Остаток
частиц размером более 10 мм Z, %, определяют по формуле
Z = 100 m1/m2
где 100 – коэффициент пересчета в проценты,
m1 – масса частиц размером более 10 мм,
m2 – масса анализируемой пробы сапропеля.
Определение массовой доли: азота общего – производится на предприятии по ГОСТ
26715, фосфора общего – по ГОСТ 26717, калия общего- по ГОСТ 26718, железа и
кальция, серы – согласно требований ГОСТ Р 54000-2010
Определение токсичных элементов – по ГОСТ Р 53218, массовой доли мышьяка – по
ГОСТ 26930, радиоактивных элементов и их удельной эффективности – по ГОСТ Р
53398, ГОСТ Р 53745.
Определение бензопирена, полихлорбифенилов – по требованиям ГОСТ Р 54000-2010.
Определение остаточного количества хлорорганических пестицидов определяют по
ГОСТ 30349.
Ветеринарно-санитарный конроль на предприятии осузетсвляется согласно норм и
рпавил ГОСТ Р 54000-2010
Ручной влагомер для сырья
Простое и в то же время высокотехнологичное решение для оперативного контроля
влажности сырья для производства удобрений из сапропеля и донного ила.
183
(ОБЗОРНЫЙ ПРИМЕР РАБОТЫ)

184.

(ОБЗОРНЫЙ ПРИМЕР РАБОТЫ)
Влагомеры WTR-1 и WTR-2 позволяют за считанные секунды получить точные данные
о влажности материала.
Рис. 56. Ручной влагомер для сырья
Принцип действия:
1. Материал сжимается до постоянного давления
2. Электронный датчик замеряет сопротивление и автоматически выдает значение
влажности материала.
Таблица 46
Технические данные
WTR-1
WTR-2
Диапазон влажности*
Влагосодержание*
8 % - 50 %
Влажность** 35% to
70%
Диапазон температуры
0° - 50°C
0°– 50°C
Погрешность
1%
н/д
Дисплей
LCD 31/2digits
LCD 31/2digits
Питание
1 * 9V (батарейка 6F22)
1 * 9V (батарейка 6F22)
Объем измеряемого образца
120 см3
120 см3
Постоянное давление при
измерении
Около . 0.2 МПа
Около. 0.2 МПа
Масса
Около 1 кг
Около 1 кг
184
(ОБЗОРНЫЙ ПРИМЕР РАБОТЫ)

185.

(ОБЗОРНЫЙ ПРИМЕР РАБОТЫ)
Размер
300x215x65 мм
300x215x65 мм
* Отношение массы воды к массе абсолютно сухого материала
* *Отношение массы воды к массе влажного материала
Цены
Таблица 47
Цена при заказе 1 шт.
WTR-1
WTR-2
25 000 рублей на складе в
СПб
25 000 рублей на складе в
СПб
Перевозка и хранение
При хранении и транспортировке сапропеля соблюдаются все требования и
мерыпредосторжностив сооветствии с требованиями ГОСТ Р 54000-2010.
Транспортировка разрешена всеми видами транспорта в соответствии с правилами
перевозки грузов, действующих на данном виде транспорта, обеспечивающими
сохранность продукции и тары.
При перевозке сапропеля предусмотрены все меры, обеспечивающие охрану
окружающей среды, мест его погрузки и разгрузки от загрязнения.
Сапропелевые удобрения на предприятии хранят в штабелях или буртах на площадках,
защищенных от проникновения подпочвенных и поверхностных вод и стоков.
Площадки и склады сапропеля оборудованы ливнесточными канавами.
ТБ и ОТ на предприятии. Мероприятия по безопасности жизнедеятельности.
Сапропель (донный ил водоемов) относят к малоопасным веществам по ГОСТ 12.1.007
(4 класс опасности). Сапропель по токсикологическим, радиологическим
характеристикам должен соответствовать требованиям ГОСТ Р 53218, ГОСТ Р 53745.
Сапропель по степени биологического загрязнения в соответствии с требованиями
относят к категории «чистая почва»: патогенные бактерии (энтеробактерии,
энтеровирусы и др.), жизнеспособные личинки и яйца гельминтов, куколки и личинки
мух, цисты кишечных простейших должны отсутствоовать, индекс санитарнопоказательных микроорганизмов (БГКП и энрерококки) – 1-9 кл/л
Обеззараживание и обезвреживание сапропеля проводят в соответствии с
требованиями ГОСТ 260074
Общая система мероприятий по безопасности труда при производстве сапропеля
соответствует требованиям безопасности по ГОСТ 12.1.008 и ГОСТ 12.1.010.
185
(ОБЗОРНЫЙ ПРИМЕР РАБОТЫ)

186.

(ОБЗОРНЫЙ ПРИМЕР РАБОТЫ)
Сапропели пожаровзрывобезопасны. Пожарная безопасность обеспечивается
организационо-техническими мероприятиямив соответствии с требованиями ГОСТ
12.4.004. Рабочие места оборудуются средствами пожаротушения по ГОСТ 12.4.009.
Производственное оборудование технологических процессов производства и хранения
сапропеля соответствует требованиям ГОСТ 12.2.003.
Санитано-гигиенические параметры условий труда на рабочих местах сответствуют
требованиям ГОСТ 12.1.003, ГОСТ 12.1. 012.
Все рабочие обеспечиваются спецодеждой и специальными защитными рукавицами.
Условия работы на производстве обеспечивают соблюдение правил личной гигиены.
Все рабочие на производстве проходят периодический медицинский осмотр в
соответствии с нормами и правилами.
Производственное помещение склада и фасовки, бытовые помещения оборудованы
естественной вентиляцией.
Воздух в рабочей зоне при фасовке и методы контроля состяния воздуха рабочей зоны
соответствуют ГОСТ 12.1.005. ПДК пыли компонентов сырья в воздухе рабочей зоны
обеспечивает конценрацию не более 6 мг/м3
Экология на месте производства
Общие правила охраны окружающей среды при использовании сапропеля на
предприятии соответствуют требованиям ГОСТ 26074.
Применение донного ила в целях рекультивации прибрежной территории прудов не
приводит к сверхнормативному накоплению в почве элементов, соединений согласно
ГОСТ Р 54000-2010.
Удельная эффективная активность естественных и техногенных радионуклидов
соответствует нормам. Технологические процессы на предприятии не накапливают их
содержание.
Для защиты грунтовых вод от загрязнения сапропель продуктивного слоя хранят на
площадка, имеющих песчано-глинистое покрытие толщиной не менее 20-25 см. Оно
выполнено с уклоном в сторону дренажа собирающихся из сапропеля или
привнесенных осадками вод.
Площадки для подготовки и склады для хранения сапропеля оконтурены обвалованной
дамбой и обустроены дренажными контурными канавами для стока избыточной влаги.
Избыточную влагу отводят в близлежащий водоем с обязательным осаждением в ней
мелких частиц породы.
Выпуски воды в водоем из площадок подготовки и хранения сапропеля обустроены
фильтрационной гравийно-галечниковой засыпкой.
Воздух производственного помещения фасовки и складирования соответствует
нормативным показателям и не требует его очистки перед выбросом в атмосферу.
186
(ОБЗОРНЫЙ ПРИМЕР РАБОТЫ)

187.

