11.33M
Category: chemistrychemistry

Омыляемые и неомыляемые липиды

1.

Мы учим и лечим
с 1888 года
Омыляемые и Неомыляемые
Липиды
Чешкова Т.В.
Доцент, к.х.н.
Часть I

2.

Липиды
органические соединения растительного и животного происхождения, различные по
химическому составу, строению и выполняемым функциям и объединенные на основании
общих
физико-химических
свойств
(растворяться
в
неполярных
органических
растворителях).
2

3.

Классификация липидов
3

4.

Классификация омыляемых и неомыляемых липидов
4

5.

Простые липиды. ВОСКИ
- это сложные эфиры предельных насыщенных карбоновых кислот (в т. ч.
высших) и высших одно - или двухатомных спиртов (с 12 и более атомами
углерода в молекуле
• -растительные (карнаубский воск,
пальмовый воск, масло жожоба).
• -животные (спермацет, пчелиный
воск, ланолин и др.);
• ископаемые (торфяной, буроугольный
и др.);
(C15H31COOC16H33)
Главный компонент спермацета,
сложный эфир цетилового спирта и пальмитиновой кислоты
карнаубский воск
5

6.

Простые липиды. ГЛИЦЕРОЛИПИДЫ (ТРИАЦИЛГЛИЦЕРИНЫ)
Триглицериды: Сложные эфиры глицерина и жирных кислот
Карбоновая кислота, полученная гидролизом животных жиров, растительных масел или
мембранных фосфолипидов. Почти все имеют четное число атомов углерода, в большинстве
случаев от 12 до 20, в неразветвленной цепи.
Наиболее распространены три из них:
- пальмитиновая (16:0)
- стеариновая кислота (18:0)
- олеиновая кислота (18:1)
6

7.

Наиболее распространенные жирные кислоты
7

8.

Высшие жирные карбоновые кислоты (ВЖК)
В состав природных жиров и масел входят предельные и непредельные высшие жирные
МОНОкарбоновые кислоты НЕразветвленного строения с ЧЁТНЫМ числом атомов углерода в
цепи.
Пальмитиновая (гексадекановая) кислота С15Н31СООН - т. пл. 64оС.
Стеариновая (октадекановая) кислота С17Н35СООН – т.пл. 70оС.
8

9.

Непредельные ВЖК
Закономерности в строении ненасыщенных ВЖК и номенклатура:
•Двойные связи несопряженные, а отделены друг от друга МЕТИЛЕНОВОЙ группой –СН2– ,
отсюда их еще называют метиленраздельными кислотами.
Двойные связи ненасыщенных ВЖК природного происхождения имеют в основном
ЦИС-конфигурацию, не смотря на то, что транс- более выгодна.
⮚ Олеиновая (октадецен-9-овая) кислота С17Н33СООН, имеет в молекуле одну
двойную связь - Δ 9. 18:1, ω-9.
⮚ Линолевая (октадекадиен-9,12-овая) кислота С17Н31СООН содержит в молекуле две
несопряженные двойные связи - Δ 9, Δ 12. 18:2, ω-6.
9

10.

Непредельные ВЖК
⮚ Арахидоновая (эйкозатетраен-5,8,11,14-овая) кислота С19Н31СООН содержит в
молекуле четыре несопряженные двойные связи - Δ 5, Δ 8, Δ 11, Δ 14. 20:4, ω-6.
⮚ Линоленовая (октадекатриен-9,12,15-овая) кислота С17Н29СООН содержит в молекуле
три несопряженные двойные связи - Δ 9, Δ 12, Δ 15. 18:3, ω-3.
⮚ Тимнодоновая (эйкозапентаен-5,8,11,14,17-овая) кислота (20:5, ω-3) EPA
⮚ Цервоновая (докозагексаен-4,7,10,13,16,19-овая) кислота (22:6, ω-3) DHA
⮚ Клупанодоновая (докозапентаен-7,10,13,16,19-овая) кислота (22:5, ω-3)
10

11.

Непредельные ВЖК
• Элаидиновая кислота - транс–изомер олеиновой кислоты
Элаидиновая кислота - транс–изомер олеиновой кислоты, имеет твердую консистенцию.
При действии азотной кислоты при нагревании происходит изомеризация цис-олеиновой
кислоты в транс-элаидиновую, поэтому раствор затвердевает. Эта реакция носит название
«элаидиновая проба», и используется для установления подлинности олеиновой
кислоты (оливкового масла). Если проба положительная, то исследуемое масло
невысыхающее, т.е. содержит глицериды олеиновой кислоты (омега-9).
11

12.

