Электротехнологические машины и оборудование
Часть 1. Трансформаторы и электрические машины
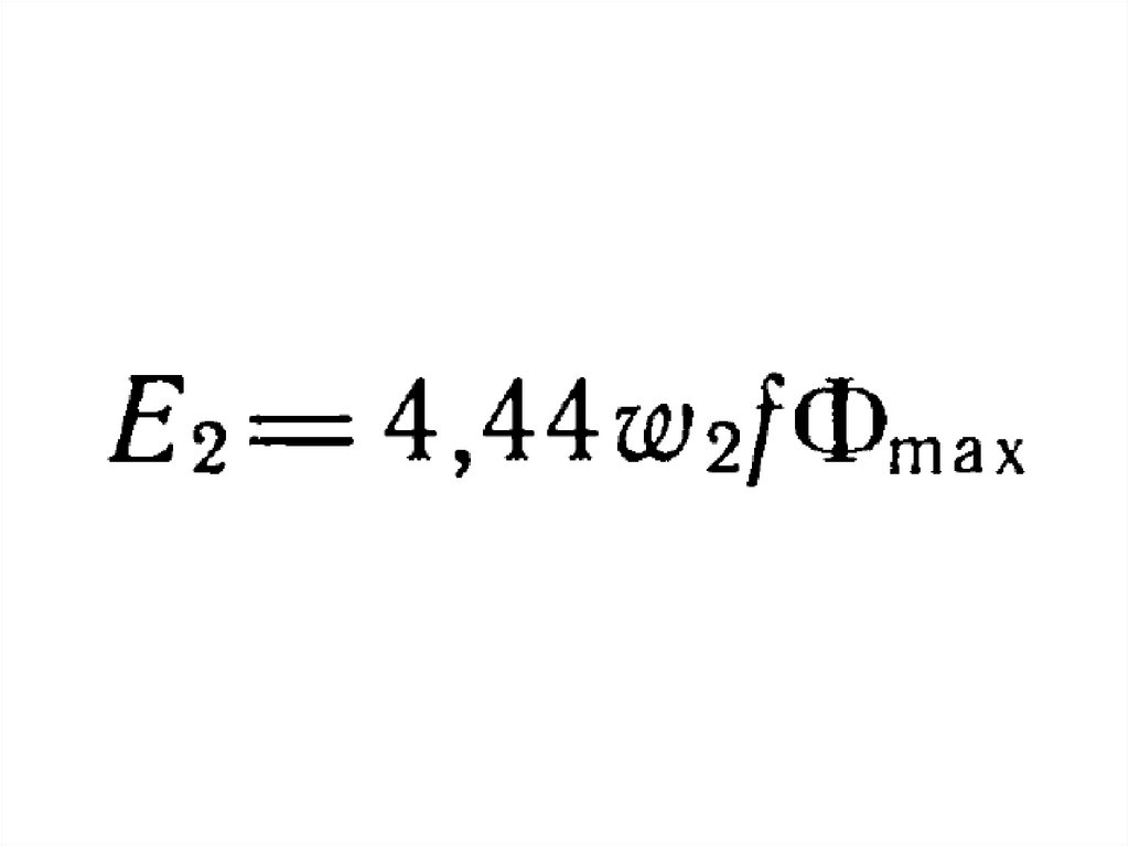
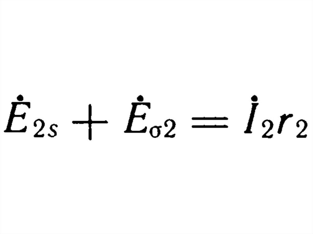
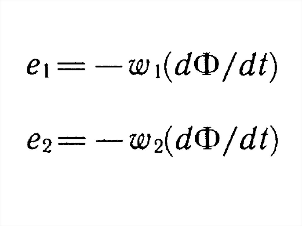
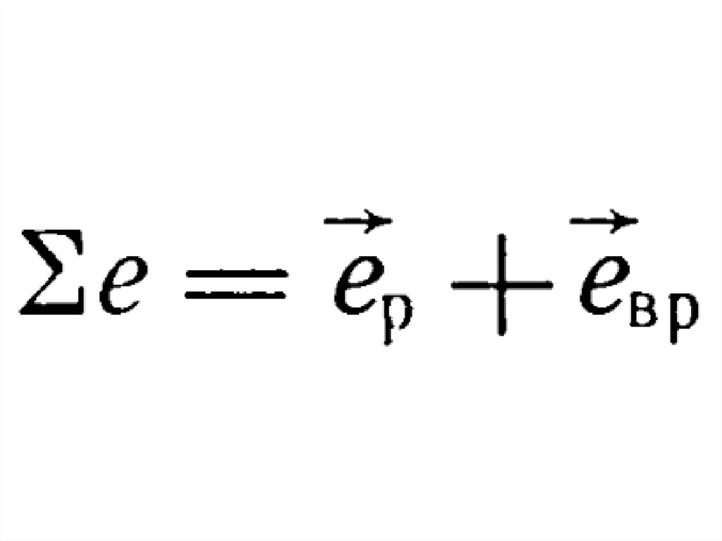
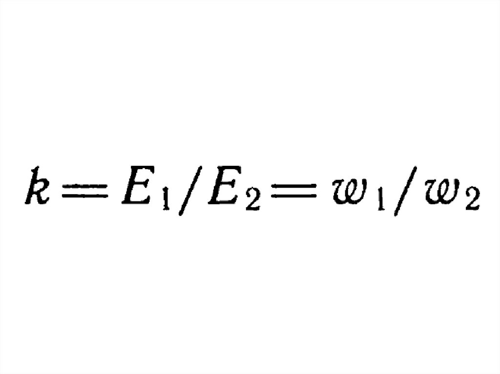
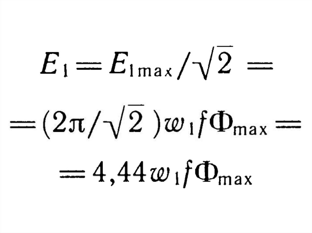
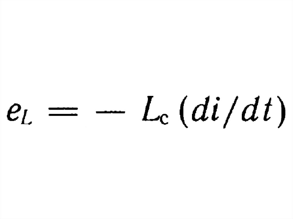
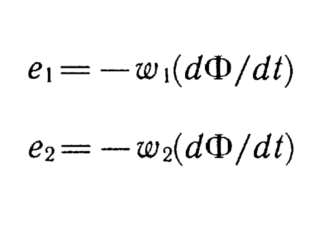
Электромагнитная индукция
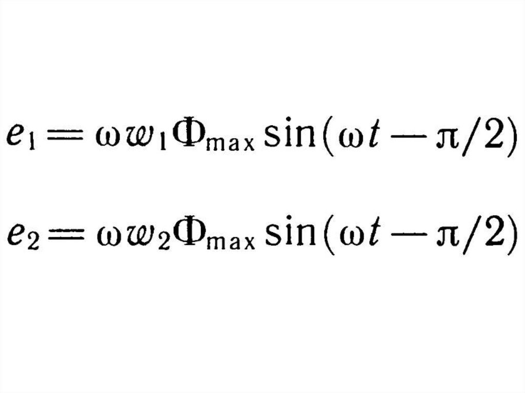
Электромагнитная индукция
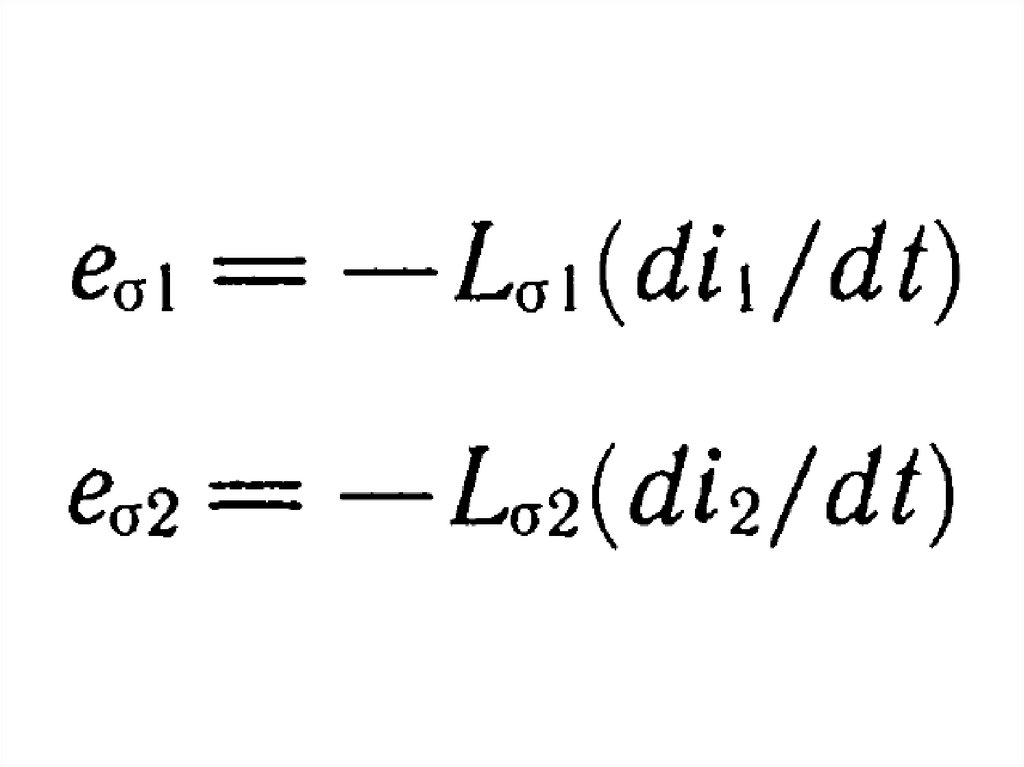
Сила Лоренца и Лапласа
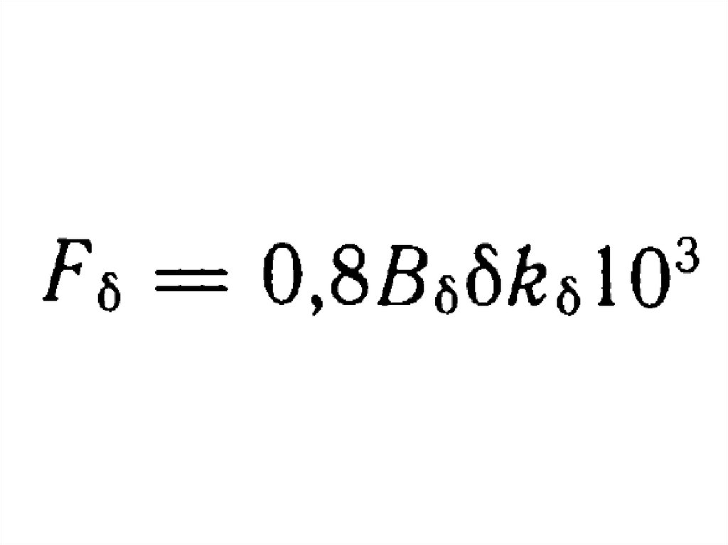
Сила Лапласа
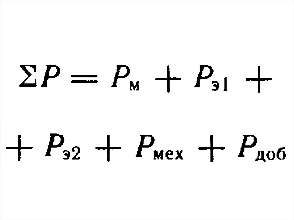
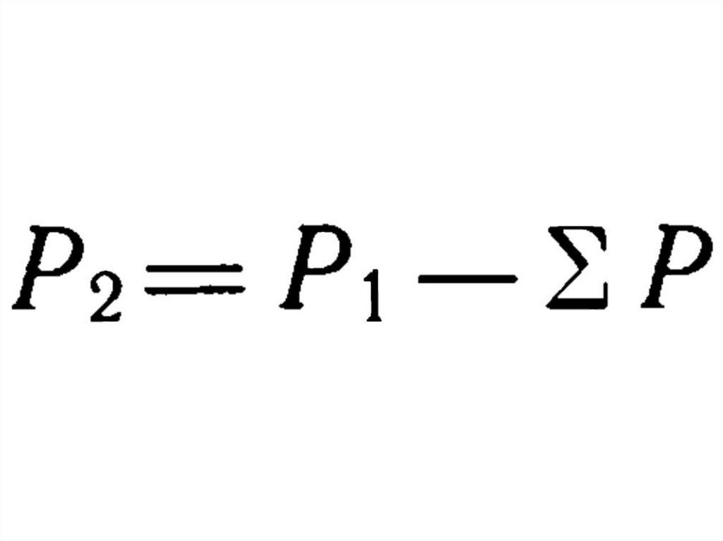