(ОБЗОРНЫЙ ПРИМЕР РАБОТЫ)
Сапропель и донный ил при применении не загрязняет почву токсичными элементами и
радионуклидами.
Заключение
Проект предусматривает добычу сапропеля на озерном месторождении «Боровое» в
соответствии с требованиями и нормами ведения горных работ в РФ. Выемка донных
илов осуществляется шнековым земснарядом проекта 258.60-2СШ.
Технологическое решение и оборудование для решения поставленной задачи относится
к высокотехнологичным образцам и соответсвует техническому заданию заказчика.
Время действия предприятия определено временем полной распродажи произведенной
и расфасованной продукции, срок эксплуатаци месторождения – 13,16 сезона.
Количество работающего персонала на предприятии – 31 чел.
Общий объем сапропеля естественной влажности, подлежащий извлечению 284779,11 м3 .
Объем производимой продукции на предприятии – 154516 м3.
Себестоимость продукции расфасованной в открытые полиэтиленовые мешки – 832
руб/м3
Доходность от продаж расфасованной продукции – 1 390 644 000 руб.
Ожидаемая проектная прибыль без учета налогов и обязательных платежей в бюджет
– 1 262 072 745 руб.
Общие расходы на весь объем извлечения донного ила – 128 571 655 руб.
Приложения
Табличные приложения в тексте - 47
1. Интерактивная карта озера Боровое с точками зондирования и уточнения глубин
воды и мощности слоя донных илов, отбора проб на лабораторные анализы, подсчета
запасов, подлежащих выемке. В программе SasPlanet
2. Лист 1. Карта зондирования глубин и отбора прод на оз. Боровое. В программе
Kompas V.13
3. Лист 2. Геологическая карта поисково-оценочных и детальных разведочных работ
донных илов оз. Боровое. В программе Kompas V.13
4. Лист 3. Геолого-гидрогеологическая карта оз. Боровое. В программе Kompas V.13
5. Лист 4. Гидрогеологические и стратиграфические разрезы оз. Боровое. В программе
Kompas V.13
6. Лист 5. Колонки буровых скважин. Абрисы постоянных знаков. Грунтовые реперы 1
и 2. Схема увязки нивелирных ходов. В программе Kompas V.13
187
(ОБЗОРНЫЙ ПРИМЕР РАБОТЫ)

188.

(ОБЗОРНЫЙ ПРИМЕР РАБОТЫ)
7. Видеофайл участка начала экологической очистки озера и обезвоживания
извлекаемых илов в контейнерах геотубах. В программе Scketch Up
8. Видеофайл базового комплекта оборудования цеха переработки сапропеля в
сыпучие удобрения и его фасовки в открытые мешки и мягкие контейнеры. В
программе Scketch Up
9. Видеофайл цеха таблетирования сапропеля. В программе Scketch Up
10. Видеофайл цеха гранулирования сапропеля. В программе Scketch Up
11. Видеофайл по земснаряду проекта 258.60-2СШ. В программе Scketch Up
12. Видеофайл цеха производства и гранулирования сапропеля и сапропелеорганической массы. В программе Scketch Up
Список литературы
1. Александрова Л. Н. Органическое вещество почвы и процессы его трансформации.
Л.: Наука. 1980.- 122-151.
2. Алиев А. Парамагнетизм и физиологическая активность гумусовых веществ Тр. 8-го
Всесоюзного общества почвоведов. Новосибирск. 1989.-С. 54-63.
3. Алиев А. Парамагнитные свойства и физиологическая активность гумусовых веществ
Теория действия физиологически активных веществ: Тр. ДСХИ.- Днепропетровск.
1983.- Т. 8.- 78-80.
4. Антонов В.Я. Справочник ветеринарного лаборанта. -М. -Колос. -1981. 248 с.
5. Артюшин А.И., Флоринский М.А., Лунев М.И., Ефремов Е.Н., Сычев В.Г.,
Колокольцева И.В. Методические указания по определению тяжелых металлов в
почвах сельхозугодий и продукции растениеводства. -М. -1992. -С.12-34.
6. Базарова О.В., Кучер Р.В., Лукьянченко Л.В. О структуре сапропелитовых углей
различной степени углефикации ХТТ. 1984. №1. 3-6.
7. Бакшеев В. Н. Использование сапропеля для повышения продуктивности животных
Совершенствование сельскохозяйственных животных и их кормление в Северном
Зауралье. Новосибирск. 1989.- 52-57.
8. Бакшеев В. Н. Сапропель вчера, сегодня и завтра.- Тюмень.- 1998.-80с. Ю.Бакшеев
В. Н. Эффективность применения сапропеля в животноводстве: Информационный
листок №131 Тюменский ЦНТИ.- Тюмень. 1982.Зс. ti
9. Барабой В. А. Биологическое действие растительных фенольных соединений. Киев.
1976.- 162с. О.Барабой В. А. Растительные фенолы и здоровье человека. М.: Наука.
1984.- 160с.
10. Баранов В. И., Косаргин И., Слепецкий Р. В. и др. Р1зучение биохимического
состава и биологической активности сапропелей озер Шацкой группы Вестник Львов,
ун-та. 1986.- 4-11.
11. Белобороденко А.. Сапропелетерапия Уральские нивы. 1984.- №11.- 42-43.
12. Беляев Е.Н. Перечень предельно-допустимых концентраций (ПДК) и
ориентировочно-допустимых количеств (ОДК) химических веществ в почве. -М. 1993. -С. 27-30. Mi
13. Бергхоф Петер К. Мелкие домашние животные. Болезни и лечение. -М. Аквариум.1999.-223 с.
14. Бивейтис Ю. М. Микроэлементы в сапропелях озер Литовской ССР Тр. АН Литовской
ССР.-1967.- Т. 1.- 43-49.
15. Богородская Л. И. Методы определения кислородсодержащих функциональных
групп в дебитуминизированном органическом веществе Тр. СНИИГТИМСа.
Современные методы анализа в органической геохимии.- Вып. 2 (166).Новосибирск. 1973.- 14-36.
188
(ОБЗОРНЫЙ ПРИМЕР РАБОТЫ)

189.

(ОБЗОРНЫЙ ПРИМЕР РАБОТЫ)
16. Бодоев Н.В. Сапропелитовые угли. Новосибирск: Наука, сиб. отд-ние. 1991.-120 с.
17. Бодоев Н.В., Чин Куанзон. Состав сапропелитовьгс углей по данным спектроскопии
ЯМР С в твердом теле //ХТТ. 1992.3%. 5-9.
18. Бракш Н. А. Ресурсы сапропелей Латвийской ССР и их изучение Проблемы
использования сапропелей в народном хозяйстве. Минск: Наука и техника. -1976.35-39.
19. Бракш Н. А. Сапропелевые отложения и пути их использования. Рига: Зинатне.
1971.-282с.
20. Бракш Н., Дубава Л., Бракш И., Логина К. Сапропелевые отложения водоемов
Латвийской ССР.- Рига. 1967.- 230с.
21. Бракш Н., Смелтере Т., Шкеле В. Об озерных сапропелях Латвийской ССР
Сапропели и их использование: По материалам конф. по сапропелям 1956 г. Минск:
Изд-во АН БССР.- 1958.- 100-110.
22. Бузмаков В. В. Сапропелевые удобрения Химизация хозяйства. 1989.- №5.- 34-37.
23. Бурейко В. С, Виттенбергская М. Б., Пекач Л. П. Исследование возможности
применения сапропеля в производстве керамических эффективных камней
Проблемы использования сапропелей в народном хозяйстве: Тез. докл. III Респ.
научн. конф. Минск. 1981.- 136-137.
24. Буторин НВ. Донные отложения верхневолжских водохранилищ. Л.6 Наука.
Ленинградское отд. -1975. -С.67-76.
25. Вайбель Щентификация органических соединений. М.- 1957.- 178, 183. ЗО.Вески
Р., Фомина А. Сланцевые ростовые вещества. Таллин: Валгус. 1984.-24с.
26. Вильнер А. М., Белехов Г. П., Чубинская А. А. О кормовой ценности сапропелей
Ленинградской области для свиней и молочного скота 2-я межвуз. научн. конф. по
использования сапропеля в сельском хозяйстве: Тез. и реф. докл. Свердловск.
1966.- 29-30.
27. Вимба Б. Я., Краулерс Я. К., Лапса Э. Я., Шкеле В. А. Химический состав и
агрохимические свойства сапропелей Проблемы использования сапропелей в
народном хозяйстве. Минск: Наука и техника. 1976.- 9197. ЗЗ.Вимба Б. Я., Лапса Э.
Я., Матвея Д. О. О содержании минеральных веществ, азота и микроэлементов в
сапропелях Латвийской ССР Изв. АН Латв ССР. Сер. хим. Рига.-1961.-Вып. 2.- 57-63.
сельского
28. Вимба Б., Лапса Э., Краулер Я. Химический состав сапропелей Латвийской СССР и
их классификация. Тр. Латв. с.-х. академии. Елгава. 1970.- Вып. 24.- 157-162.
ЗЗ.Воробьев Г. Г., Нестерова Г. И. Сапропель озера Неро и проблемы его
использования Гидротехника и мелиорация. 1986.- №12.- 48-54.
29. Вязова Н.Г., Крюкова В.Н., Латышев В.П. Сорбционные свойства гуминовых кислот
ХТТ. 1999. №6. 47-50.
30. Сапропель ценное удобрение Сельское хозяйство Белоруссии. 1988.- №5.- 12-13.
31. Гамаюнов Н.И., Маслянников Б.И., Шульман Ю.А. Ионный обмен в гуминовых
кислотах //ХТТ. 1991. №3. 32-37.
32. Геохимия озерно-болотного литогенеза /Под ред. К. И. Лукашева. Минск: Наука и
техника. 1971.- 284с.
33. Геращенко А. Н. Применение сапропелевых удобрений в Белоруссии Химизация
сельского хозяйства. 1988.- №10.- 60-63.
34. Гладун Т.Г., Гюльмалиев A.M., Гагарин Г. Алканы как алифатические элементы
мультимерной структуры органической массы углей //ХТТ. 1999. №3. 100-112.
35. Глебко Л. И. Определение функциональных групп в гуминовых кислотах: Автореф.
канд. хим. наук. М.- 1971.- 19с.
36. Глебко Л. И., Кошелева Л. П., Максимов О. Б. Функциональный анализ гуминовых
кислот. Владивосток.-1974.- 104с.
37. Глебко Л. И., Максимов О. Б. Новые методы исследования гуминовых кислот.
Владивосток. 1972.- 214с.
38. Глебовская Е. А. Применение ИК-спектроскопии в нефтяной геохимии. Л.-1971.286с. И.С. Сапропель Оренбургской области: биологическая активность и пути
применения: Автореф.... канд. хим. наук. -СПб.- 2000.
189
(ОБЗОРНЫЙ ПРИМЕР РАБОТЫ)