СПИРТЫ, ВХОДЯЩИЕ В СОСТАВ ЛИПИДОВ
• Высшие одноатомные спирты
• - цетиловый (гексадеканол-1) – С16Н33ОН.
• - стеариловый (октадеканол-1) – С18Н37ОН.
• - цериловый (гексакозанол-1) – С26Н53ОН.
• - мелиссиловый (триаконтанол-1) – С30Н61ОН.
• - мирициловый (гентриаконтанол-1) – С31Н63ОН.
• Аминоспирты
• Глицерин
12

13.

Физические свойства триглицеридов
зависят от компонентов жирных кислот.
Температура плавления увеличивается по мере увеличения числа атомов углерода в его
углеводородных цепях и уменьшения числа двойных связей.
Триглицериды, богатые ненасыщенными жирными кислотами, обычно жидкие при комнатной
температуре и называются маслами.
Триглицериды, богатые насыщенными жирными кислотами, обычно представляют собой
полутвердые или твердые вещества при комнатной температуре и называются жирами
Низкие Тпл. триглицеридов, богатых ненасыщенными
кислотами, связаны с различиями в их трехмерной форме.
жирными
Углеводородные цепи насыщенных жирных кислот могут располагаться
параллельно с сильными дисперсионными силами между их цепями; они
упаковываются в хорошо упорядоченные, компактные кристаллические
формы и плавятся при температуре выше комнатной.
Из-за цис-конфигурации двойных связей в ненасыщенных жирных
кислотах их углеводородные цепи имеют менее упорядоченное строение и
дисперсионные силы между ними слабее; эти триглицериды имеют
температуру плавления ниже комнатной температуры.
13

14.

Получение жиров
• Реакция этерификации глицерина высшими жирными карбоновыми кислотами.
Из природных объектов растительного и животного происхождения
• Первый холодный отжим
• Второй высокотемпературный отжим
• Экстракция жмыха после горячего отжима органическими растворителями
• Рафинирование
• Дезодорирование
14

15.

Гидрогенизация жидких жиров
получение транс-жиров и маргаринов
15

16.

Межмолекулярная переэтерификация
Наиболее рекомендуемым способом получения т.н. «лёгких маргаринов» и растительных
спредов является метод переэтерификации, поскольку образующиеся жиры содержат
транс-изомеров примерно в 10 раз меньше, чем аналогичные, полученные частичной
гидрогенизацией.
Переэтерификация заключается в перестановке жирных кислот между двумя жирами при
действии катализатора: механическая смесь жидкого и тугоплавкого жиров будет со
временем расслаиваться на фракции, особенного при охлаждении, но если эту смесь
переэтерифицировать, то она превратиться в однородный жир, который не будет
расслаиваться. Чаще всего для данной процедуры используют смесь подсолнечного масла со
свиным жиром, в качестве катализаторов берут алкоголяты щелочных металлов (метилат или
этилат натрия), сплав натрий-калий и др., проводят реакцию в вакууме.
16

17.

Химические свойства. Гидролиз
• В кислой среде
• Гидролиз в щелочной среде (омыление)
17

18.

Мыло и моющие средства
Натуральное мыло получают кипячением свиного сала или другого животного жира с NaOH в
ходе реакции, называемой омылением (лат. sapo, мыло).
Мыло очищает, действуя как эмульгатор:
Их
длинные
гидрофобные
углеводородные цепи нерастворимы в
воде и имеют тенденцию группироваться
таким образом, чтобы свести к минимуму
их контакт с водой.
С
другой
гидрофильные
стороны,
их
полярные
карбоксилатные
группы
имеют тенденцию оставаться в контакте с
окружающими
молекулами
воды.
Под
действием этих двух сил молекулы мыла
спонтанно собираются в мицеллы.
Мыльная мицелла: неполярные (гидрофобные)
углеводородные цепи сгруппированы внутри, а
полярные (гидрофильные) карбоксилатные
группы лежат на поверхности.
18

19.

Химические свойства. Присоединение галогенов
Степень
ненасыщенности
жиров
оценивается
иодным
числом,
которое
показывает массу иода в граммах, присоединяющегося к 100 граммам жира.
Присоединение иода происходит по двойным связям.
19

20.

Таблица. Физико-химические показатели жиров
20

21.