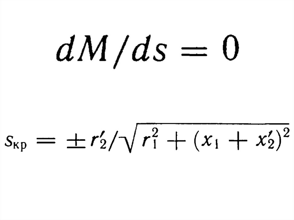
Электрические потери
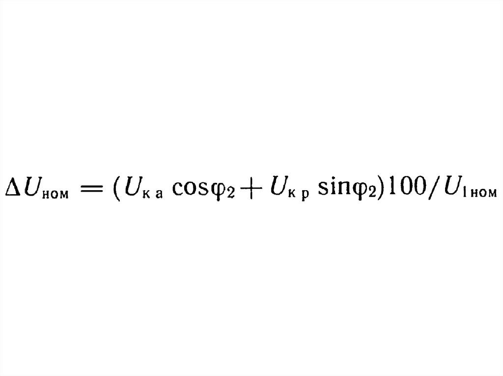
Зависимость потерь трансформатора от его нагрузки
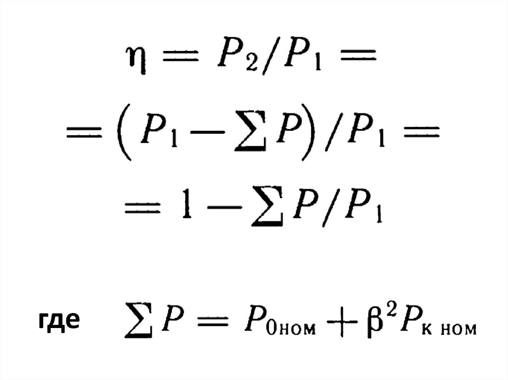
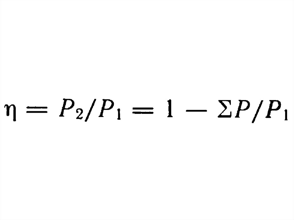
Зависимость КПД трансформатора от его нагрузки
КПД трансформатора
Максимальное значение КПД соответствует равенству магнитных и электрических потерь
тогда
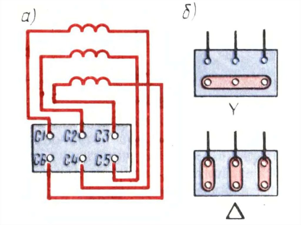
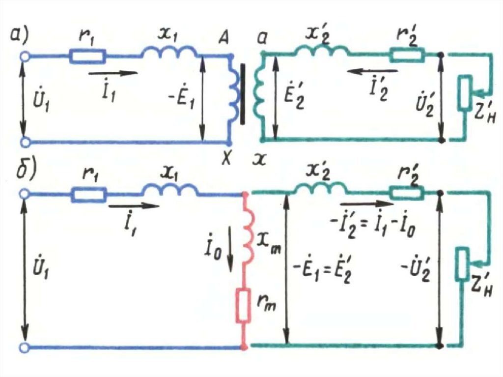
Трансформаторная группа из трех однофазных трансформаторов
Трехфазный трансформатор
Трёхстержневой магнитопровод и векторные диаграммы
Соединение обмоток трансформатора в «зигзаг»
Соотношения линейных напряжений трехфазного трансформатора
