3.96M
Category: chemistrychemistry

Гидроксикислоты

1.

Гидроксокислоты

2.

Гидроксикислоты
(оксикислоты)
Оксикислотами (ОК) называются производные
углеводородов, в молекулах которых одновременно
содержатся гидроксильная и карбоксильная группы.
O
R CH C
OH
гидроксильная
группа
OH
карбоксильная
группа

3.

Классификация ОК
1. По строению углеводородного радикала:
алифатические и ароматические
2. По взаимному расположению функциональных
групп различают α-, β-, γ- и т.д. ОК
3. В зависимости от количества карбоксильных
групп различают одно-, двух- и многоосновные
ОК, а от числа гидроксильных групп (включая
гидроксильную, входящую в состав
карбоксильной) – двух-, трех- и много атомные
кислоты

4.

Номенклатура.
1) По заместительной номенклатуре ИЮПАК
название производят от названия
соответствующей карбоновой кислоты с
префиксом «гидрокси», отмечая положение
ОН-группы арабской цифрой.
2) Используют тривиальные названия
3) Используют локанты α, β, γ и т.д. (в
настоящее время применяется редко).

5.

Изомерия и номенклатура ОК
O
CH2 C
OH
O
CH3 CH C
OH
OH
оксиэтановая (гликолевая)
кислота
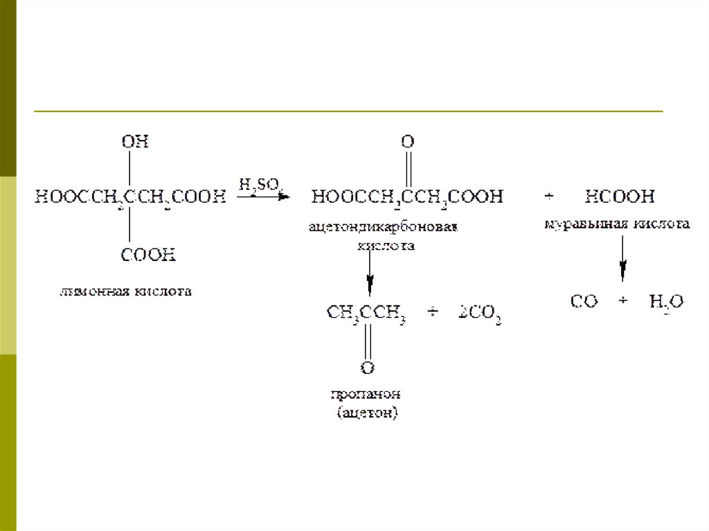
O
O
O
HO
OH
OH
оксипропандиовая
кислота
HO
OH
O
CH2
оксибутандиовая
(яблочная) кислота
OH
OH
OH
C
OH
3-оксипропановая
кислота
O
O
C
OH
CH2
OH
C
OH
COOH
2-оксибензойная
(салициловая) кислота
CH2
2-оксипропановая
(молочная)
кислота
C CH
C CH C
O
HO
CH
CH
OH
OH
C
OH
2,3 - диоксибутандиовая
(винная) кислота
COOH
OH
3,4,5- триоксибензойная (галловая) кислота

6.

7.

8.

Кроме рассмотренных видов изомерии (углеродного
скелета, положению и количеству функциональных
групп), для ОК характерна оптическая изомерия.

9.

Хиральными называют объекты, не имеющие элементов
симметрии (оси, плоскости). Название происходит от
греческого слова «рука».

10.

Условие оптической активности молекулы вещества –
отсутствие симметрии в ней.

11.

12.

13.

14.

15.

Получение α-оксикислот
1. Щелочной или кислотный гидролиз галогенпроизводных кислот (α-галогенпроизводные
легко доступны). В условиях щелочного гидролиза получается соль, которую затем
переводят в кислоту; при кислотном гидролизе срезу получается оксикислота:
CH3
CH COOH
HOH
o
H t
CH3
CH COOH
HCl
OH
Cl
2-хлорпропановая кислота
2-оксипропановая кислота (молочная к-та)
2. Кислотный гидролиз циангидридов (осксинитрилов), которые получают из альдегидов
или кетонов и синильной кислоты:
O
H3C - C - H
H+CN
H3C - CH - CN
OH
2H2O, H+ H C - CH - COOH
3
- NH3
OH
молочная кислота

16.

