Количественные методы управления проектами: CPM и PERT. Метод CPM: диаграмма Гантта, сетевая диаграмма, критический путь,
Пример
Задание
Пути в сети работ (стандартное время выполнения)
Стоимость проекта в соответствии со стандартными значениями составит:
Диаграмма Гантта (по критическому времени выполнения проекта)
Пути в сети работ (критическое время выполнения)
1 вариант оптимизации: увеличиваем работу С на 1 неделю и работу G выполняем в стандартное время
2 вариант оптимизации: увеличиваем работы С и G на 1 неделю, работу F выполняем в стандартное время
3 вариант оптимизации: увеличиваем работу Е - на 1 неделю, работу С и F выполняем в стандартное время
4 вариант оптимизации: увеличиваем работу F - на 1 неделю, работу С и Е выполняем в стандартное время
Стоимость проекта в соответствии с критическими значениями и проведенной оптимизацией составит:
Список источников
1.11M

Количественные методы управления проектами: CPM и PERT. Метод CPM: диаграмма Гантта, сетевая диаграмма, критический путь

1. Количественные методы управления проектами: CPM и PERT. Метод CPM: диаграмма Гантта, сетевая диаграмма, критический путь,

КОЛИЧЕСТВЕННЫЕ МЕТОДЫ УПРАВЛЕНИЯ
ПРОЕКТАМИ: CPM И PERT.
МЕТОД CPM: ДИАГРАММА ГАНТТА, СЕТЕВАЯ
ДИАГРАММА, КРИТИЧЕСКИЙ ПУТЬ, РАСЧЕТ
РАННИХ И ПОЗДНИХ СТАРТОВ И ФИНИШЕЙ
ДЛЯ КАЖДОЙ СТАДИИ ПРОЕКТА
Выполнил:
студент гр. ОАБ 10.03.01-41
Рябов Денис Дмитриевич

2.

Введение
Масштабные проекты требуют слаженной координации
различным видам ресурсов: деньги, люди, материалы.
по
Для облегчения процесса планирования и реализации проектов
были разработаны следующие методы:
• CPM – Сritical Path Method (метод критического пути)
• PERT – Program Evaluation and Review Technique (метод оценки и
анализа проектов)
Данные методы подразумевают наличие неопределенности, и
позволяют оценить сроки и возможности максимально быстрого
завершения проекта без точных данных.

3.

Управление проектом
Управление проектом – профессиональная деятельность по руководству
ресурсами (человеческими и материальными) путем применения методов и
средств управления для успешного достижения заранее поставленных целей в
результате выполнения комплекса взаимосвязанных мероприятий при
определенных требованиях к срокам, бюджету и характеристикам ожидаемых
результатов проекта.

4.

Преимущества применения методов управления проектом
Общие:
• Инвестиции возвращаются быстрее и с большей выгодой
• Своевременное выполнение проекта без перерасхода средств – довольные клиенты
• Быстрое продвижение на рынок, положительная репутация
• Благодаря четкому расписанию, товары и услуги, на производство которых направлен
проект, попадают на рынок именно тогда, когда нужно.
Для участников:
• Правильный выбор цели и правильный путь к цели
• Все требования и пожелания заказчика, особенности, обсуждения и правки отражены
в плане проекта.
• Без четко сформулированного плана члены команды будут тянуть проект в разные
стороны.
• Управление проектом позволяет быстро все нужды и потенциальные проблемы
проекта. Если изменения в ходе работ все же произошли, план позволяет быстро и
эффективно откорректировать курс и оценить последствия этой коррекции.

5.

Диаграмма Гантта
Диаграмма Га́нтта — это тип столбчатых диаграмм (гистограмм), который
применяется для иллюстрации плана, графика работ по какому-либо проекту,
является одним из методов планирования проектов, используется в приложениях
по управлению проектами.

6.

7.

Достоинства диаграммы Гантта
1.
2.
3.
4.
5.
Основными достоинствами диаграммы Гантта являются:
простота построения;
легкость восприятия большинством людей;
возможность использования на любом уровне планирования - от
стратегического до планирования индивидуальных заданий
сотрудникам;
она показывает и последовательность, и продолжительность
действий, что позволяет находить все возможные комбинации их
совмещения;
за счет использования разных цветов при изображении полос можно
выделять более и менее важные виды работ, а так же работы,
которые руководитель должен выполнять сам.

