Цисплатин
Цель работы: синтез Амминдихлоро(циклогексиламин)дигидроксоплатины (VI)
Синтез амминдихлоро(циклогексиламин)дигидроксоплатины (VI)
Амминтрихлороплатинат (II) калия (2)
Аммин(циклогексиламин)хлороиодоплатина(II) (3)
Аммин(циклогексиламин)дихлороплатина (II) (4)
1Н ЯМР спектроскопия аммин(циклогексиламин)дихлороплатины (II)
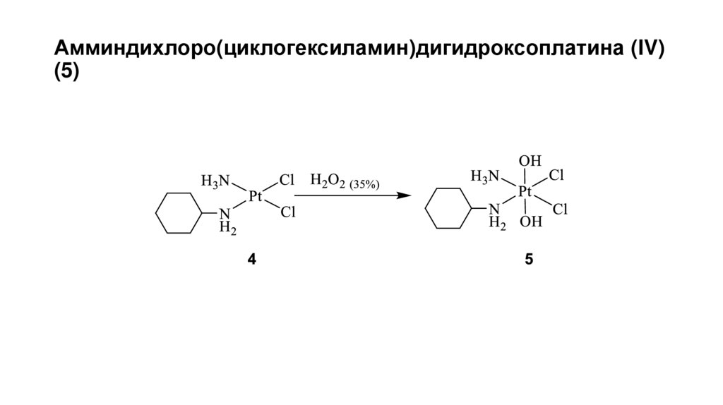
Амминдихлоро(циклогексиламин)дигидроксоплатина (IV) (5)
1Н ЯМР спектроскопия аммин(циклогексиламин)хлороиодоплатины (II)
Выводы:
Спасибо за внимание!
349.82K
Category: chemistrychemistry
Similar presentations:

Синтез. Лаборатория биоэлементоорганической химии

1.

Курсовая работа по неорганической химии
Кафедра медицинской химии и тонкого органического синтеза
Лаборатория биоэлементоорганической химии
Синтез
Амминдихлоро(циклогексиламин)дигидроксоплатина (VI)
Студента 110 группы
Кирпичникова Д.А.
Научные руководители:
к.х.н., доц. Назаров А. А.
к.х.н., н.с. Шутков И.А.
Преподаватель:
к.х.н, ассистент Марикуца А. В.
Москва 2024

2. Цисплатин

3. Цель работы: синтез Амминдихлоро(циклогексиламин)дигидроксоплатины (VI)

4. Синтез амминдихлоро(циклогексиламин)дигидроксоплатины (VI)

5. Амминтрихлороплатинат (II) калия (2)

ЯМР 1H (400.13 МГц, DMSO-d6, δ м.д.): 4.3 (уш, 3Р, NH3).

6. Аммин(циклогексиламин)хлороиодоплатина(II) (3)

ЯМР 1H (400.13 МГц, DMSO-d6, δ м.д.): 4.96 (уш, 2Н, NH2), 4.19 (уш, 3Н, NH3), 2.91 (м, 1Н,
циклогексан), 2.40 (м, 2Н, циклогексан), 1.70 (м, 2Н, циклогексан), 1.54 (м, 1Н, циклогексан), 1.29-
1.11 (м, 5Н, циклогексан).

7. Аммин(циклогексиламин)дихлороплатина (II) (4)

ЯМР 1H (400.13 МГц, DMSO-d6, δ м.д.): 5.58 (д, 1Н, J = 6.8 Гц, NH2), 4.83 (д, 3Н, J = 5.8 Гц, NH3), 3.98 (c, 1Н, NH2),
2.74 (c, 1Н, циклогексан), 2.27 (д, 1Н, J = 10.7 Гц, циклогексан), 2.16 (д, 1Н, J = 7.8 Гц, циклогексан), 1.68 (т, 2Н, J =
24.7, 12.73 Гц, циклогексан), 1.54 (т, 2Н, J = 24.7, 13.2 Гц, циклогексан), 1.29-1.11 (м, 5Н, циклогексан).

8. 1Н ЯМР спектроскопия аммин(циклогексиламин)дихлороплатины (II)

9. Амминдихлоро(циклогексиламин)дигидроксоплатина (IV) (5)

10. 1Н ЯМР спектроскопия аммин(циклогексиламин)хлороиодоплатины (II)

11. Выводы:

• Синтезирован новый комплекс платины (Амминдихлоро(циклогексиламин)дигидроксоплатина (VI)),
который обладает противоопухолевой активностью.
• С помощью метода ЯМР также охарактеризованы вещества, получаемые на разных стадиях синтеза
(Амминтрихлороплатинат (II) калия, Аммин(циклогексиламин)дихлороплатина (II),
Аммин(циклогексиламин)хлороиодоплатина(II), Амминдихлоро(циклогексиламин)дигидроксоплатина
(IV))

12. Спасибо за внимание!

English     Русский Rules