Группы соединение обмоток однофазных трансформаторов
Сравнение положения стрелок часов с обозначением групп соединений
Схема соединения обмоток и векторные диаграммы для группы Y/Y - 0
Схема соединения обмоток и векторные диаграммы для группы Y/Y - 6
Схема соединения обмоток и векторные диаграммы для группы Y/Δ - 11
Схема соединения обмоток и векторные диаграммы для группы Y/Δ - 5
Параллельная работа трансформаторов
Условия параллельной работы трансформаторов:
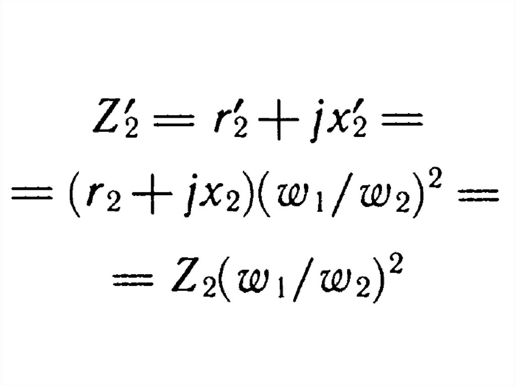
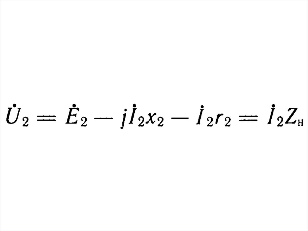
Трехобмоточный трансформатор
Трехобмоточный трансформатор
Трехобмоточный трансформатор
Трехобмоточный трансформатор
Автотрансформатор
Автотрансформатор
Автотрансформатор
