1.37M
Category: mathematicsmathematics

Исследование функций с помощью производных

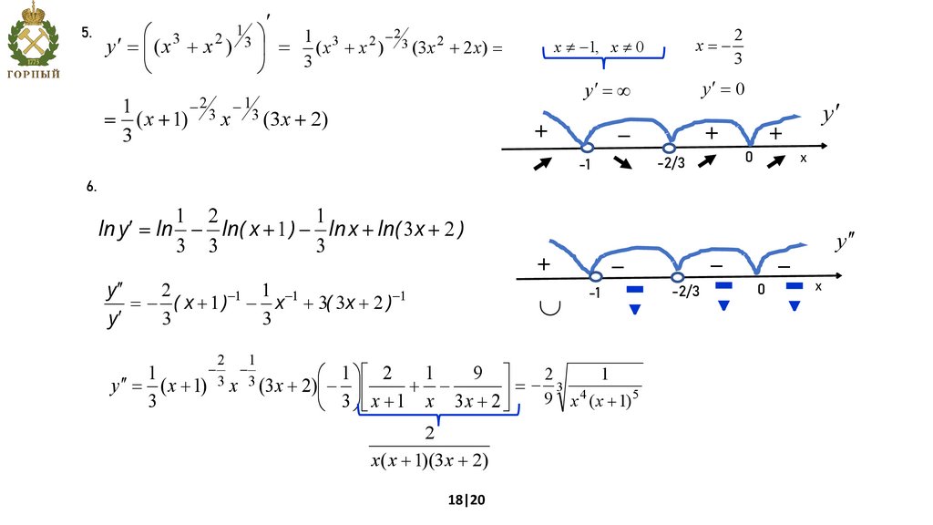
1.

Первое высшее техническое учебное заведение России
Санкт-Петербургский горный университет императрицы
Екатерины II
ДИФФЕРЕНЦИАЛЬНОЕ ИСЧИСЛЕНИЕ
ФУНКЦИЙ ОДНОЙ ПЕРЕМЕННОЙ
ЛЕКЦИЯ 5
Исследование функций с помощью
производных
06.03.2025
1|20

2.

Содержание лекции
• Монотонность функции;
• Необходимое и достаточное условия экстремума;
• Выпуклость и вогнутость графика функции,
• Точки перегиба графика функции;
• Асимптоты графика функции.
2|20

3.

Возрастание и убывание функции
Постоянство f(x): f(x) диф-ма на (a;b), f(x) =const "x Î (a; b) : f ¢( x) = 0
Критерий монотонности дифференцируемой функции
Дифференцируемая функция f(x)
f ¢( x) ³ 0, "x Î (a; b) ( f ¢( x) £ 0)
возрастает (убывает) на (a;b)
Пусть х0 (a,b) – произвольная точка и функция f(x) возрастает
Необходимость
x > x Þ f ( x ) ³ f ( x ) если х (a;b) и х х , f ( x ) - f ( x )
"x Î ( a; b )
0
0
0
x < x0 Þ f ( x ) £ f ( x0 )
то выполняется
неравенство
Достаточность
f ¢( x ) ³ 0 ,"x Î ( a; b )
x - x0
x ® x0
0
при предельном переходе
³ 0 сохраняется знак
нестрогого неравенства
f ¢( x0 )
f ¢( x0 ) ³ 0 ,"x0 Î ( a; b )
Пусть х1, х2 – произвольные точки (a;b), чтобы x1<x2
На [x1; x2] применим теорему Лагранжа: f ( x2 ) - f ( x1 ) = f ¢( c )( x2 - x1 ) ³ 0
>0
с (x1; x2) ³ 0
"x1 , x2 Î ( a; b ) : x1 < x2 Þ f ( x1 ) £ f ( x2 )
3|20

4.

Достаточное условие строгой монотонности
"x Î (a; b) : f ¢( x) > 0 f(x) строго возрастает на (a;b)
"x Î (a; b) : f ¢( x) < 0 f(x) строго убывает на (a;b)
Доказательство:
"x Î ( a; b ) : f ¢( x ) > 0
Пусть х1, х2 – произвольные точки (a;b), чтобы x1<x2
По теореме Лагранжа для [x1; x2] :
с (x1; x2)
f ( x 2 ) - f ( x1 ) = f ¢(c)( x 2 - x1 )
>0
Замечание: Условия f ¢( x ) > 0
(< 0)
функция f(x)=x строго возрастает
3
f ( x2 ) > f ( x1 )
не являются необходимыми
для строгой монотонности
f ¢( x) = 3 x 2
4|20
f ¢(0) = 0

5.