8.

Сетевой график
Метод критического пути (CPM) является частью PERT и опирается
на построение сетевого графика.
Сетевой график – это динамическая модель производственного
процесса, отражающая техническую зависимость и последовательность
выполнения комплекса работ, связывающая их свершение во времени с
учетом затрат ресурсов и стоимости работ, с выделением при этом «узких»
(критических) мест.
Узкое место («бутылочное горлышко», «bottleneck») – процесс
или цепочка процессов, задержка которых приводит к задержке всего
проекта.

9.

Сетевая модель
Сетевая модель (сеть) – это ориентированный
граф без контуров и кратных дуг, элементам
которого сопоставлены числа (то есть с заданной
на графе функцией).
Если числа сопоставлены только
вершинам графа, то сетевая модель
представляет собой отмеченный
граф, если только дугам, то это
взвешенный граф.

10.

Основные
определения
Диаграмма сетевой модели называется сетевым графиком.
Основные элементы сетевой модели
операции (работы)
события
Операцией (работой) называется любое целенаправленное действие, приводящее к
достижению определенных результатов.
Событием называется факт достижения требуемого результата. Событие не имеет
продолжительности во времени. Оно мгновенно и только лишь фиксирует начало или
окончание какой-либо работы.

11.

Критический путь
Критический путь (Сritical path) – длиннейший маршрут на пути от исходного до
завершающего события. Критический путь определяет минимальное время, требуемое
для выполнения всего проекта, и, таким образом, любые задержки на критическом
пути соответственно задерживают достижение завершающего события.
Быстрый проход (Fast tracking) – метод уменьшения общей длительности проекта
путем параллельного выполнения задач, которые в обычной ситуации выполнялись бы
последовательно.

12.

Два вида сетевых моделей
Сетевая модель, ориентированная на события – это сеть, в которой
вершинам сопоставлены события, а дугам – связи между ними.
Сетевая модель, ориентированная на операции – это сеть, в которой
вершинам сопоставлены операции, а дугам – связи между ними.
Сетевая модель, ориентированная на операции и события – это сеть,
в которой вершинам сопоставлены события, а дугам – операции.

13.

Метод PERT
Метод PERT учитывает различные сценарии развития ситуации:
• пессимистический (b);
• оптимистический (a);
• наиболее вероятный (m).
a 4m b
tож
6

14. Пример

ПРИМЕР
Компания "D" - это промышленная фирма, которая
заключила
контракт
о
производстве
партии
станков,
предназначенных к использованию крупным предприятием
обувной промышленности для массового производства обуви.
В таблице перечислены операции, которые необходимо
выполнить в процессе разработки и производства этих станков.

15.

Код
Работа
Непосредс
твенно
предшествующая
работа
время,
недели
стоимость
тыс.
Стандартное
значение
Возможное
сокращение
времени,
недель
Критиче
ское
время,
недель
Дополнит
издержки
сокращен
ия времени на
неделю,
тыс
Разработка сметы затрат
А
-
2
400
1
1
400
Оценка проекта и ее согласование
В
А
1
0
0
1
0
Покупка оборудования
С
В
4
200
2
2
125
Подготовка
конструкторских
проектов
Строительство основного цеха
D
В
6
450
4
2
175
Е
D
3
700
2
1
250
Монтаж оборудования
F
С, Е
3
200
2
1
200
Испытания оборудования
G
F
4
600
3
1
125
Определение типа модели
Н
D
2
0
0
2
0
Проектирование внешнего корпуса
I
D
3
250
1
2
200
Создание внешнего корпуса
J
Н, I
8
600
4
4
100
Конечная сборка
К
G, J
2
450
1
1
250
Контрольная проверка
L
К
2
200
1
1
150
Стоимость работ
4050

16. Задание

ЗАДАНИЕ
1.
2.
Определить стандартные значения общего времени
выполнения и общей стоимости проекта.
Найти минимальное время, за которое можно
выполнить данный проект, и соответствующее ему
минимальное значение стоимости.
Переменные накладные расходы составляют 300 тыс. в
неделю.

