Дәріс 8. Верещагин ережесі
Иілу кезіндегі интеграл Мор формуласы
Интегралдың жуық есебі
Верещагин тәсілі
Параболаның ауданы және ауырлық центрі
Таблица интегралов Мора
Есеп
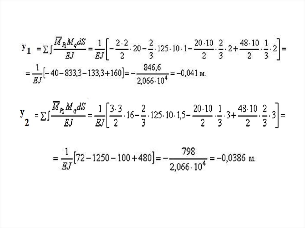
Есеп. Верещагин ережесімен пайдаланып, 1 және 2 нүктелердегі орын ауыстыруыларды анықтау
Жүйенің статикалық анықталмағандық дәрежесі
Мысалы Статикалық белгісіздік дәрежесін анықтаңыз
Пример статически неопределимой рамы
Статикалық анықталмаған жүйелердегі негізгі қасиеттер және артықшылықтары:
Статикалық анықталмаған жүйелерді есептеу әдістері
443.52K
Category: mathematicsmathematics

Дәріс 8. Верещагин ережесі

1. Дәріс 8. Верещагин ережесі

Иілу кезінде
кез келген негізгі жүйеде орын
ауыстыруыларды анықтау үшін
Верещагин шығарған жеңілдетілген
формуланы қолдануға болады

2. Иілу кезіндегі интеграл Мор формуласы

Егер бойлык және қолденен куштердің әсері
өте аз болса, онда орын аустыру формуласы
жеңілдетіледі
ip
M i M p dx
EI

3.

,
,
,
,
Mp , Qp , Np берілген сыртқы күш
әсерінен иілу момент, көлденен кұш
және бойлык күштердің эпюралар – жүк
эпюралар аталады.
Бірлік күштен пайда болатын ішкі күштер
белгеленген- бірлік эпюралар аталады

4. Интегралдың жуық есебі

5. Верещагин тәсілі

ip
M i M p dx
EI
n
i i
i 1
ЕI
Ωi - i участкеде жүк эпюрасының ауданы,
ηi –жүк эпюраның салмақ центрінің астына
жатқан С
нұктесінде бірлік эпюрадан
алынған ординатасы

6. Параболаның ауданы және ауырлық центрі

7. Таблица интегралов Мора

8. Есеп

9. Есеп. Верещагин ережесімен пайдаланып, 1 және 2 нүктелердегі орын ауыстыруыларды анықтау

10.

11. Жүйенің статикалық анықталмағандық дәрежесі

Жүйелер тепе-теңдік үшін артық болатын байланыстары болса,
статикалық анықталмаған деп аталады. Артық байланыстардың
екі түрі болады: сырттай артық байланыстар (nc) немесе іштей
артық байланыстар (nі). Статикалық анықталмаған дәрежені
келесі қосындымен анықтайды:
n= (nc) + (nі)
(1)
Жазық рамада статикалық анықталмаған дәрежені келесі
формула арқылы табуға болады:
n= 3K-T,
(2)
К - жабық контурлардың саны, Т - жабық контурларға енгізілген
қарапайым топсалардың саны.
Егер екі стерженьдер топса арқылы бекітілген болса, осы түйінде
қарапайым топсалардың саны бірге тең. Егер үш стерженьдер –
қарапайым топсалардың саны екіге тең, егер n стержендер –
Т=n-1.

12. Мысалы Статикалық белгісіздік дәрежесін анықтаңыз

13. Пример статически неопределимой рамы

•n=3x2-3=3
n=3x4-9=3

14. Статикалық анықталмаған жүйелердегі негізгі қасиеттер және артықшылықтары:

1.Артық
байланыстар
бар
болуымен
статикалық
анықталмаған жүйелерде статикалық анықталған жүйелерге
қарағанда қаттылығы үлкейеді.
2. Статикалық анықталмаған жүйелерде статикалық
анықталған жүйелерге қарағанда сыртқы жүктеме әсерінен
ішкі күштер кіші болады.
3. Артық байланыстардың бұзылуы немесе солар өте кернеулі
болса, ғимаратты тез толық қирату мүмкін емес.
4. Статикалық анықталмаған жүйелерде ішкі күштер қиманың
өлшеміне және пішініне тәуелді болады.
5. Статикалық анықталмаған жүйелерде температура, және
тіректердің төмен түсуі, бөліктердің дәлдіксіз салуы мен
құрастыруы әсерінен қосымша ішкі күштер пайда болады.

15. Статикалық анықталмаған жүйелерді есептеу әдістері

Статикалық анықталмаған жүйелерді есептеу
үшін, тепе – теңдік теңдеулерден басқа, қосымша
теңдеулерді құру керек. Қосымша теңдеулердің
статикалық немесе кинематикалық мағынасы
болады.
Құрылыс механикасында статикалық анықталған
жүйелерді есептеу үшін, күш немесе орын ауыстыру
әдістері жиі кездеседі. Бірінші әдістегі белгісіз - күштер,
ал екіншіде белгісіз - түйіндердің орын ауыстыруы
болады. Берілген статикалық анықталмаған жүйеде
толық ішкі күштер немесе орын ауыстыру арқылы
өрнектеледі.
English     Русский Rules