190.

(ОБЗОРНЫЙ ПРИМЕР РАБОТЫ)
39. Голубева B.C., Рудакова У.А, Чистякова Е.И., Пармон СВ. Выделение спиртовых
экстрактов торфа и их химический состав //ХТТ. 2001, №5. С 17-21. 48.ГОНЦОВ А. А.
Минеральное сырье. Сапропели Справочник. М.: ЗАО «Геоинформмарк». -1997.- 20с.
49.ГОНЦОВ А. А., Ложеницына В. И. Свойства различных сапропелей ХТТ.1984.-№5.С. 67-74.
40. Горблюк А. В., Вашкевич А. Ф. Влияние высоких доз сапропелевых удобрений на
плодородие почвы легкого механического состава Торф. пром-ть. -1986.- №7.- 2629.
41. Горбуновская О.М., Курзо Б.В., Будай Т.К. Новые методические подходы к анализу
вещественного состава сапропелей //ХТТ. 2001. №2. 73-81.
42. Горький Ю. И., Жуков В. К., Макеева Г. П., Лукьянова 3. К., Евдокимова Г. А.
Термическое превращение органогенных систем сапропелевого типа Горючие
сланцы. 1986.- №3/4.- 404-411.
43. Горький Ю. И., Макеева Г. П., Лукьянова 3. К., Жуков В. К., Дудка А. Л.
Исследование минеральной части сапропелей методом рентгенофазового анализа
Горючие сланцы. 1986.- №3/1.- 46-51.
44. Дроздов Г., Гарин Н.С., Джиндоян Л.С., Тарасенко В.М. Основы техники
безопасности в микробиологических и вирусологических лабораториях М. Медицина.
1987. 254.
45. Дроздова Т. В. Геохимия аминокислот. М.: Наука.- 1974.- 210с.
46. Дроздова Т. В., Богачева М. П., Писарева т. А. и др. Определение хлорина,
феофитина в осадках Черного моря Химико-океанографические исследования морей
и океанов. М.- 1975.- 138-145. f>
47. Дроздова Т. В., Гурский Ю. Н. Условия сохранности хлорофилла, феофитина и
гуминовых веществ в отложениях Черного моря Геохимия. -1972.-№3.-0.323-334.
48. Дубинина Л. Ф., Тележникова К. Н., Дацун Л. Б. К вопросу об источниках
накопления микроэлементов в сапропелях Проблемы использования
49. Дударчик В.М., Смычник Т.П., Терентьев А.А. Структура и свойства
водорастворимых веществ торфа ХТТ. 1997. №2. 13-18. бО.Евдокимова Г. А, Прузан
В. В., Сенькевич Л. П. и др. К характеристике органического вещества сапропелей:
Тез. докл. 3 респ. научн. конф. Минск.-1981.-С. 37-38.
50. Евдокимова Г. А., Букач О. М., Яночкина Л. П., Дудка А. Л. Химический состав и
биологическая активность сапропелей ХТТ.- 1988.- №1.- 1621.
51. Евдокимова Г. А., Лопотко М. 3., Дубинин К. и др. Сапропелевые кормовые добавки
источник повышения продуктивности животноводства//Торф, пром-ть. 1984.- №3.21-23.
52. Евдокимова Г. А., Пунтус Ф. А., Лопотко М.
53. Применение сапропелей в бальнеологии Курортные ресурсы и санаторно-курортное
лечение в Сибири. Томск.-1982.- 45-49.
54. Евдокимова Г. А., Успенская О. П., Кухарчик В. В., Букач О. М. Биологический и
химический состав органического вещества малозольных сапропелей БССР ХТТ.1986.- №2.- 14 -21. бЗ.Евдокимова Г. А., Яночкина Л. П., Колоскова Я. В. и др.
Характеристика битумов сапропелевых отложений Белоруссии ХТТ.- 1984.№1.бб.Евдокимова Г. А., Яночкина Л. П., Успенская О. Н. Углеводный и
аминокислотный состав сапропелей БССР ХТТ.- 1983.- №5.- 9-15.
55. Евстафьев СИ., Тутурина В.В. Карбоновые кислоты и продукты их превращений в
органической массе сапропелитовых углей ХТТ. 1996. №5. 14-18.
56. Екатеринина Л. Н., Аляутдинова Р. X.., Мотовилова Л. В. и др. Химический состав
гуминовых кислот торфов и сапропелей Белоруссии ХТТ.-1986.- №5.- 94 99.
57. Жизнь растений Под ред. А.А. Федотов М. Просвещение.Т.З. -1977. 489 с.
58. Жоробекова Ш. Ж. Макролигандные свойства гуминовых кислот. Фрунзе: Илим. 1987.- 196с.
59. Жоробекова Ш. Ж., Мальцева Г. М. О конформационной изменчивости гуминовых
кислот ХТТ.- 1987.- №3.- 34-37.
60. Исследования в области торфа и сапропеля Под ред. А. Тейтельбаум. Рига: Изд-во
АН Латв. ССР.- 1958.- 224с.
190
(ОБЗОРНЫЙ ПРИМЕР РАБОТЫ)

191.