17.

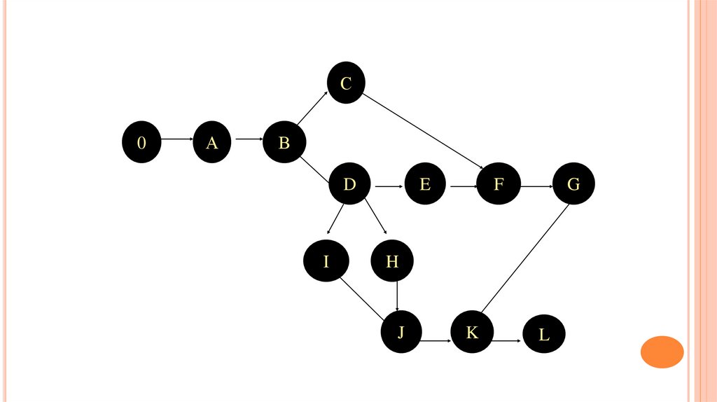
С
0
А
В
D
I
E
F
G
H
J
K
L

18. Пути в сети работ (стандартное время выполнения)

ПУТИ В СЕТИ РАБОТ (СТАНДАРТНОЕ ВРЕМЯ
ВЫПОЛНЕНИЯ)
1) А-B-C-F-G-K-L = 2+1+4+3+4+2+2 = 18
2) А-B-D-E-F-G-K-L = 2+1+6+3+3+4+2+2 = 23
3) А-B-D-H-J-K-L = 2+1+6+2+8+2+2 = 23
4) А-B-D-I-J-K-L = 2+1+6+3+8+2+2 = 24 – критический путь в сети

19. Стоимость проекта в соответствии со стандартными значениями составит:

СТОИМОСТЬ
ПРОЕКТА
СТОИМОСТЬ ПРОЕКТА В СООТВЕТСТВИИ СО СТАНДАРТНЫМИ
ЗНАЧЕНИЯМИ СОСТАВИТ:
(стоимость операций) + (переменные накладные расходы) или
4050 + 24 х 300 = 11250 тыс. рублей

20. Диаграмма Гантта (по критическому времени выполнения проекта)

ДИАГРАММА ГАНТТА
(ПО КРИТИЧЕСКОМУ ВРЕМЕНИ ВЫПОЛНЕНИЯ ПРОЕКТА)
Работы
А
В
С
D
Е
F
G
Н
I
J
К
L
1
2
3
4
5
6
7
8
9
10
11
12

21. Пути в сети работ (критическое время выполнения)

ПУТИ В СЕТИ РАБОТ (КРИТИЧЕСКОЕ ВРЕМЯ
ВЫПОЛНЕНИЯ)
1) А-B-C-F-G-K-L = 1+1+2+1+1+1+1 = 8
2) А-B-D-E-F-G-K-L = 1+1+2+1+1+1+1+1 = 9
3) А-B-D-H-J-K-L = 1+1+2+2+4+1+1 = 12
4) А-B-D-I-J-K-L = 1+1+2+2+4+1+1 = 12 – критические пути в сети
Не лежат на критическом пути работы: С, Е, F, G

22. 1 вариант оптимизации: увеличиваем работу С на 1 неделю и работу G выполняем в стандартное время

1 ВАРИАНТ ОПТИМИЗАЦИИ: УВЕЛИЧИВАЕМ РАБОТУ С НА 1
НЕДЕЛЮ И РАБОТУ G ВЫПОЛНЯЕМ В СТАНДАРТНОЕ ВРЕМЯ
Работы
1
2
3
4
5
6
7
8
9
10
11
12
А
В
С
D
Е
F
G
Н
I
J
К
L
Экономия на работу С и G составит: 125 + 3х125 = 500 тыс. рублей

23. 2 вариант оптимизации: увеличиваем работы С и G на 1 неделю, работу F выполняем в стандартное время

2 ВАРИАНТ ОПТИМИЗАЦИИ: УВЕЛИЧИВАЕМ РАБОТЫ С И G НА 1
НЕДЕЛЮ, РАБОТУ F ВЫПОЛНЯЕМ В СТАНДАРТНОЕ ВРЕМЯ
Работы
1
2
3
4
5
6
7
8
9
10
11
А
В
С
D
Е
F
G
Н
I
J
К
L
Экономия составит: 125 + 2х200 + 1х125 = 650 тыс. рублей
12

