397.00K
Category: economicseconomics

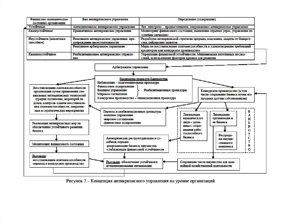
Антикризисное управление в России

1.

Антикризисное управление в России
Макроуровень
Выполнение программ
антикризисных мер
правового
Мезоуровень
Предупреждение и преодоление
кризисов соответствующих систем
Регион, город
Отрасль
Разработка и реализация системы государственного
антикризисного регулирования
финансового
организационного
Микроуровень
Предупреждение
банкротства организации
Проведение процедур
банкротства
организации
Группа организаций
Рисунок 1 – Система антикризисного управления в России

2.

3.

Таблица
1
-
Показатели
хозяйственной
деятельности
ООО
«Стройгарантсервис» за 2014-2016 гг.
Годы
2014
2015
2016
Средняя величина активов, тыс. р.
239904
193403
142545
Изменение
2016 к
2016 к
2014г.
2015г.
-97359
-50858
Средняя величина текущих активов, тыс.
р.
225176
132678
60431
-164745
-72247
Средняя величина собственного
капитала, тыс. р.
-3315
-4166
-4415
-1100
-249
215652
191203
24449
-5631
-5856
126
1712
14,64
0,90
91644
92084
-440
-1649
-1703
134
684
1,51
0,47
51589
52959
-1370
1288
1205
149
346
0,63
0,36
-164063
-138244
-25819
6919
7061
8
-1027,61
-13,1331
-0,42506
-40055
-39125
-930
2937
2908
15
-337,7
-0,881
-0,112
0,96
0,69
0,85
-0,26698
0,163
11,34
-2,35
-0,48
-0,85
-2,66
0,9
-13,99
3,25
-2,18
1,76
169,86
39,58
-29,17
-199,04
-68,76
Показатель
Выручка, тыс. р.
Затраты, тыс. р.
Прибыль от продаж, тыс. р.
Прибыль до налогообложения, тыс. р.
Чистая прибыль, тыс. р.
Численность персонала, чел.
Производительность труда, тыс. р./ чел.
Фондоотдача, р.
Оборачиваемость активов, оборотов
Оборачиваемость оборотных активов,
оборотов
Рентабельность продаж, %
Экономическая рентабельность, %
Рентабельность собственного капитала,
%

4.

Таблица 2 - Формирование персонала в ООО «Стройгарантсервис»
Показатели
Среднесписочная
численность, чел.
Аппарат управления,
чел.
в т.ч. привлеченные за
счет
внешних
источников
Специалисты, чел.
в т.ч. привлеченные за
счет
внешних
источников,
удельный вес к общему
числу специалистов, %
Рабочие

т.ч.
производственники),
чел.
в т. ч. привлеченные за
счет
внешних
источников,
удельный вес к общему
числу служащих, %
Изменение
2015 к 2014 2016 к 2015
2014
2015
2016
126
134
149
8
15
5
6
6
1
0
0
0
0
0
0
16
18
19
2
1
2
2
4
0
2
12,5
11,1
21
-1,4
9,9
105
110
124
5
14
11
16
20
5
4
10,5
14,5
16,1
4
1,6
Таблица 3 - Движение персонала ООО «Стройгарантсервис»
Динамика численности персонала
Среднесписочная численность, чел.
Принято, чел.
Уволено, чел.
в т.ч. за нарушения дисциплины и по собственному желанию
Коэффициент оборота по приему
Коэффициент оборота по выбытию
Коэффициент постоянства кадрового состава
Коэффициент текучести
2014
126
48
22
19
0,38
0,17
0,44
0,15
2015
134
24
18
16
0,18
0,13
0,69
0,12
2016
149
30
14
14
0,20
0,09
0,70
0,09

5.

Таблица 4 - Сравнение динамики активов и финансовых результатов, тыс. р.
Показатель
Средняя за период
величина активов
Выручка от продаж
Чистая прибыль
Темп прироста показателя (%)
к 2016
2014
2015
2014
2015
2016
239904
193403
142545
-40,58
-26,30
215652
-5856
91644
-1703
51589
-1370
-76,08
-76,61
-43,71
-19,55
Таблица 5 - Коэффициенты, характеризующие платежеспособность ООО
«Стройгарантсервис», ед.
>=1
На
31.12.
2014
1,18
На
31.12.
2015
1,06
На
31.12.
2016
0,51
Изменение (+, -)
от 2016
2014
2015
-0,67
-0,55
0,1-0,7
1,15
0,53
0,04
-1,11
-0,49
0,7-0,8
4,12
3,61
2,45
-1,67
-1,16
2,0-3,5
6,95
3,93
2,54
-4,41
-1,39