Химические свойства. Окисление
Кислотное число – это масса КОН в мг, необходимая для нейтрализации свободных жирных
кислот, содержащихся в 1 г образца.
Пероксидное число – это способность выделять иод из иодида калия. Данный показатель
характеризует содержание пероксидных веществ в прогорклых жирах. Пероксиды проявляют
токсический эффект, и способствуют дальнейшему окислению и прогорканию жира.
21

22.

Химические свойства. Окислительная полимеризация
- невысыхающие – тип олеиновой кислоты (оливковое, миндальное, персиковое,
касторовое, арахисовое масла);
-
полувысыхающие–
тип
линолевой
кислоты
(подсолнечное,
кукурузное,
кунжутное, хлопковое, горчичное масла);
- высыхающие – тип линоленовой кислоты (льняное, конопляное, маковое
масла).
22

23.

СЛОЖНЫЕ ЛИПИДЫ. ФОСФОЛИПИДЫ
Фосфолипиды – липиды, отщепляющие фосфорную кислоту при гидролизе, характеризуются
высоким содержанием ненасыщенных ВЖК.
Фосфатидная кислота
Дальнейшая
этерификация
низкомолекулярным спиртом по
остатку фосфорной кислоты дает
фосфолипид.
В зависимости от строения аминоспирта фосфолипиды подразделяют на:
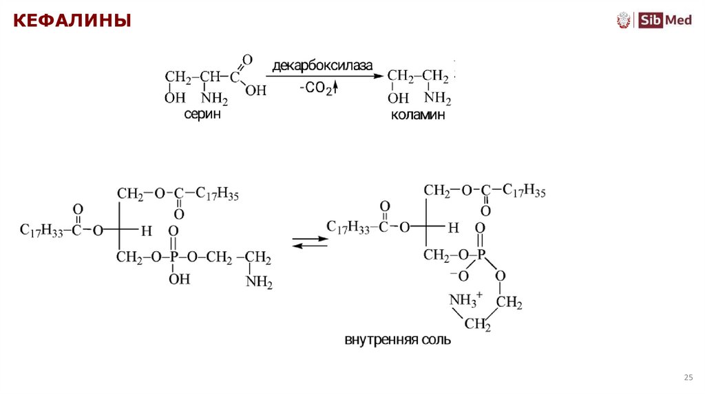
- кефалины – фосфатидилколамины (аминоспирт –коламин);
- лецитины – фосфатидилхолины (аминоспирт – холин);
- серилкефалины – фосфатидилсерины (аминоспирт – серин);
- фосфатидилинозиты (многоатомный циклический спирт – инозит);
- фосфатидилглицерины (многоатомный спирт – глицерин).
23

24.

Низкомолекулярные спирты
24

25.

КЕФАЛИНЫ
25

26.

ЛЕЦИТИНЫ
26

27.

Серилкефалины
27

28.

Биологическая роль
Биологические мембраны
Жидкостно-мозаичная
модель:
биологическая
мембрана
состоит из двойного слоя фосфолипидов с белками, углеводами и
другими липидами, заключенными на поверхности и в двойном
слое
• жидкость: означает, что белковые компоненты мембран
«плавают» в бислое и могут свободно перемещаться вдоль
плоскости мембраны.
• мозаика: означает, что различные компоненты мембраны
существуют бок о бок, как отдельные единицы, а не
объединяются, образуя новые молекулы и ионы.
28

29.

Биологическая роль
Жидкостно-мозаичная модель биологической мембраны, показывающая липидный бислой и
мембранные белки на внутренней и внешней поверхностях мембраны и проникающие в толщу
29

30.

Гидролиз фосфолипидов на примере лецитина
30

31.

СФИНГОЛИПИДЫ
31

32.

СФИНГОЛИПИДЫ
32

33.

ГЛИКОЛИПИДЫ
• цереброзиды - остаток церамида связан β-гликозидной связью с β,D-галактопиранозой или
β,D-глюкопиранозой, в связи с чем выделяют: галактоцереброзиды и глюкоцереброзиды.
• ганглиозиды являются церамидолигосахаридами. Отличаются от цереброзидов тем, что
содержат вместо моносахаридовного остатка сложный олигосахарид, в состав которого
входит N-ацетилнейраминовая кислота.
33

34.

НЕОМЫЛЯЕМЫЕ ЛИПИДЫ / ИЗОПРЕНОИДЫ
• это большая группа природных соединений, которые рассматривают как продукты
превращения изопрена.
• cтруктуру изопреноидов имеют некоторые лекарственные средства,витамины,
гормоны, душистые вещества.
34

35.