24. 3 вариант оптимизации: увеличиваем работу Е - на 1 неделю, работу С и F выполняем в стандартное время

3 ВАРИАНТ ОПТИМИЗАЦИИ: УВЕЛИЧИВАЕМ РАБОТУ Е - НА 1
НЕДЕЛЮ, РАБОТУ С И F ВЫПОЛНЯЕМ В СТАНДАРТНОЕ ВРЕМЯ
Работы
1
2
3
4
5
6
7
8
9
10
11
А
В
С
D
Е
F
G
Н
I
J
К
L
Экономия составит: 2х125 + 1х250 + 2х200 = 900 тыс. рублей
12

25. 4 вариант оптимизации: увеличиваем работу F - на 1 неделю, работу С и Е выполняем в стандартное время

4 ВАРИАНТ ОПТИМИЗАЦИИ: УВЕЛИЧИВАЕМ РАБОТУ F - НА 1
НЕДЕЛЮ, РАБОТУ С И Е ВЫПОЛНЯЕМ В СТАНДАРТНОЕ ВРЕМЯ
Работы
1
2
3
4
5
6
7
8
9
10
А
В
С
D
Е
F
G
Н
I
J
К
L
Экономия составит: 2х125 + 2х250 + 1х200 = 950 тыс. рублей
11
12

26. Стоимость проекта в соответствии с критическими значениями и проведенной оптимизацией составит:

СТОИМОСТЬ
ПРОЕКТА
СТОИМОСТЬ ПРОЕКТА В СООТВЕТСТВИИ С КРИТИЧЕСКИМИ
ЗНАЧЕНИЯМИ И ПРОВЕДЕННОЙ ОПТИМИЗАЦИЕЙ СОСТАВИТ:
(стоимость операций) + (переменные накладные расходы) +
+ (дополнит. издержки на работы) =
= 4050 + 12 х 300 (стоимость операций) + 1 х 400 (работа А) + 0 (B, C) +
+ 4 х 175 (D) + 0 (E) + 1 х 200 (F) + 3 х 125 (G) + 0 (H) + 1 х 200 (I) + 4 х 100
(J) + +1 х 250 (K) + 1 х 150 (L) = 10325 тыс. рублей
или 11275 - 950=10325 тыс. рублей

27.

Работы
1
2
3
4
5
6
7
8
9
10
11
12
3
А
В
С
D
Е
F
G
Н
I
J
К
L
3
4
4
4
4
5
5
4
4
4
3
4
4
4
4
3
3
3
5
5
3
3
3
2
2
2
5
5
5
5
5
5
5
5
Численность
работников
9
1
чел.
5

28.

РАСЧЕТ РАННИХ И ПОЗДНИХ СТАРТОВ
И ФИНИШЕЙ ДЛЯ КАЖДОЙ СТАДИИ
ПРОЕКТА
Стадия
проекта
Описание
Длительность, дни
Предшественник
А
Установить взрывные заряды
5
-
В
Эвакуировать окружение
4
-
С
Подготовить колонну грузовиков
3
-
D
Взорвать здание
1
АВ
Е
Разобрать развалины и вывести
строительный мусор
7
СD
F
Вырыть котлован
12
Е
G
Подвести коммуникации
15
Е
Н
Залить бетон в фундамент
10
F
I
Возвести металлический каркас
8
FG
J
Установить электропроводку
15
I
К
Установить пол и возвести стены
20
I
L
Установить лифты
7
I
M
Провести отделочные работы
14
НJКL
Рассмотрим его на примере проекта
сноса старого здания и постройки на
его месте многоэтажного гаража.
Весь проект содержит ряд крупных
мероприятий. Каждое из которых может
рассматриваться как независимая стадия
проекта,
требующая
собственных
материальных, финансовых и людских
ресурсов. Для каждой стадии должна
быть оценена длительность проведения
работ, исходя из имеющихся ресурсов.
Будем считать, что эти длительности не
подвержены
случайным
вариациям
(условие «полной определенности»), но
могут быть уменьшены путем вложения
дополнительных финансовых средств.
Допустим,
что
менеджер
проекта,
основываясь на знании современных
строительных технологий,
установил
соотношения
«предшественникпоследователь» для стадий проекта:

29.