(ОБЗОРНЫЙ ПРИМЕР РАБОТЫ)
61. Казицына Л. А., Куплетская Н. Б. Применение УФ-, ИК- и ЯМР мпектроскопии в
органической химии. М.- 1968.- 227.
62. Калабин Г.А., Чеченина Т.Е., Парамонова Т.Г., Кушнарев Д.Ф. Анализ гуминовых
кислот Хандинского месторождения методом спектроскопии ЯМР //ХТТ. 1997. №2.
19-24.
63. Камнева А. И. Химия горючих ископаемых. М.: Химия.-1974.-С. 272.
64. КамневаА.И,, Королева Ю.Г. Лабораторный практикум по химии топлива, -М.МХТИ.-1976.-125С.
65. Канопкайте И., Пакарските К. Ю., Гедиминас А. А. Об устойчивости витамина В в
сапропеле Тр. Свердл. с.-х. ин-та. 1962.- Вып. 10.- 201-208.
66. Карабанов А. М. Влияние сапропелей на физиологическое состояние поросят//
Зоотехния. 1989.- №7.- 34-36.
67. Караваев И. М., Будяк Н. Ф. Исследование органической пресноводных сапропелей
ХТТ.- 1980.- №4.- 74-80.
68. Касьянова 3. А. Химическая характеристика и биологическая массы эффективность
гумусовых кислот некоторых лечебных грязей: Автореф. канд. биол. наук. М.- 1985.21с.
69. Клюева В.А. Осадконакопление в водохранилищах бассейна Нижнего Дона. -Ростов.
Из-во Ростовского ун-та.-1983. -С.61-125.
70. Кордэ Н. В. Биостратификация и типология русских сапропелей. М.: Изд-во АН
СССР.-1960.- 220с.
71. Кордэ Н. В. О номенклатуре и типологии сапропелевых отложений Тр. лаб.
сапропелевых отложений АН СССР.- М.: Изд-во АН СССР.-1956.Вып.У1.-С.5-33.
72. Кордэ Н. В. Сине-зеленые водоросли как образователи сапропелевых отложений
Тр. лаб. сапропелевых отложений. 1950.- Вып. 4.- 68-90.
73. Кормщиков П. А., Зверева М. И. Содержание
74. Корнилова М. Г. Биологически активные компоненты сапропелей Тюменской
области: Автореф. ...канд. биол. наук. Свердловск. 1972.25с.
75. Короткий A.M. Литология и геохимия современных озерных отложений гумидной
зоны:/на примере озера Ханка/. М.: Наука. 1979. -С. 73-81.
76. Косаревич И. В., Битюков Н. Н., Шмавонянц В. Ш. Сапропелевые буровые растворы.
М.: Наука.- 1987.- 191с. fi>
77. Косаревич И.В. Структурообразование в дисперсиях сапропелей. -Минск: Наука и
техника. -1990. -248 с.
78. Кудеярова А.Ю. Об информативности электронных спектров гумусовых веществ
Почвоведение. 2001. №11. 1323-1331.
79. Куклинский А. Я., Филиппова Н. А., Зимина К. И. Количественное определение
углеродных атомов в нафтеновых кольцах по РПС-спектрам поглощения Химия и
технология топлив и масел. 1968.- №8.- 52-54.
80. Куликов М. Ф. Сапропель как витаминно-минеральный корм: Тез. 2-ой межвуз.
научн. конф. по использованию сапропеля в сельском хозяйстве. Свердловск. 1966.68-69.
81. Кураколова Е. А., Буркова В. Н., Михель М. В. Химическая природа липидов из
осадков гипергалинного озера Карачи Горючие сланцы. 1989.- Т. 6.- №3.- 228-237.
82. Кураколова Е. А., Матис Е. Я., Опалинская А. М. И др. Углеводороды, каротиноиды и
антиоксиданты в сапропелях и торфах Томской области Производство использование
новых продуктов химической термохимической переработки торфа: Сб. трудов ВНРШ
торф, пром-ти. Л.-1990.-Т. 64.-С.38-45.
83. Курзо Б. В. Каустобиолиты и экология. Деп. в ЦБНТИ Минтоппрома РСФСР.- Торф,
пром-ть: Экспресс-информ. 1989.- №2.- 120-126.
84. Курзо Б. В. Геология и свойства торфяных и сапропелевых месторождений.
Калинин: КГУ.- 1986.- 61-72.
85. Курзо Б.В. Генезис и ресурсы сапропелей Белоруссии. Минск.: Наука и техника.
1989. 166-175.
86. Кухаренко Т. А. Еще раз о гуминовых кислотах ХТТ.- 1993.- №3. 3-7.
191
(ОБЗОРНЫЙ ПРИМЕР РАБОТЫ)

192.

(ОБЗОРНЫЙ ПРИМЕР РАБОТЫ)
87. Кухаренко Т. А. Современное состояние наших знаний в области гуминовых кислот.
М.: Недра 1984.- 210 с.
88. Кухаренко Т.А. Окисленные в пластах бурые и каменные угли. М.: Недра.-1972.215с.
89. Куцева Л. Букин В. Н. Морские водоросли и сапропели как источник витамина В:
Докл. АН СССР.- 1957.- Т. 115.- №4.- 20-24.
90. Лабораторная диагностика дифтерийной инфекции. Методические указания МУ
4.2.698-98. -М. -Минздрав России. -1998. -С. 5-20.
91. Ларгин И. Ф., Шадрина Н. И. Геология сапропелевых отложений (Основы
сапропелеведения): Учебн. пособие. Калинин: Р1зд-во КПИ.1989.- 72с.
92. Ларгин И.Ф. Геология и свойства торфяных и сапропелевых месторождений. Сб.
научи, трудов. Калинин. -1985. -С. 50-63.
93. Ларгин И.Ф. Методы исследования торфяных и сапропелевых отложений. Меж.вуз.
сб. научн. трудов Тверской политехнический институт -1991. -123 с. ПО. Ларгин И.Ф.
Свойства и методы исследования торфяных и сапропелевых месторождений. Сб.
статей. Калининский гос. университет. -1983.-С. 27-53.
94. Ларгин И.Ф. Торфяные и сапропелевые месторождения. Межвузовский
тематический сборник. Калининский политехнический институт. -1982. 17-31.
95. Ларина Н. К., Миессерова О. К., Скрипченко Г. Б. Применение ИК спектроскопии
для расчета структурных параметров бурых углей и продуктов их термообработки
ХТТ.- 1978.- №2.- 42-50.
96. Лиштван И. И., Аношко Я. И., Евдокимова Г. А., Дудка А. Л. Химический состав
белорусских сапропелей Изв. АН БССР.- Сер. хим. наук. 1986.- №1.- 94-98. fii| *-А
97. Лиштван И. И., Дудка А. Л., Евдокимова Г. А. Об органоминеральных веществах
сапропелей ХТТ.- 1986.- №4.- 28-32.
98. Лиштван И. И., Евдокимова Г. А., Юркевич Е. А. и др. ИК спектроскопическое
исследование сапропелей ХТТ.- 1985.- №1.- 3-8.
99. Лиштван И. И., Косаревич И. В., Битюков Н. Н. и др. Особенности некоторых
сапропелевых месторождений Торф, пром-ть. 1981.- №10.С. 27-30.
100. Лиштван И. И., Косаревич И. В., Литяева 3. А., Рябченко В. И. Сапропели и торфа
для получения буровых растворов Бурение. 1982.№8.-С. 18-19.
101. Лиштван И. И., Лопотко М.
102. Использование сапропелей в народном хозяйстве Проблемы использования
сапропелей в народном хозяйстве. Минск: Наука и техника. 1976.- 5-13.
103. Лиштван И. И., Стригуцкий В. П., Евдокимова Г. А и др. ИК спектроскопическое
исследование сапропелей ХТТ.- 1985.- №3.- 9-15.
104. Лиштван И.И,, Долидович Е.Ф., Шеремет Л.С. О влиянии экстрагента на
количественное содержание
105. Лиштван И.И., Король Н.Т. Основные свойства торфа и методы их определения Минск: Наука и техника -1975. -319 с.
106. Лозовский Л. И., Федотов В. Л. К вопросу о содержании йода в илах озер
Белорусского Поозерья Природа и хозяйство Белоруссии. Минск: Наука и техника. 1969.- 18-20.
107. Лопатин Н. В. Образование горючих ископаемых. М.: Наука.- 1983.С. 78-89.
108. Сапропели БССР, их добыча и использование.- Минск: Наука и техника.-1974.197с.
109. Лопотко М. 3., Евдокимова А. В., Тишкович А. В. Перспективы использования
сапропеля Вести Академии навук Беларускай ССР.- 1979.-№5.-С. 91-93.
110. Лопотко М. 3., Евдокимова Г. А., Кузьмицкий П. Л., Букач О. М. Сапропелевые
удобрения. Минск: Наука и техника. 1983.- 119с.
111. Лопотко М. 3., Кислов Н. В. Использование сапропелей в народном хозяйстве СССР
и за рубежом. М.: Наука. 1990.- 85с.
112. Лопотко М. 3., Пунтус Ф. А. Химический состав поровых вод сапропелей Проблемы
поровых растворов в геологии.- Минск.: Наука и техника. -1973.- 139-142.
113. Лопотко М.З. Озера и сапропель (ред. Лиштван И.И.) Минск: Наука и техника.1978. -С. 13-28.
192
(ОБЗОРНЫЙ ПРИМЕР РАБОТЫ)

193.