0,47
0,11
0,06
-0,42
-0,05
Показатель
Норма
Общий показатель ликвидности
Коэффициент абсолютной
ликвидности
Коэффициент «критической
оценки»
Коэффициент текущей
ликвидности
Коэффициент маневренности
функционирующего капитала
Доля оборотных средств в активах
Коэффициент обеспеченности
собственными средствами
Коэффициент утраты
платежеспособности
Степень платежеспособности по
текущим обязательствам, мес.
>=0,5
0,94
0,90
0,44
-0,50
-0,47
>=0,1
-0,08
-0,15
-1,35
-1,27
-1,20
>=1
-
1,59
1,10
-
-0,49
<=6
1,8
4,4
5,5
2,6
1,1
Таблица 6 - Значения коэффициентов, характеризующих финансовую
устойчивость ООО «Стройгарантсервис»
Показатель
Коэффициент капитализации
Коэффициент обеспеченности
собственными
источниками
финансирования
Коэффициент
финансовой
независимости
Коэффициент финансирования
Коэффициент
финансовой
устойчивости
На 31.12. На 31.12.
2014
2015
На 31.12.
2016
-73,369
-30,275
-37,241
Изменение (+, -) от
2016
2014г.
2015г.
36,128
-6,966
-0,080
-0,145
-1,350
-1,270
-1,205
-0,014
-0,034
-0,028
-0,014
0,007
-0,014
-0,033
-0,027
-0,013
0,006
0,865
0,770
0,828
-0,037
0,057

6.

Таблица 7 - Оценка социальной политики ООО «Стройгарантсервис»
Показатель
Средняя списочная численность, чел.
Количество работников, имеющих
медицинскую страховку (кроме ОМС),
чел.
Профилактика
профессиональных
заболеваний, тыс. р./ чел.
Количество работников, охваченных
социальными пособиями и льготами,
чел.
Количество работников, охваченных
пансионатами и детскими лагерями,
чел.
Программы повышения квалификации
и переподготовки, тыс. р./ чел.
Наличие профсоюза
Производственный травматизм %
Текучесть кадров, %
2014
126
Годы
2015
134
Изменение
2016 2015 к 2014 2016 к 2015
149
+8
+15
3
1
2
-1
+1
13
21
25
+8
+4
0
1
0
0
-1
0
0
0
0
0
0
0
0
0
0
0
15
0
12
0
9
0
-3
0
-3
Таблица 8 - Оценка эффективности корпоративной политики во внешней
среде ООО «Стройгарантсервис»
Показатель
Экономия потребления природных
ресурсов, %
Повторное
использование
и
утилизация отходов, %
Экологически безопасная продукция,
количество исков
Акции
по
озеленению
и
благоустройству, количество
Участие в поддержке и развитии
инфраструктуры
территории
размещения, тыс. р.
Поддержка социально незащищенных
групп населения, тыс. р.
2014
Годы
2015
Изменение
2016 2015 к 2014 2016 к 2015
12
16
21
+9
+5
11
13
18
+2
+5
0
0
0
0
0
0
0
1
+1
+1
180
196
215
+16
+19
68
73
71
+3
-2

7.

Таблица 9 – Оценка внутренних угроз экономической безопасности ООО
«Стройгарантсервис»
Область возникновения
угроз
Наличие соответствующего
имущественного комплекса
и его использование
Финансовое
положение
предприятия
Виды угроз
низкая ресурсоотдача;
убыточность работы предприятия;
неиспользование строительных отходов
рост долгов по причине замедления
инкассации дебиторской задолженности;
использование неэффективной кредитной
политики в части дебиторской и
кредиторской задолженности;
отсутствие
собственных
оборотных
средств;
утрата способности к самоокупаемости и
развитию
Наличие
несформированная кадровая политика
квалифицированного
предприятия;
персонала на предприятии
отсутствие мотивации персонала;
конфликтные
ситуации
между
работниками предприятия
Ценовая
политика отсутствие
конкурентного
предприятия
ценообразования
Эффективность маркетинга
отсутствие
элементов
рыночных
исследований;
непродуманная работа с поставщиками
Оценка угроз
max
max
max
min
med

8.