РАСЧЕТ РАННИХ И ПОЗДНИХ СТАРТОВ И ФИНИШЕЙ ДЛЯ КАЖДОЙ СТАДИИ
ПРОЕКТА
Центральная задача анализа проекта - нахождение критического пути - для простых
проектов может быть решена простым перебором всех путей на сетевой диаграмме.
Метод Критического пути позволяет найти критический путь и допустимые временные
резервы для некритических стадий без перебора путей на сетевой диаграмме и без
обращения к сетевой диаграмме вообще. Для этого необходимо вычислить 2 пары
моментов для каждой стадии:
• ранний старт ЕS и ранний финиш ЕF ;
• поздний старт LS и поздний финиш LF .
Для расчета пары ранних старта и финиша необходимо считать, что каждая стадия
начинается так рано, как только возможно. Если стадия не имеет предшественников, она
должна быть начата в момент t = 0 (например, для стадий А, В и С - Е S = 0). Если стадия
имеет предшественников, она должна быть начата в момент, когда закончен последний
из ее непосредственных предшественников.
ЕS = Максимум из всех ЕF ее предшественников

30.

РАСЧЕТ РАННИХ И ПОЗДНИХ СТАРТОВ И ФИНИШЕЙ ДЛЯ КАЖДОЙ СТАДИИ
ПРОЕКТА
Для расчета пары моментов поздний старт LS - поздний финиш LF необходимо
«пройти» проект в обратном направлении: от финиша до старта. При этом будем
исходить из того, что продолжительность всего проекта зафиксирована.
Таким образом, момент позднего финиша стадии равен минимуму из моментов
поздних стартов всех ее последователей:
LF = Минимум из всех LS ее последователей
Поздний старт стадии равен моменту ее позднего финиша минус длительность
стадии:
LS = LF - Длительность стадии
Те стадии, для которых эти моменты совпадают с моментами соответственно
ранних стартов и финишей, являются критическими.
Разница между ранними и поздними стартами (или финишами) дает такую
важную величину, как временной резерв.
Временной резерв = LF – LS = LS – LF
Для критических стадий временной резерв равен нулю, а для некритических он
больше нуля.

31.

Стадия
Длитель-ность, Предшестдни
венник
ES
EF
LS
LF
Времен-ной
резерв
А
5
-
0
5
0
5
0
В
4
-
0
4
1
5
1
С
3
-
0
3
3
6
3
D
1
А, В
5
6
5
6
0
Е
7
С, D
6
13
6
13
0
F
12
Е
13
25
16
28
3
G
15
Е
13
28
13
28
0
Н
10
F
25
35
46
56
21
I
8
F,G
28
36
28
36
0
J
15
I
36
51
41
56
5
К
20
I
36
56
36
56
0
L
7
I
36
43
49
56
13
M
14
Н, J, К, L
56
70
56
70
0
Критический путь составят следующие стадии: А, D ,
Е, G , I , К, M.

32.

Распределение финансовых ресурсов
Финансирование проекта, как правило, не единовременный процесс. При этом ежедневные
(еженедельные и т.п.) расходы могут быть принципиально ограничены. Эти ограничения могут
вносить существенные коррективы в расписание проекта и влиять на его длительность.
Чтобы дать представление о возникающих при этом осложнениях, рассмотрим распределение
ежедневных расходов по проекту «Снеси–построй» в предположении об их равномерном
распределении по стадиям.
Стадия
Длительность, дней
Издержки, у.е.
Ежедневный расход,
у.е.
A
5
6
1,20
B
4
20
5,00
C
3
1
0,33
D
1
4
4,00
E
7
30
4,29
F
12
42
3,50
G
15
60
4,00
H
10
8
0,80
I
8
15
1,88
J
15
35
2,33
K
20
45
2,25
L
7
20
2,86
M
14
40
2,86
Итого
326

33.