(ОБЗОРНЫЙ ПРИМЕР РАБОТЫ)
114. Лопотко М.З., Евдокимова Г.А. Сапропели и продукты на их основе. Минск: Наука
и техника.-1986. -191 с.
115. Лукошко Е. С, Бамбалов Н. Н., Хоружик А. В. и др. Состав и свойства гуминовых
кислот начального периода торфообразования ХТТ.- 1988.№5.-0.3-10.
116. Лукошко Е. С Раковский В. Е. Механизм образования гуминовых веществ в
процессе торфообразования Химия и генезис торфа и сапропелей. Минск: Изд-во АН
БССР.- 1962.- 23-29.
117. Макитра Р.Г., Пириг Я.Н. Зависимость выхода экстракта торфа от свойств
растворителей ХТТ. 1991. №1. 67-70.
118. Макитра Р.Г., Пириг Я.Н. Количественное обобщение данных по экстракции
сапропелитов ХТТ 1993. 3. 14-17.
119. Малюгин Ю. Ф. Основные положения проекта Государственной комплексной
программы промышленного производства и использования сапропелевой продукции,
направленной на решение актуальных задач экологии, сельского хозяйства,
медицины, стройиндустрии Мат-лы 1-ой Всеросс. науч.-практ. конф. по программе
комплексных исследований сапропелей, производства и использования
сапропелевой продукции в различных отраслях народного хозяйства. М.: Наука
1994.- 176с. i)
120. Майская М., Кодина Л. А. Геохимия лигнина. М.: Наука. 1975.- 106-116.
121. Марри Р., Греннер Д., Мейес П., Родуэлл В. Биохимия человека: В 2-х томах. Т. 2.М.: Мир. 415с.
122. Марченко Л. О. Изучение антибактериальных свойств сапропелей Белоруссии и
выделенных из них микроорганизмов Проблемы
124. Марченко Л. О., Гуринович Е. Микробиологические исследования сапропелей
Белорусских озер Проблемы использования сапропелей в народном хозяйстве.
Минск: Наука и техника. 1976.- 74-81.
125. Марыганова В.В., Смычкин Т.П., Бамбалов Н.Н. Особенности химического состава
и молекулярной структуры продуктов окислительной деструкции гуминовых кислот
торфа ХТТ. 1998. №5. 21-28.
126. Масленникова Е. Н. Витамины сапропеля и их действие на организм Действие
сапропеля на физиологические процессы в животном организме. -Л.: Наука.-1976.130.С.
127. Матис Е. Я., Кураколова Е. А., Буркова В. Н. Сравнительная оценка способов
выделения липидов (битумоида А) из слаболитифицированных осадков Геохимия.
1986.- №9.- 1366-1369.
128. Методические рекомендации к контролю питательных биологическим показателям.
-М. Мин. Здрав. -1980. -27 с.
129. Методы биохимического исследования растений. /Под ред. Покровского В.И. Л.
1987. 430с.
130. Мешкова Г. Н. Физико-химическое исследование органической массы торфа и
сапропеля: Автореф. ...канд. хим. наук. М.- 1969.- 25с.
131. Мизандронцев И.Б. Химические процессы в донных отложениях водоемов.
Новосибирск: Наука. Сиб отд. -1990. 21-37. 147. Мун А. И. О сорбции кобальта,
никеля, меди и цинка гуминовыми кислотами озерных осадков Изв. АН Казахской
ССР.- 1966.- Сер. хим. Вып. 1.-С.ЗЗ-38.
132. Наумова Г. В. Торф в биотехнологии. Минск: Наука и техника.-1987.154с.
133. Наумова Г.В., Стригуцкий В.П., Жмакова Н.А.., Овчинникова Т.Ф. Связь
молекулярной структуры гуминовых кислот и их биологической активности //ХТТ.
2001. №2. 3-13. сред по
134. Нейштадт М. И. Сапропелевые месторождения СССР: Межд. конгресс по торфу. Л.1963.- 14с.
135. Никишина М,Б. Химический состав гуминовых кислот бурых углей Подмосковного
бассейна реакционная способность, области применения: Автореф. кнд. хим. наук. СПб. -1997.-18 с.
136. Окулов М., Гневашев А., Королев А., Реймер В. Использование сапропеля в
утководстве Птицеводство. 1984.- №3.- 26-27.
193
(ОБЗОРНЫЙ ПРИМЕР РАБОТЫ)

194.

(ОБЗОРНЫЙ ПРИМЕР РАБОТЫ)
137. Орлов Д. Гумусовые кислоты почв. М.: Изд-во МГУ.- 1974.- 272-273.
138. Орлов Д. С Демин В. В., Завгородная Ю. А. Влияние молекулярных параметров
гуминовых кислот на их физиологическую активность Докл. РАН.-1997.- Т. 354.№6.- 843-845.
139. Орлов Д.С. Гумусовые кислоты почв и общая теория гумификации. М.: Изд-во
Моск. ун-та. -1990. -330 с.
140. Орлов Д.С. Окислительно-восстановительные процессы и их роль в генезисе и
плодородии почв. -М.- 1982. -С. 125-137.
141. Орлов Д.С. Органическое вещество почв Российской федерации. -М. Наука.-1996.С. 15-18.
142. Орлов Д.С. Термодинамические методы химической характеристики почв.-М.1986.-С. 31-40.
143. Орлов Д.С, Горовая А.И., Ярчук И.И. Гуминовые кислоты в биосфере Рос. АН.
Науч. Совет по пробл. почвоведения. Ин-т почвоведения и фотосинтеза и др. М.
Наука, 1993. 237 с,
144. Осипов А, М. Исследование молекулярной структуры углей методами РЖ- и ЯМРспектроскопии Тр. ин-та физ.-орг. химии и углехимии. Киев. 1986.- 144с.
145. Охочинская О.Д. Химический состав и биологическая активность сапропеля
Астраханской области. Автореф.... дне. канд. хим. наук. -СПб.2000. -20
146. Пащенко Л.В., Саранчук №1. 29-32. В.И., Шендрик Т.Г., Галущко Л.Я.
Исследование структуры и свойств гидролизного лигнина ХТТ. 1998.
147. Пелоидотерапия распространенных заболеваний. Пятигорск. 1985.192с.
148. Перельсон М. Е., Шейнкер Ю. Н., Савина А. А. Спектры и строение кумаринов,
хромонов и ксантонов. М. Медицина. 1975. 225с.
149. Перфильев Б.В. Микрозональное строение иловых озерных отложений и методы
его исследования. -Л. Наука. 1972. -С.6-16.
150. Пидопличко А. П. Озерные отложения Белорусской ССР.- Минск: Наука и техника.1975.- 120с.
151. Пидопличко А. П., Барсукова Р. И. Некоторые особенности генезиса малозольных
сапропелевых отложений Тр. Свердл. с.-х. ин-та. Свердловск. -1968.- Вып. 17.- 101110.
152. Пидопличко А. П., Грищук Р. И. Некоторые итоги изучения сапропелевых
отложений Белорусской ССР Химия и генезис торфа и сапропелей. Минск: Изд-во АН
БССР.-1962.- 258-274.
153. Пидопличко А. П., Грищук Р. И. Основные стратиграфические схемы развития озер
Белорусской ССР Тр. ин-та торфа АН БССР.- Минск. 1960.-T.IX.-C.75-81.
154. Платонов В. В., Галкина И. С Проскуряков В. А., Шавырина О. А., Охочинская О.
Д., Зуев П. Д. Гуминовые кислоты сапропелей: современное состояние проблемы,
взаимосвязь их химической структуры и биологической активности.- 25с.- Деп. в
ВРШИТИ 10.10.2000.- №2587ВОО.
155. Платонов В. В., Галкина И. С Шавырина О. А., Проскуряков В. А. Сапропели
кладовая биологически активных соединений Реактив2000: Тез. докл. XIII
Междунар. научн.-техн. конф. «Химические реактивы, раегенты и процессы
малотоннажной химии».- Тула: Изд-во ТГПУ им. Л. Н. Толстого. 2000.- 212-213.
156. Платонов В. В., Камнева А. И. Теоретические основы химической технологии
горючих ископаемых. М.: Химия. -1990. 286с.
157. Платонов В. В., Охочинская О. Д., Проскуряков В. А., Шавырина О. А., Галкина И.
С, Сыпченко А. Я., Безобразова В. Химические особенности гуминовых кислот
сапропеля Ахтубинской поймы и их биологическая активность.- 17с.- Деп. ВРШИТИ
10.10.2000.- №2586-ВОО.
158. Платонов В. В., Проскуряков В. А., Галкина И. С Шавырина О. А. и др. Сапропель.
Химический состав, свойства, пути рационального использования: Доклады
Междунар. экологич. конгресса «Новое в экологии и безопасности
жизнедеятельности».2000.-Т.1.-С. 291-293.
194
(ОБЗОРНЫЙ ПРИМЕР РАБОТЫ)

195.

