2.90M
Category:
mathematics
Similar presentations:
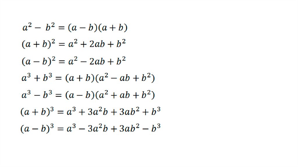
Корни. Формулы
формулы корней квадратного уравнения
Формула корней квадратного уравнения
Формула корней квадратного уравнения
Формула корней квадратного уравнения
Формулы корней квадратных уравнений
Формула корней квадратного уравнения
Формулы корней квадратных уравнений
Формула корней квадратного уравнения
Формула корней квадратного уравнения
Формулы бессмертия корней
1.
English
Русский
Rules