Таблица 10 - Календарный план реализации мероприятий плана
финансового оздоровления ООО «Стройгарантсервис»

п/п
1
Наименование подпрограммы
и мероприятий
Реструктурирование активов
2
Интенсификация производства
3
4
5
Сроки
Ответственные
исполнения, мес.
исполнители
до 01.09.2017
ген. директор
зам
директора
по
в течение 2017
подготовке и надзору за
года
строительством
Совершенствование
структуры
управления и производства
Формирование
финансовых
источников
Реструктурирование задолженности
до 01.11.2017
до 01.12.2017
до 01.12.2017
ген. директор
экономист
по
финансовой работе
ген. директор, экономист
по финансовой работе
Таблица 11 – Статьи баланса ООО «Стройгарантсервис» до и после
оптимизации, тыс. руб.
Показатель
До оптимизации
Внеоборотные
активы (А1)
Оборотные активы
(А2)
Баланс (ВБ)
77757
После оптимизации
Актив
79777
60431
Отклонение (+,-)
+2020
67356
+6925
147133
+8945
-3813
8947
+12760
118187
122947
+4760
23814
15239
-8575
138188
147133
+8945
138188
Пассив
Капитал и резервы
(П1)
Долгосрочные
обязательства (П2)
Краткосрочные
обязательства (П3)
Баланс (ВБ)

9.

А1
+4760
П1
-3813 (+12760)→8947
П=12760 (+11555)
77757 (+4760-2740)→79777
ВБ=147133 (+8945)
П2
118187 (+4760)→122947
Ктл=4,42 (+1,88)
+12760
А2
Ксос = -1,05 (+0,2)
60431 (+12760-5835)→67356
Rакт = 8,67 (+7,77)
-2740
-5835
П3
23814 (-2740-5835)→15239
где А1 - внеоборотные активы; А2 - оборотные активы; П1 - капитал и
резервы; П2 - долгосрочные обязательства; П3 - краткосрочные обязательства;
ВБ-баланс (актив = пассив); Ктл - коэффициент текущей ликвидности; Ксос коэффициент обеспеченности оборотных активов собственным оборотным
капиталам; Rакт - рентабельность активов, %
Рисунок 3 – Схема финансовых потоков ООО «Стройгарантсервис»,
сопряженных с оптимизацией структуры капитала

10.

Таблица 12 - Мероприятия по совершенствованию корпоративной
политики в ООО «Стройгарантсервис»
Проблема
Аспект
Мероприятие
Результат
политики
Не проводится обучение Экономич Направление сотрудников на Повышение
и
повышение еский
курсы
повышения профессионального уровня
квалификации
квалификации,
семинары, работников
сотрудников
тренинги
Отсутствие мероприятий Этически Выдача
сотрудникам Улучшение
состояния
по
оздоровлению й
абонементов в спортивный зал здоровья сотрудников
сотрудников
Предоставление
работникам
путевок
в
санатории
и
пансионаты
Отсутствие
мер Экономич Награждать
сотрудников Повышение
нематериального
еский
грамотами за успехи в работе. заинтересованности
стимулирования
Проводить конкурс «Лучший персонала
в
труде
и
сотрудников
работник года»
продуктивности работы
предприятия
Отсутствие мероприятий Экологич Утилизация отходов
Улучшение экологической
по
вторичной еский
обстановки
в
регионах
переработке сырья
присутствия компании
Отсутствие мероприятий Филантро Благотворительная
помощь Повышение
имиджа
по поддержке социально пский
детскому дому
компании, рост доверия
уязвимых
слоев
потребителей
населения

11.

Таблица 13 - Расчет экономической эффективности предложенных
мероприятий
Мероприятие
Описание
Курсы
повышения квалификации,
семинары,
тренинги
Курсы повышения квалификации для
бухгалтеров и производственных
рабочих;
Тренинги на сплочение команды
Абонементы в
спортивный зал
Путевки в
санатории и
пансионаты
Грамоты
Годовой корпоративный абонемент
стоимостью 10000 р. на одного
сотрудника (всего 30 абонементов)
10 сотрудников ежегодно на неделю.
Стоимость пребывания в санатории за
одни сутки равна 2500 р.
Стоимость одной грамоты в рамке
равна 200 р. В год предполагается
награждать 10 сотрудников
Затраты,
%
тыс. р. увеличен
ия
прибыли
283
2,5
300
3
175
1205
1446
2
1,5
Конкурс
«Лучший работник года»
Выбор лучшего работника года по
определенным критериям
0
Переработка
отходов
Принесет дополнительные денежные
средства в размере от 500 до 1000 тыс.
р. в год
0
5
Благоустройство территории
50
0
810
12
Благотворительн
ая помощь
детскому дому
Итого
Чистый доход,
тыс. р.
2016
2017
+241
English     Русский Rules