(ОБЗОРНЫЙ ПРИМЕР РАБОТЫ)
159. Платонов В. В., Проскуряков В. А., Никишина М. Б., Новикова И. Л. Химический
состав гуминовых кислот бурого угля Подмосковного бассейна ЖПХ.- 1996.- Т. 60.Вып. 12.- 2059-2061.
160. Платонов В.В., Дмитриева Е.Д., Проскуряков В.А., Швыкин А.Ю., Чилачава К.Б.
Химический состав сапропеля Белгородской области.37 с. Деп. В ВИНРПИ 16.04.03.
718 -В 2003.
161. Платонов В.В., Дмитриева Е.Д., Проскуряков В.А., Швыкин А.Ю. Химический
состав гуминовых кислот сапропеля Белгородской области (р. Тихая Сосна,
Красногвардейский район). 38 с Деп. В ВИНИТИ 03.07.2003 1260 -В 2003.
162. Платонов В.В., Дмитриева Е.Д., Проскуряков В. А., Сыпченко А.Я., Хадарцев А.А.
Биологическая активность сапропеля и препаратов на его основе. 20 с. Деп. В
ВРШИТИ 03.07.2003 1262 В 2003.
163. Подъяблонский М., Подлетская Н. Н., Колюжнов В. Г. и др. Использование
сапропеля в животноводстве: Методические рекомендации ВАСХНИЛ Сиб. отд.
Новосибирск. 1983.- 18с.
164. Позняк В. Химическое исследование некоторых сапропелеи Белорусской ССР и
сопоставление их с торфом: Автореф. дис. канд. хим. наук. Минск. 1952.- 13с. С-Пб.
14-16 июня.
165. Пономарева М.А. Химический состав пути использования сапропелей Татарстана:
Автореф... канд. хим. наук. -СП6.-2002.-20
166. Потонье Г. Сапропелиты.- М.: Изд-во журн. нефт. и сланц. хоз.- 1920.45с.
167. Прыткова М.Я. Географические закономерности осадконакопленич в млых
водохранилищах. Л: Наука. 1986. -С. 12-23.
168. Пунтус Ф. А. Исследование углеводного и аминокислотного состава гидролизатов
гуминовых кислот сапропелей Проблемы использования сапропелей в народном
хозяйстве. Минск: Наука и техника. 1976.- 122-128.
169. Пунтус Ф. А., Бамбалов Н. Н., Смычкин Т. П. Исследование периферической части
гуминовых кислот торфа и сапропелей Проблемы использования сапропелей в
народном хозяйстве. Минск: Наука и техника. 1976.- 115-122.
170. Пушкина Р. А., Куклинский А. Я. Определение метиленовых групп в цепях
насыщенных углеводородов по инфракрасным спектрам поглощения Химия и
технология топлив и масел. 1975.- №5.- 55-56.
171. Романкевич Е. А. Биогеохимический состав осадков Тихого океана Литология и
полезные ископаемые. 1974.- №1.- 20-25.
172. Рубанов В. С Kopmiyn Н. Н. Действие сапропеля на урожай сельскохозяйственных
культур и на изменение агрохимических показателей дерново-подзолистой почвы в
условиях Белоруссии Проблемы использования сапропелей в народном хозяйстве.
Минск: Наука и техника. 1976.- 146-156.
173. Русчев Д. Д. Химия твердого топлива. Л.: Химия. 1976.- 25-28. 79-85.
174. Сапропелевые отложения водоемов Латвийской ССР/ Под ред. Б.Я. Вимба Рига:
Зинатне. 1967.- 80с.
175. Сапропель: ресурсы, области применения, технология добычи и переработки:
Научн.-техн. обзор Гос. ин-т проектирования на речи, трансп. М.: БИ.- 1991.- 42с.
176. Сасина В. Н., Румянцева Н. А., Гарцман В. В. Определение химического состава и
гуминовых кислот бурых углей и методом окислодеструкции ХТТ.- 1991.- №6.- 4552.
177. Свойства методы исследования торфяных сапропелевых месторождений: Межвуз.
сб. научн. тр. Калинин. 1983.- 143с.
178. Сенькевич Л. П., Курзо Б. В., Кухарчик В. В., Фролова 3. М. Особенности
образования и структуры гуминовых кислот сапропелей различного генезиса ХТТ.1996.- №5.- 19-25.
179. Сенькевич Л. П., Курзо Б. В., Пармон В. и др. Особенности структуры гуминовых
кислот//ХТТ.- 1995.- №1.- 3-14.
180. Сенькевич Л.П., Курзо Б.В., Пармон СВ., Прохоров Г. Характеристика гуминовых
кислот разновозрастных озерных сапропелей //ХТТ. 1995. №1. 3-13.
195
(ОБЗОРНЫЙ ПРИМЕР РАБОТЫ)

196.

(ОБЗОРНЫЙ ПРИМЕР РАБОТЫ)
181. Серебренникова О. В. Эволюция тетрапиррольных пигментов в осадочных
отложениях. М.- 1988.- 140 с.
182. Сильверстрейн Р., Басслер Г., Моррил Т. Спектрометрическая идентификация
органических соединений. М.: Наука- 1977.- 308с.
183. Сирюк Л. Г. Спектральные методы исследования ароматических углеводородов в
нефтях и нефтепродуктах. М.: Наука- 1968.- 93с.
184. Скрябин Г.К., Головлева Л.А. Использование микроорганизмов в органическом
синтезе. М.: Наука. 1976. 333с.
185. Смит Е. Л. Витамин В.- М.: Мир. 1962.- 170с.
186. Соколов В. А., Бестужев М. А., Тихомолова Т. В. Химический состав нефтей и
природных газов в связи с их происхождением. М.: Недра.1972.-С. 110-115.
187. Соколов Д. Ф. Определение неорганических компонентов в сапропелях Методика
изучения сапропелевых отложений. М.: Изд-во АН СССР.1953.-С. 87-121.
188. Соколова В. Е. О гипоазотемическом действии флавоноидов Фармакология и
токсикология. Киев. 1975.- Вып. 10.- 62-66.
189. Солдатенков П. Ф. Действие сапропеля на физиологические процессы в животном
организме. Л: Наука.-1976.- 170с.
190. Соловьев М. М., Белоголовая Л. А. Основные типы озерных и болотных отложений
озера Селигер Тр. сапропелевого ин-та.- М.- 1934.Т. 1.-С. 27-29.
191. Справочник биохимика: Пер. с англ. Досон Р., Эллиот Д., Эллиот У., Джонс К.- М.:
Мир. 1991.- 544с.
192. Стадников Г. Л. Происхождение углей и нефти. М.: Изд-во АН СССР.-1937.-С. 3135.
193. Стеклов Н. А. О разведке и оценке сапропеля: Вторая межвуз. конф. по
использованию сапропеля в сельском хозяйстве.- Свердловск.- 1966.- 124-126.
194. Стеклов Н. А., Ильина Е. Д. О генетической классификации отложений сапропеля
Проблемы использования сапропелей в народном хозяйстве.Минск: Наука и
техника.- 1976.- 63-73.
195. Страхов Н.М. Осадкообразование в современных водоемах. -М.Наука.-1993.-С.2663.
196. Сукачев В. Н., Поплавская Г. И. Очерк историии озер и растительности Среднего
Урала в течение голоцена по данным изучения сапропелевых отложений Бюлл.
Комис. по изучению четвертичного периода АН СССР.- 1946.- №8.- 5-98.
197. Сурасинха Саман Химический состав и биологическая активность гуминовых
кислот. Автореф.... канд. хим.наук. -СПб. -2000. -19 с.
198. Сухая Т. В., Снопков В. Б., Лопотко М.
199. Применение сапропеля в производстве древесно-волокнистых плит Проблемы
переработки тверд, горюч, ископаемых. Минск. 1980,- 98-99.
200. Тарантов А. Значение минералов и минералогических исследований при изучении
сапропелевых отложений: Межвуз. сб. научн. тр. Методы исследования торфяных и
сапропелевых отложений. Тверь. 1991.- 61-71.
201. Тарантов А. Значение минералогических исследований при изучении состава и
свойств сапропелей Программа комплексного исследования сапропелей,
производства и использования сапропелевой продукции в различных отраслях
народного хозяйства. М.- 1994.- 7778.
202. Тарантов А. Минералогический состав сапропелей как отражение гидрохимической
эволюции озер Методы исслед. торф, и сапр. отлож. Калинин: КГУ.- 1989.- 4-16.
203. Тарантов А. Морфология и особенности генезиса фосфатов и карбонатов железа
сапропелевых отложений Свойства и методы исследования торфяных и
сапропелевых месторождений. Калинин. 1983.-С. 102-109.
204. Тарантов А. С, Курзо Б. В. Минералого-геохимические особенности формирования
сапропелевых отложений с активным проявлением сульфатредукции (на примере оз.
Беленц БССР) Изв. ВУЗов. Геология и разведка.-1989.-№3.- 40-45.
205. Тарантов А. С Ларгин И. Ф., Антонов В. Задачи и методика исследования
минералогического состава сапропелей Биохимич. карбонаты антропог. озер и
источи. Пермь: ППИ.- 1989.- 29-37.
196
(ОБЗОРНЫЙ ПРИМЕР РАБОТЫ)