Автотрансформатор
Автотрансформатор
Автотрансформатор
Лабораторный автотрансформатор (с переменным коэф. трансформации)
Регулирование напряжения трансформаторов
Регулирование напряжения трансформаторов
Регулирование напряжения трансформаторов с РПН
Темы на самостоятельное изучение:
Достоинства шаговых двигателей:
Достоинства шаговых двигателей:
Недостатки шаговых двигателей:
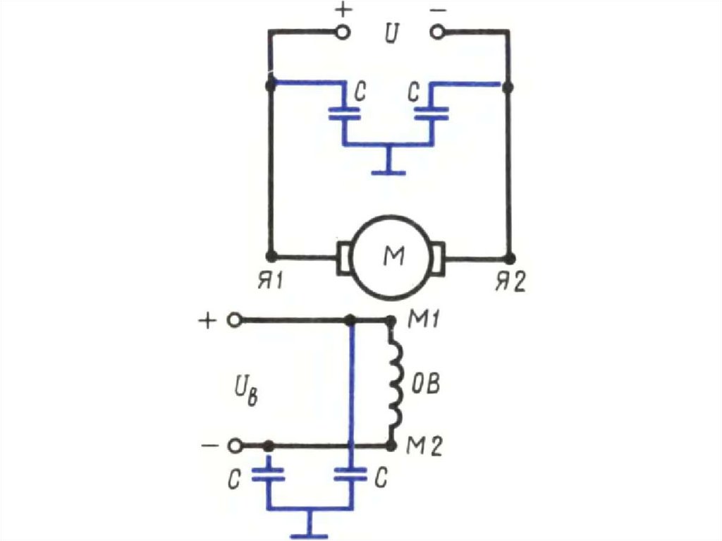
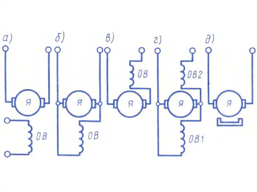
Универсальный коллекторный двигатель
Универсальный коллекторный двигатель
Универсальный коллекторный двигатель
Универсальный коллекторный двигатель
51.28M
Category: industryindustry

Электротехнологические машины и оборудование

1. Электротехнологические машины и оборудование

Лектор - Валиев Рамиль Ильдарович

2. Часть 1. Трансформаторы и электрические машины

3. Электромагнитная индукция

- это явление возникновения электрического тока,
электрического поля или электрической поляризации при
изменении магнитного поля во времени или при движении
материальной среды в магнитном поле.
Электродвижущая сила (ЭДС), возникающая в замкнутом
проводящем контуре, пропорциональна скорости
изменения магнитного потока через поверхность,
ограниченную этим контуром.
Величина ЭДС не зависит от того, что является причиной
изменения потока — изменение самого магнитного поля
или движение контура (или его части) в магнитном поле.

4. Электромагнитная индукция

English     Русский Rules