Геометрический смысл критерия
монотонности
в любой точке промежутка возрастания
функции касательная к ее графику
образует с осью Ох острый угол
1< 2< 3
1
2
3
На промежутке убывания функции
– тупой угол
5|20

6.

Экстремумы функций
Т(Ферма): если f(x) достигает в точке х0 локальный экстремум и $f ¢( x0 ), то f ¢( x0 ) = 0
Точка x = x0 называется критической точкой, если имеет место одно из условий: 1) f ¢( x0 ) = 0 ;
2) f ¢( x0 ) = ¥ ; 3) f ¢( x0 ) –не существует, при этом сама функция f (x) в точке x = x0 определена.
острый экстремум
В критической точке касательная:
1) параллельна или 2) параллельна или 3) не существует
оси Ох
оси Оу
Необходимое условие существования
экстремума функции:
Если функция f (x) имеет в точке x0 экстремум,
то это критическая точка функции
¢
f (x ) = 0
1
f ¢ (x ) = ¥
3
обратная теорема не верна: не во всякой критической
точке функции f(x) – существует экстремум
6|20

7.

критические точки
– не экстремумы
Необходимое условие
f (x) дифференцируема в точке x0 и имеет
Если
функция
существования
гладкого экстремума в этой точке гладкий экстремум, то f ¢( x0 ) = 0 .
Доказательство:
f ¢( x0 ) = lim
Dx ® 0
Пусть
f ( x0 ) = max f ( x)
при Dx > 0
<
0
f ( x0 + Dx) - f ( x0 )
Dx
> 0 при Dx < 0
7|20
f ¢( x0 ) = 0

8.

Достаточное условие существования экстремума
через 1-ю производную:
Пусть функция f(x) дифференцируема в некоторой окрестности точки
х0 (кроме, быть может, х0) и непрерывна в точке х0.
Тогда если f ¢(x) при переходе через точку х0 :
1) меняет знак с «–» на «+», то х0 – точка минимума;
2) меняет знак с «+» на «–», то х0 – точка максимума;
3) не меняет знак, то в х0 экстремума нет.
Доказательство: f ¢(x ) при переходе через точку х0 меняет знак с «–» на «+» :
f ¢( x) < 0
x0 - d
f ¢( x) > 0
x0
x0 + d
Теорема Лагранжа
[x;x0]
x < c < x0
<0
<0
f ( x ) - f ( x0 ) = f ¢( c )( x - x0 )
[x0;x]
x0 < c < x
8|20
>0
>0
f ( x) > f ( x0 )
х0 – точка
минимума

9.

Достаточное условие существования экстремума
через 2-ю производную
Пусть в точке
x0 и в некоторой её окрестности функция f (x)
дважды непрерывно дифференцируема и f ¢( x0 ) = 0 . Тогда
Если f ¢¢( x0 ) > 0 , то х0 – точка минимума
Если f ¢¢( x0 ) < 0 , то х0 – точка максимума
Доказательство:
формула Тейлора в окрестности точки х0
f ¢ (x0 )
f ¢¢ (c )
2
f ( x) = f (x0 ) +
(x - x0 ) +
(x - x0 ) , c Î ( x0 , x )
1!
2!
0
<0
f ¢¢(c)
2
f ( x) - f ( x0 ) =
( x - x0 ) .
2!
f ( x) < f ( x0 )
9|20
х0 – точка
максимума

10.

Достаточное условие существования экстремума
через n-ю производную
Пусть существует f
Тогда:
(n)
( n -1)
(n)
¢
¢
¢
f
(
x
)
=
f
(
x
)
=
...
=
f
(
x
)
=
0
,
f
( x0 ) ¹ 0
( x0 ), n > 2 и
0
0
0
1) если n – четное, то при
f ( n ) ( x0 ) < 0 – х точка максимума;
0
f ( n ) ( x0 ) > 0 – х0 точка минимума;
2) если n – нечетное, то х0 не является точкой экстремума.
Наименьшее и наибольшее значения функции на отрезке
f(x) – непрерывна [a, b]
Если достигается во
внутренней точке
существуют
один из локальных
экстремумов
10|20
Поиск min[а,
English     Русский Rules