197.

(ОБЗОРНЫЙ ПРИМЕР РАБОТЫ)
206. Тарантов А. С, Логинов А. Н., Антонов В. Агрохимическое значение и методика
определения 18. окислительно-восстановительного потенциала сапропелевых
отложений Торф, пром-ть. 1986.- №1.- 15207. Тарновский А.А. Геохимия донных отложений современных озер. -Л. изд-во ЛГУ. 1980. -С. 15-31.
208. Титов Е. М. О классификации пресноводных сапропелей Сапропели и их
использование. Минск. 1958.- 29-40.
209. Топливо твердое минеральное. Метод определения зольности. М.ГОСТ 11022-90
(ИСО 1171-81, СТ СЭВ 493-89, СТ СЭВ 1461-78).
210. Торф и продукты его переработки для сельского хозяйства. Методы определения
обменной и активной кислотности. ГОСТ 11623-89.- М.: Издво стандартов- 1990. 10с.
211. Торф. Методы определения влаги. ГОСТ 11305-83.- М.: Изд-во стандартов. 1983. 8
с.
212. Торф. Методы определения зольности. ГОСТ 11306-83.- М.: Изд-во стандартов.
1984. -10 с.
213. Трубецкой О.А., Кудрявцева Л.Ю., Ширшова Л.Т. Фракционирование гумусовых
веществ почв электрофорезом в полиакриламидном геле в присутствии
денатурирующих агентов Почвоведение. 1993. №8. 122125.
214. Тюремный Н, Атлас растительных остатков, встречаемых в торфе М.Ленинград.
1959. 82-84.
215. Успенский В. А., Радченко О. А., Шишкова А. П. Методы битумологических
исследований. Задачи исследований и пути их разработки. Л.- 1975.- 38-49.
216. Федотов В. Л. Микроэлементный состав сапропелей Проблемы использования
сапропелей в народном хозяйстве. Минск: Наука и техника. 1976.- 97-104.
217. Федотов И. Ф. Микрофлора молтаевского сапропеля при хранении его в условиях
грязехранилищ лечебных учреждений Свердловской области Тр. Свердл. с.-х. ин-та.
Свердловск.- 1968.- Вып. 17.- 139-144.
218. Хохлов Б. Н. Об использовании Ярославской и Псковской областях сапропелей на
удобрение в Проблемы использования
219. Царфис П. Г., Киселев Б. В. Лечебные грязи и другие теплоносители.М.:Высшая
школа.-1990.- 127с.
220. Цыпленков В. П., Чуков Н. Парамагнитная активность органического вещества
некоторых почв Почвоведение. 1984.- №1.- 123-129.
221. Черонис Н. Д., Ма Т. Микро- и полумикрометоды органического функционального
анализа. М.: Наука 1973.- 375с.
222. Чуков П., Талашкина В. Д., Надпорожская М. А. Физиологическая активность
ростовых стимуляторов Почвоведение. 1995.-№2.- 169-174.
223. Шабарова Н. Т. Азотистые вещества сапропелей.- Тр лабор. сапр. отложений. М.Л.-1950.- Вып. IV.- 40-47.
224. Шестакова Т.В. Вещественный состав и размещение сапропеля озер
Калининградской области Проблемы использования сапропелей в народном
хозяйстве. Минск: Наука и техника. 1976. 39-45.
225. Шинфлер С Бурыан П., Мацак И. Анализ функциональных групп в угле и
продуктах его пиролиза Процессы обогащения и использования угля: Конф. ЧС НТО
и Р1ГГ.- Прага. 8. 11.1979.- 38-41.
226. Шишков В. Ф., Рандин О. П., Петухов Л. П. и др. Природа сигналов ЭПР в
гуминовых кислотах ХТТ.- 1985.- №4.- 38-40.
227. Шишков В.Ф., Тутурина В.В. Окисление сапропелитов. Иркутск: издво Иркутского
ун-та. -1985. -С. 15-18.
228. Шляпников Д. С Демчук И. Г., Окунер П. В. Минеральные и гуминовых кислот почв
компоненты донных отложений озер Урала. Свердловск. 1990.- 100с.
229. Юдина Н. В., Писарева И., Саратиков А. Параметры оценки биологической
активности органического вещества сапропелей Химия растительного сырья. 1998.№4.- 29-32.
197
(ОБЗОРНЫЙ ПРИМЕР РАБОТЫ)

198.

