1.35M
Categories: biologybiology chemistrychemistry

Biological neuron model

1.

Axon
terminals
Myelin sheath
Input
Signals
Output
Signals
Dendrites
Axon
Cell nucleus
Schematic of a biological neuron.

2.

3.

g(wTx) = 0
g(wTx)
g(wTx) < 0
g(wTx) ≥ 0
1
x2
wTx
-1
x1

4.

ϕ(wTx) = 0
ϕ(wTx)
ϕ(wTx) < 0
ϕ(wTx) ≥ 0
1
x2
wTx
-1
x1

5.

Not linearly separable
Linearly separable
x2
x2
x2
x1
Not linearly separable
x1
x1

6.

g(wTx)
1
wTx
-1
Unit step function.

7.

1
Weight update
w0
x1
w1
x2 .
w2
.. wm
Error
Σ
Output
Net input
function
Threshold
function
xm
1
Weight update
Error
w0
x1
w1
x2 .
w2
.. wm
Σ
Net input
function
Output
Activation
function
xm
Adaptive Linear Neuron
(Adaline)
Threshold
function

8.

Perceptron
1
Weight update
Error
w0
x1
w1
x2 .
w2
.. wm
Σ
Net input
function
Output
Activation
function
xm
Adaptive Linear Neuron
(Adaline)
Threshold
function

9.

10.

11.

12.

13.

1
x1
x2
w0
w1
w2
.. w
m
.
Error
Σ
Net input
function
xm
Adaline.
Output
Activation
function
Quantizer

14.

1
w0
w1
x1
x2
w2
.. w
m
.
xm
Error
Continuous
Output
Σ
Net input
function
Activation
function
Linear Regression
1
Error
w0
x1
w1
x2 .
w2
.. wm
Σ
Categorical (nominal)
Output
Net input
function
Activation
function
Threshold
function
xm
Adaptive Linear Neuron
(Adaline)

15.

iris_adaline_gd_cost_convergence_1.png
iris_adaline_gd_cost_convergence_2.png

16.

iris_adaline_sgd_cost_convergence_1.png
iris_adaline_sgd_cost_convergence_2.png

17.

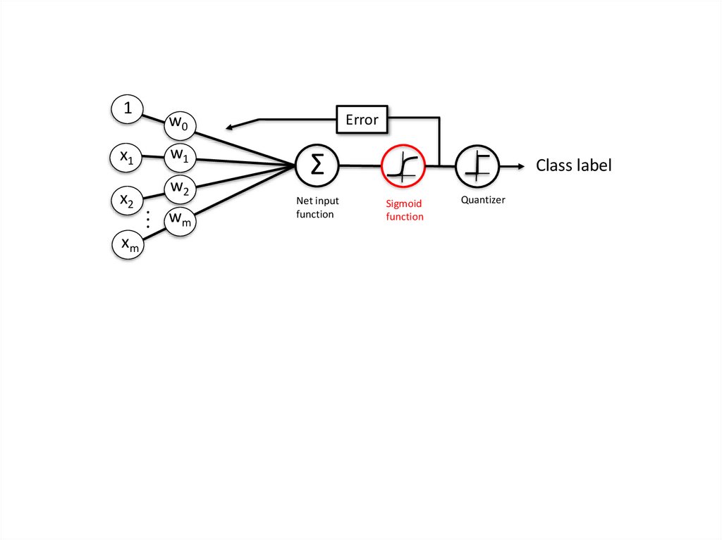
1
x1
x2
xm
w0
w1
w2
.. w
m
.
Error
Σ
Net input
function
Class label
Sigmoid
function
Quantizer

18.

1 2 3
×
4
5
6
= 1×4 + 2×5 + 3×6 = 32

19.

Initial
weight
Gradient
J(w)
Global cost minimum
Jmin(w)
w

20.

Global log-likelihood maximum
lmax(w)
l(w)
w

21.

Initial
weight
J(w)
Gradient
J(w)
Global cost minimum
Jmin(w)
w
w

22.

J(w)
J(w)
w
w
Large learning rate: Overshooting.
Small learning rate: Many iterations
until convergence and trapping in
local minima.

23.

24.

25.

26.

27.

g(wTx)
1
wTx
θ
-1
Unit step function.

28.

Inputs
1
x1
x2
Weights
Net input
function
Activation
function
w0
w1
w2
Σ
.. w
m
.
xm
Schematic of Rosenblatt’s perceptron.
Output

29.

x
2
x
Example of a1linear decision boundary
for binary classification.

30.

31.

1
x1
x2
Error
w0
w1
w2
.. w
m
.
Σ
Net input
function
output
Activation
function
Unit step
function
xm
Schematic of a logistic regression classifier.

32.

1
x1
x2
w0
w1
w2
Weight update
Error
Σ
.. w
m
.
xm
Schematic of a perceptron classifier.
Output

33.

1
x1
x2
w0
w1
w2
Error
Σ
.. w
m
.
xm
Schematic of an Adaline classifier.
output

34.

Unit step
g(z) =
1 if z ≥ 0
-1 otherwise.
g(z) =
1 if z ≥ 0
0 otherwise.
Linear
g(z) = z
Logistic
(sigmoid)
g(z) = 1 / (1 + exp(-z))
Hyperbolic
tangent
(sigmoid)
g(z) = exp(2z) - 1
exp(2z) + 1
...
1
x1
x2
xm
w0
w1
w2
.. w
m
.
Σ
output
A selection of commonly used activation
functions for artificial neurons.

35.

36.

J(w)
Initial
weight
Jmin(w)
w
Schematic of gradient descent.

37.

Global cost minimum
Zero mean and
unit variance
w2
w2
w1
w1
English     Русский Rules