Диаграмма Гантта
Наиболее простым инструментом, позволяющим получить некое наглядное представление о проекте
и определить его длительность, является диаграмма Гантта.
Для построения диаграммы будем изображать стадии прямоугольниками (длины которых
пропорциональны длительности стадий), руководствуясь принципом: начинать так рано, как только
возможно.
В каждой строке таблицы введены ежедневные расходы на проведение работ по данной стадии. В
последней строке просто суммируются числа, что и дает ежедневные расходы по проекту. Результаты
суммирования удобно представить в виде диаграммы.
Аналогично строится диаграмма, соответствующая принципу: начинать так поздно, как только возможно.
Таким образом, менеджер может контролировать фактические затраты по проекту.

34.

В ряде случаев встает вопрос о сокращении длительности проекта. Но какие стадии и на сколько
нужно урезать, чтобы сократить проект на заданное время при минимуме дополнительных затрат?
Для ответа на этого вопрос нужна информация о теоретически возможном сокращении каждой
стадии и о затратах на выполнение каждой стадии проекта за «нормальное» и за «сокращенное» время.
Стадия
Нормальная
длительность
Сокращенная
длительность
Нормальные
издержки
Издержки для
сокр. длительности
Максимальное
сокращение
Цена сокращения
на 1 день
A
5
3
6
8
2
1
B
4
4
20
20
0

C
3
2
1
2
1
1
D
1
1
4
4
0

E
7
5
30
40
2
5
F
12
10
42
50
2
4
G
15
12
60
84
3
8
H
10
8
8
10
2
1
I
8
7
15
18
1
3
J
15
12
35
47
3
4
K
20
16
45
61
4
4
L
7
7
20
20
0

M
14
12
40
50
2
5

35.

ОПТИМИЗАЦИЯ ДЛИТЕЛЬНОСТИ
ПРОЕКТА
Для стадий B, D и L сокращение невозможно. Дополнительные издержки для сокращения на 1 день каждой стадии находятся по
следующей формуле:
Цена сокращения на 1 день = (Cc – Cn) / (Tn – Tc), где
Cc – издержки при сокращенной длительности;
Cn – издержки при нормальной длительности;
Tn – нормальная длительность;
Tc – сокращенная длительность.
В случаях, когда сокращение стадии невозможно, цена сокращения на 1 день принята бесконечно большой (∞).
Анализ зависимости дополнительных издержек от времени сокращения проекта можно провести с помощью данных временных
резервов каждой стадии, руководствуясь следующими принципами:
• сокращать нужно только критические стадии, поскольку длительность проекта равна длине критического пути;
• начинать сокращение проекта нужно с самых «дешевых» позиций, последовательно переходя к более «дорогим»;
• за один шаг сокращать стадию стоит только на 1 временную единицу, поскольку может появиться еще один критический путь, и в
дальнейшем, чтобы сократить проект на 1 день, нужно будет сокращать по одной стадии на каждом из критических путей одновременно.
Оптимизация длительности проекта
Полученная информация полезна для анализа оптимальной величины сокращения длительности проекта, при условии получения
организаторами проекта от этого дополнительной прибыли (премии).
Допустим, что за каждый сэкономленный день организаторы проекта получают премию в 5 у.е. На какое количество дней следует
сократить проект, чтобы получить максимальную прибыль? Для ответа на этот вопрос составим таблицу.
Величину премии вычислим как произведение 5 на количество сокращенных дней проекта, а прибыль – как разность между премией и
издержками. Величина прибыли в начале будет расти, а затем - уменьшаться, поскольку сокращение будет идти, начиная с «дешевых» и
постепенно переходя к более «дорогим».
Сокращение
Издержки
Премия
1
5
2
10
3
15
Прибыль

36. Список источников

СПИСОК ИСТОЧНИКОВ
1. https://studopedia.net/11_39621_sokrashchenie-dlitelnosti-proekta.html
2. https://all-sci.net/optimizatsiya/raschet-rannih-pozdnih-startov-finisheydlya-60888.html
3. https://studfile.net/preview/1098839/page:9/
4. https://studopedia.ru/2_91339_tehnika-upravleniya-proektami-PERT-isrm.html
5. http://www.market-economy.ru/archive/2017-03/06-2017-03-17-24fridlyanov.pdf
6. http://forpm.ru/критический-путь/
English     Русский Rules