Электротехника и электроснабжение
Литература
Электрические цепи постоянного тока. Основные понятия и определения.
План лекции
Состав электрической цепи
1. Электрические цепи постоянного тока: основные понятия и определения
Основные характеристики электрического тока
2. Плотность тока
Постоянный ток
Неоднородный участок цепи
4. Электродвижущая сила (ЭДС)
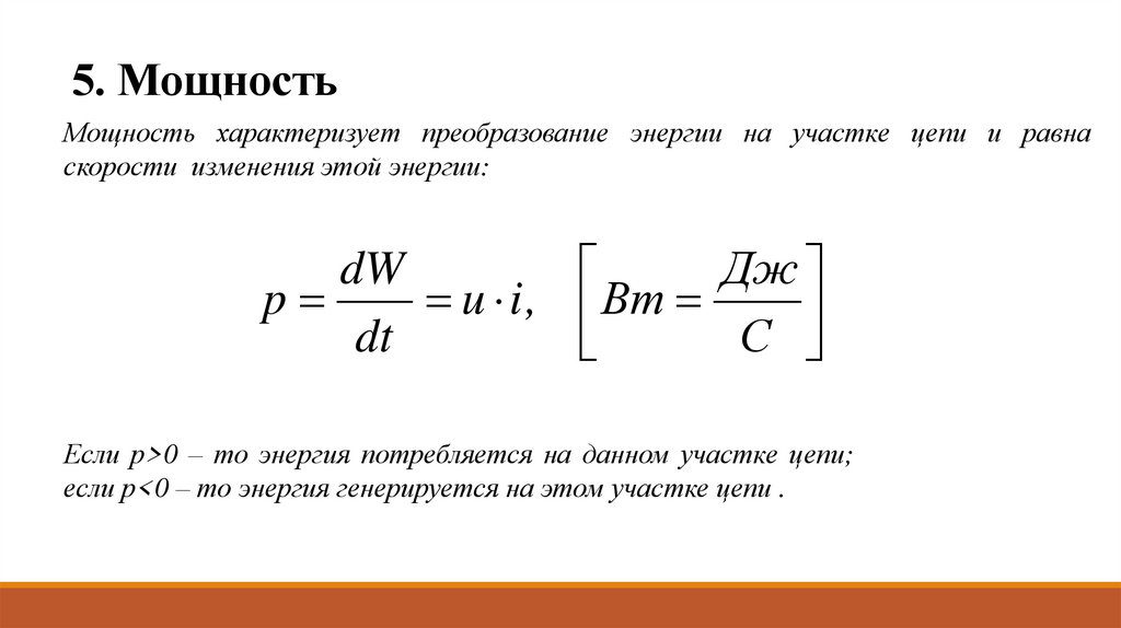
5. Мощность
Основные элементы схем замещения
Реактивные элементы. Емкость
Катушка индуктивности
Активные элементы цепи
НАГРЕВАНИЕ ЭЛЕМЕНТОВ ЭЛЕКТРИЧЕСКИХ ЦЕПЕЙ
Энергетический баланс в электрической цепи
Основные законы электрических цепей
2.61M
Category: physicsphysics

Электрические цепи постоянного тока. Основные понятия и определения

1. Электротехника и электроснабжение

06.05.2025
ГОСУДАРСТВЕННОЕ АВТОНОМНОЕ ОБРАЗОВАЛЬНОЕ УЧРЕЖДЕНИЕ
ВЫСШЕГО ОБРАЗОВАНИЯ АСТРАХАНСКОЙ ОБЛАСТИ
«АСТРАХАНСКИЙ ГОСУДАРСТВЕННЫЙ АРХИТЕКТУРНО-СТРОИТЕЛЬНЫЙ
УНИВЕРСИТЕТ»
Кафедра «Системы автоматизированного
проектирования и моделирования» (САПРиМ)
Электротехника и
электроснабжение
Соболева Вера Владимировна,
к.п.н., доцент кафедры САПРиМ
1

2. Литература

а) основная учебная литература:
1. Касаткин, А.С. Электротехника / А.С. Касаткин, М.В. Немцов. – М.: «Высшая школа». –
2000. – 531с. – ISBN 5-06-003595-6
2. Кузовкин, В.А. Теоретическая электротехника / В.А. Кузовкин. – М.: «Лотос». – 2002. –
475с. – ISBN 5-94010-066-х
3. Кудрин Б.И. Электроснабжение/Б.И. Кудрин. – 2-е изд. – М.: Академия, 2012. – 350с.
4. Ермуратский, П.В. Электротехника и электроника: учебник / П.В. Ермуратский, Г.П.
Лычкина, Ю.Б. Минкин. – Саратов: «Профобразование». – 2017. – 416с. – ISBN 978-54488-0135-8. – [Электронный ресурс] Режим доступа: http://www.iprbookshop.ru/63963.html
06.05.2025
2

3.

06.05.2025
3

4. Электрические цепи постоянного тока. Основные понятия и определения.

ЛЕКЦИЯ №1
06.05.2025
4

5. План лекции

Электрическая цепь: основные понятия и определения; схема
замещения электрической цепи; идеальные элементы.
Основные законы линейных электрических цепей постоянного
тока.

6. Состав электрической цепи

7. 1. Электрические цепи постоянного тока: основные понятия и определения

Электрический ток – это направленное (упорядоченное) движение
заряженных частиц.
Условия существования тока в цепи:
наличие свободных носителей тока (свободного заряда);
наличие электрической силы, вынуждающей их упорядоченно двигаться
F = E·q
7

8. Основные характеристики электрического тока

1. Сила тока
dq
I
dt
1Кл
1
A

8

9.

S
t
q
I
t
q q 0 N
N nV
V S t
За направление электрического тока
принято направление движения положительно
заряженных частиц.
I q0 nS
9

10. 2. Плотность тока

Плотность тока — вектор, абсолютная величина которого равна отношению силы тока,
протекающего через некоторое сечение проводника, перпендикулярное направлению тока,
к площади этого сечения, а направление вектора совпадает с направлением движения
положительных зарядов, образующих ток.
2
j А/ м
dI
j
dS
10

11. Постоянный ток

q
I
t
11

12.

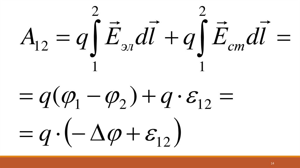
3. Электрическое напряжение
Напряжение - равно отношению работы поля A по перемещению электрического
заряда q к значению этого заряда.
dA
Дж
u
1 2 , B
dq
Кл
Напряжение формируется из: работы электрических сил и работы сторонних сил.
Если на участке цепи не действуют сторонние силы (Аст = 0), то электрическое
напряжение между двумя точками совпадает с разностью потенциалов между
ними:
English     Русский Rules