(ОБЗОРНЫЙ ПРИМЕР РАБОТЫ)
230. Юдина Н.В., Писарева СИ., Пынченков В.И., Лоскутова Ю.В. Параметры оценки
биологической активности органического вещества сапропелей Химия растительного
сырья 1998. №4. 33-38.
231. Юдина Н.В., Писарева СИ., Саратиков А.С Оценка биологической активности
гуминовых кислот торфов //ХТТ. 1996. №5. С 31-34.
232. Albaiges J. et al. Extractable and bound neutral lipids in some lacustrine sediments
Org. Geochem.- 1984.- V. 6.- P. 233-236.
233. Analytical methods for coal and coal products Ed. Karr C N.-Y.- 19781979.-V. 1-3. P.
379-403.
234. Baker E. W., Palmer S. E., Huang W. Y. Chlorin and porphyrin geochemistry of DSDP
Leg 40 sediments Bolli H. M., Ryan B. E. Init. Repts. DSDP.- Washington.- 1978.- V. 3841.- P. 639-647.
235. Baker E, W., Palmer S. E., Huang W. Y. Intermediate and late diagenetic tetrapirrole
pigments. Leg 41: Cape verde rise and losin Init. Rep. Deep Sea Drilling Project.- 1972.V. 41.- P. 825-837.
236. Baker E. W., Smith G. D. Chlorophyll derivatives in sediments, Site 147 Heezen B. C
MacGregor I. D. Init. Repts. DSDP.- Washington.- 1973.- V. 20.P. 943-946.
237. Boyd M. L., Montgomery D. S. Structural group analysis of the Athabasca bitumes
asphaltene and tar components Fuel.- 1962.- V. 62.- №3.- P. 335350.
238. Carter P. Adsorption of aminoacid-containing organic matter by calcite and quarts
Geochim. Cosmochim. Acta.- 1978.- V. 40.- P. 1939-1942.
239. Carter P., Mitterer R. Amino acid composition of organic matter, associated with
carbonate and non-carbonate sediments Geochim. Cosmochim. Acta.1978.-V. 40.-P.
1928-1938.
240. Chave K., Suess E. Calcium carbonate saturation in sea water; effects of dissolved
organic matter Limnol. Oceanogr.- 1970.- V. 15.- P. 633-637.
241. Chemistry and Biochemistry of plant pigments Ed. T. W. Goodvin.— London: Academic
Press,- 1976.- 340 p.
242. Clark F. E., Tan K. H. Identification of polysaccharide ester linkage in humic acids Soil.
Biol. Biochem.- 1969.- V. 1.- P. 75-81.
243. Craver C. D. Dask-book of Infrared Spektra. Coblentz Society.- РОВ 9
245. Devon T. K., Scott A. J. Handlook of naturally occuring compounds. N. Y.-1972.-386p.
246. Farmer V. C. The Inerared spectra of minerals.-London.-1974.-320 p.
247. Flaig W. Chemical composition and physical properties of humus substances:
Symposium "Humus et Planta".- Prague-1967.- P. 81-112.
248. Flaig W. Effekt of humik substances on plant metabolism Proc. 2 nd Int. Peat
Congress.- Leningrad.- 1970.- P. 579-606.
249. Hajibrahim S. K., Tibbetts P. J. C Watts С D., Maxwell J. R., Eglinton G. Analysis of
carotenoid and porphyrin pigments of geochemical interest by highperformance liquid
chromatography //Analytical chemistry.- 1978.- V. 50.№4.- P. 549-553.
250. Horawski H. Studia and osadami dennymi torfowisk Zeszyty problemave posteraw
nauk rolniczych.- 1971.-№107.- S. 167-178.
251. Kershaw J. R. Ultraviolet and luminiscence spectroscopy Spectrosc. Anal. Coal Liguids.Amsterdam.- 1989.- P. 155-194.
252. Kershaw J. R. Spectroscopic Analysis of coal liguids Coal Sci. And Technol.Amsterdam.- 1989.- V. 12.- 395p.
253. Lounda J. W., Palmer S. E., Baker E. W. Early products of chlorophyll diagenesis in
Japan Trench sediments of Deep Sea Drilling Project sites 434, 435 and 436 Init. Repts.
DSDP.- Washington.- 1980.- V. 56-57.- Pt 2.- P. 1391-1369.
254. Merkt J., Luttig G., Schneekloth H. Vorschlag zur Gliederung und Definition der
limnischen Sedimente. Geol. Jb. 89.- Hannower.- 197l.-S. 17-21.
255. Meyer W. Die Bestimmung functioneller Gruppen an Huminsubstanzen aus Boden.Zurich.-1962.- S. 82-83.
256. Nischimura М. The geochemical significance in early sedimentation of geolipids
obtained by saponification of lacustrine sediments Geochim. Cosmochim. Acta.- 1977.- V.
41.- P. 1817-1823.
198
(ОБЗОРНЫЙ ПРИМЕР РАБОТЫ)

199.

(ОБЗОРНЫЙ ПРИМЕР РАБОТЫ)
257. Ogner G. Fractionation of humus hydrolysates by ion exchange resins Soil, sci.1970b.- V. 110.- №2.- P. 8 6-92.
258. Piccolo A., Campanella L., Petrolino B. M. Carbon-13 Nuclear Magnetic Resonance
Spectra of soil humis substances extracted by different mechanizms Soil Science Society
of America Journal.- 1990.- №54.- P. 750-756.
259. Piccolo A., Nardi S., Concgeri G. Structural characteristics of humic substances as
related to nitrate uptake and growth regulation in plant systems Soil Biol. Biochem.1992.- V. 24.- №4.- P. 373-380.
260. Pretsch E. Tables para la elucidation estructural de compuestos organicos par methods
opticos Alhambra.-Madrid.- 1980.- 120v.
261. Robinson N., Granwell P. A., Eglinton G. Sources of the lipids in the bottom sediments
of a English oligo-mesotrophic lake Freshwater Biol.- 1987.- V. 17.-P. 15-33.
262. Scheffer F., Ulrich B. Humus und Humusdungung Enke Verlag.- Stuttgart.1960.- S. 2733.
263. Schnitzer M., Kemdorf H. Reactions of fulvic acid with metal ion Water, air and soil
pollutions.- 1981.- №5.- P. 97-108.
264. Smith G. D., Baker E. W. Chlorophyll derivatives in DSDP Leg 22 sediments Borch С С
Sclater J. G. Init. Repts. DSDP.- Washington.- 1974.V. 22.- P. 677-679.
265. Sowden F. J. Extraction of nitrogen containing organic matter fractions fi-om brown
forest soil //Canad. J. Soil. Sci.- 1970a.- V.50.- P. 227-232. 280. Tan K. H., Clark F. E.
Polysaccharide constituents in fulvic and humic acids extracted soil Geoderma.- 1970.№2.- P. 72-78.
266. Tarantov A. S. Microbiological and geochemical stratification of guttja deposits
Processings VIII int. peat congress.- Leningrad.- 1988.- P. 22-28.
267. Vibrational spectra of organominerallic compaunds Ed. Maslowsky E. N.-Y.-1976.-528
p. 283. Von Rudlof E. Infrared spectra of natural products Flavour and Fragrance
Journal.- 1985.-V. 1.-P. 33-35.
268. Wang С Determination of aromaticity indices of coal liguids by infrared spectroscopy
Fuel.- 1987.- V. 66.- №6.- P. 840-843.
269. Yamaguchi K. Spectral Data of natural products. V. 1. N.-Y, 1970. 435p.
Специальная литература по добыче сапропеля
1. Дементьев В.А., Абдельрасул Ахмед Мекки. Технология удаления и переработки
донных отложений водохранилища Высотной Асуанской плотины. Журнал №12
«Гидротехническое строительство».М., 2004, с.40.
2. Ports and Dredging. Asweep in the deep. Giant VASCO DA GAMA gets the world’s largest
deep dredging installation. Published by IHC Holland in 2002, E 157, p.2.
3. Дементьев В.А., Кожевников Н.Н.Устройства земснарядов для очистки глубоких
водоемов от илистых отложений и применение пневматических грунтовых насосов.
Журнал №1 «Гидротехническое строительство».М., 2005, с.25-30.
4. Бессонов Е.А. Технология и механизация гидромеханизированных работ. Справочное
пособие для инженеров техников. Издательство «Центр», М., 1999, с.40.
5. Каталог “PNEUMA system” фирмы PNEUMA S.r.l., Италия, 2004.
6. Штин С.М. Озерные сапропели и их комплексное освоение. Издательство МГГУ, М.,
2005, с.208-215.
7. Thermie Programme: promotion of energy technology in Europe. Журнал №13 «OIL &
GAS Tehnology», июль 1994.
199
(ОБЗОРНЫЙ ПРИМЕР РАБОТЫ)

200.

(ОБЗОРНЫЙ ПРИМЕР РАБОТЫ)
8. Дементьев В.А. Определение оптимальных технологических режимов работы
погружного грунтового пневматического насоса (ПГПН) при разработке рыхлых горных
пород. Горный информационно-аналитический бюллетень, №1, М.,2006, с.253-258.
9. Ялтанец И.М., Егоров В.К. Гидромеханизация. Справочный материал.
- М.: МГГУ, 1999.
10.Yasushi Takamura, Shiro Kasajima, Chujiro Mukai. Test report on dredging by S.I.R.S.I.
PNEUMA pump system // The Japan Dredger Technical Society, No.95 – September 1974.
11. Дементьев В.А. Использование отстойников бункерного типа в технологиях очистки
водоемов от донных отложений. Журнал №3 “Горный журнал”, М., 2005, с.65-66.
200
(ОБЗОРНЫЙ ПРИМЕР РАБОТЫ)
English     Русский Rules