Задача оптимального управления
Метод динамического программирования Р. Беллмана
1. Многошаговый процесс. Постановка задачи оптимального управления многошаговым процессом.
Многошаговый процесс. Постановка задачи оптимального управления многошаговым процессом.
Многошаговый процесс управления
Процедура расчета конкретного процесса
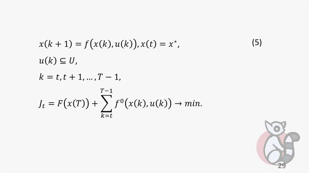
Постановка задачи оптимального управления многошаговым процессом
Постановка задачи оптимального управления многошаговым процессом
Постановка задачи максимизации
Задача оптимального управления
Примеры управляемых многошаговых процессов
Пример 1. Проектирование ракеты
Проектирование ракеты
Проектирование ракеты
Проектирование ракеты
Задача о максимуме скорости космического корабля
Пример 2. Нелинейная транспортная задача
Нелинейная транспортная задача
Нелинейная транспортная задача
Нелинейная транспортная задача
Нелинейная транспортная задача
Постановка транспортной задачи
Принцип оптимальности Беллмана
Элементарный подход
Принцип оптимальности Р. Беллмана
Доказательство
Доказательство
Доказательство
Принцип оптимальности Беллмана
2. Метод динамического программирования, основное функциональное соотношение метода
«Попятная процедура» (прогонка в обратном времени)
Прямая процедура (прогонка в прямом времени)
Программное управление и управление с обратной связью (синтез управления)
ОБСУЖДЕНИЕ
Задача 1. Оптимальное распределение ограниченных ресурсов между предприятиями
Задача 2. Оптимальная политика замены оборудования
3.71M
Category: programmingprogramming

Метод динамического программирования Р. Беллмана. Основное функциональное соотношение метода

1.

Тема 7.
Метод динамического
программирования Р. Беллмана.
Основное функциональное соотношение
метода.

2.

Содержание
1. Понятие многошагового процесса. Постановка задачи
оптимального управления многошаговым процессом. Принцип
оптимальности Р.Беллмана.
2. Метод динамического программирования, основное
функциональное соотношение метода. Прямая и обратная
прогонка.
3. Программное управление и управление с обратной связью
(синтез управления).
2

3. Задача оптимального управления

Оптимальное управление — это задача проектирования системы,
обеспечивающей для заданного объекта управления или процесса
закон управления или управляющую последовательность
воздействий, обеспечивающих максимум или минимум заданной
совокупности критериев качества системы.
3

4. Метод динамического программирования Р. Беллмана

Метод динамического программирования – один из наиболее
известных
математических
управления,
предложен
в
методов
конце
50-х
современной
годов
теории
американским
математиком Ричардом Беллманом.
4

5. 1. Многошаговый процесс. Постановка задачи оптимального управления многошаговым процессом.

Рассматривается управляемая система.
Пусть
English     Русский Rules