Терпены, терпеноиды
Терпены построены из изопреновых фрагментов, которые связаны друг с другом в
изопреновые звенья по типу присоединения «голова к хвосту» (т.н. изопреновое правило Л.
Ружички, 1921 г).
35

36.

ИЗОПРЕНОВОЕ ПРАВИЛО
Если в молекуле изопрена обозначить первый атом углерода (С-1)как «голова», а
четвертый (С4) как «хвост», то по «изопреновому правилу» два изопреновых
фрагмента соединяются следующим образом: первый атом углерода («голова»)
второго
изопренового
фрагмента
соединяется
с
четвертым
атомом
углерода(«хвост») первого изопренового фрагмента:
Согласно этому правилу, число атомов углерода в молекуле терпенов д.б. кратно
5!!!
Содержание водорода в некоторых терпенах может не соответствовать формуле 36

37.

КЛАССИФИКАЦИЯ ТЕРПЕНОВ
I. По числу изопреновых звеньев:
37

38.

КЛАССИФИКАЦИЯ ТЕРПЕНОВ
38

39.

ФИЗИЧЕСКИЕ СВОЙСТВА
39

40.

Монотерпены
(С5Н8)2
⮚ содержат одно изопреновое звено (ИЗ), состоящее из двух изопреновых
фрагментов (ИФ)
⮚ это бесцветные легко летучие жидкости с приятным запахом, содержатся в
эфирных маслах растений.
40

41.

1.Ациклические монотерпены
содержат углеродный скелет 2,6-диметилоктана
41

42.

1.Ациклические монотерпены
42

43.

1.Ациклические монотерпены
Цитраль. При осторожном окислении гераниола и нерола получаются альдегиды:
Цитраль А (гераниаль) и цитраль Б (нераль).
+
Цитраль
проявляет
антисептическое,
болеутоляющее
и
противовоспалительное действие. Применяется в медицине в
глазной практике.
43

44.

ХИМИЧЕСКИЕ СВОЙСТВА
Ациклические монотерпены проявляют свойства:
1. Алкенов:
• Обесцвечивают реактив Вагнера и бромную воду;
• Восстанавливаются до предельных углеводородов;
• Вступают в реакции AЕ.
2. Гераниол и нерол - спиртов:
• Реагируют с металлическим натрием (кислотные свойства);
• Окисляются до альдегидов;
• Вступают в реакции SN (этерификации и др.).
3.Цитрали А и В-альдегидов:
• Восстанавливают серебро в реактиве Толленса и медь в реактиве Фелинга;
• Вступают в реакции AN;
• Восстанавливаются до первичных спиртов.
44

45.

2. МОНОЦИКЛИЧЕСКИЕ МОНОТЕРПЕНЫ:
содержат углеродный скелет ментана (пара-ментана) – это производное
циклогексана: 1-изопропил-4-метилциклогексан.
Ментан содержит два изопреновых фрагмента и не имеет в молекуле двойных
связей
В природе ментан в свободном виде встречается редко,выделен из
древесины араукарии.
В промышленности получают ментан гидрированием пара–цимола.
пара–Цимол (п–изопропилтолуола)
Содержится в эфирных маслах тмина, аниса, кориандра,
эвкалипта, душицы, тимьяна, а также в скипидарах.
45

46.

Представители моноциклических монотерпенов:
46

47.

Химические свойства лимонена
47

48.

Представители моноциклические монотерпенов и
монотерпеноидов
Лимонен - В результате присоединения к лимонену
двух молекул воды образуется двухатомный спирт
терпин (ментандиол-1,8). В медицинской практике
применяется моногидрат терпина под названием
терпингидрат в качестве отхаркивающего средства.
Ментол -терпеноид, относится к кислородсодержащим
производным ментана. используется в пищевой и
парфюмерной
промышленности,
обладает
бактерицидными
свойствами
и
спазмолитическим
действием,
входит
в
состав
ингаляций
и
мазей,применяемых при насморке.
В виде сложного эфира α-бромизовалериановой
кислоты входит в состав лекарственных препаратов:
валокордин, валосердин, корвалол.
Препарат
«Валидол»
(успокаивающее
средство)является
сложным
эфиром
ментола
и
изовалериановой кислоты
48

49.

Бициклические монотерпены
49

50.

Бициклические монотерпены
50

51.

Бициклические монотерпены
51

52.

Бициклические монотерпены
52

53.

Ди- и тетратерпены
53

54.

Ди- и тетратерпены
54

55.

Ди- и тетратерпены
55

56.

56

57.

57
English     Русский Rules