Получение β-оксикислот
3. Кислотно-каталитической гидратацией непредельных кислот:
O
H2C = CH - C
OH
H+ OH
CH2 - CH2 - COOH
|
OH
OH
OH
акриловая кислота
β-гидроксипропионовая кислота.
Присоединение воды происходит против правила Марковникова. Гидроксигруппа
присоединяется к наиболее удаленному от карбоксильной группы атому углерода.
4. Реакцией Реформатского (1887 г.), который установил, что сложные эфиры α –
галогенкарбоновых кислот в присутствии цинка взаимодействуют с карбонильными
соединениями и образуют сложные эфиры β –гидроксикислот. Последние омылением
можно легко превратить в β –гидроксикислоты.
CH2 - CH = CH
Br - CH2 - COOC2H5
+Zn
Br - Zn - CH2 - COOC2H5
H3C - CH = O
H3C - CH - CH2COOC2H5
|
HOH,
OZnBr
H+
Zn(OH)Br ; -C2H5OH
H3C - CH - CH2 - COOH
|
OH

17.

Технический способ получения
оксикислот - брожение
Ферментативное брожение глюкозы является техническим способом получения
гидроксикислот. Результат реакции зависит от природы используемого фермента (энзима)
Так, при действии плесневых грибов лимоннокислого брожения получается лимонная
кислота:
COOH
enzim
CO2
C6H12O6
HOOC CH2 C CH2 COOH
OH
Для образования систематического названия
лимонной кислоты за основу берётся пропан –
три центральных атома углерода в структуре:
2-гидроксипропан-1,2,3-трикарбоновая кислота
.

18.

Химические свойства ОК
Гидрокислоты содержат две функциональные группы, и их химические свойства
определяются присутствием как карбоксильной, так и гидроксильной групп. Поэтому
гидроксикислоты одновременно проявляют свойства карбоновых кислот и спиртов.
Причем карбоксильная и гироксильная группы могут участвовать в химических реакциях
отдельно, независимо одна от другой, или обе вместе. Так, гидроксикислоты, как
карбоновые кислоты, в водных растворах диссоциируют:
R - CH - COO + H3O+
R - CH - COOH + H2O
OH
OH
Гидроксикислоты, и в первую очередь α – гидроксикислоты, имеют более сильные
кислотные свойства, чем соответствующие им карбоновые кислоты. Причиной усиления
кислотных свойств гидроксикислот является (–) I – эффект спиртовой ОН-группы, которая
обуславливает смещение электронов по системе σ – связей.
δ
CH3
CH
O
δ
C
O H
OH

19.

Свойства карбоксильной группы
Гидроксикислоты, как и карбоновые кислоты, образуют соли, сложные эфиры, амиды и т.д.
Например:
+ NaOH
C2H5OH H C - CH - COOH
H3C - CH -COONa
H3C - CH - COOC2H5
3
- H2O
- H2O
OH
OH
OH
этиловый эфир
молочная
молочнокислый
молочной кислоты
кислота
натрий
(этиллактат)
(лактат натрия)

20.

Свойства спиртовой группы
Гидроксикислоты, вступая в реакции как спирты, образуют алкоголяты, простые эфиры,
замещают гидроксил на галоген. Так, при взаимодействии гидроксикислот со щелочными
металлами сначала образуются соли этих кислот. Которые далее реагируют с этими же
веществами и образуют алкоголяты:
O
H3C - CH - C
+Na
-1/2 H2
O
+Na
H3C - CH -COONa
-1/2 H2
H3C - CH - C
ONa
ONa
OH
Nа-соль
алкоголят молочной
молочной
кислоты (и одноврекислоты
менно соль)
При действии на гидроксикислоты галогенводородов спиртовый гидроксил их молекул
замещается на галоген и образуются соответствующие галогенкислоты:
H2O
H3C - CH - COOH +
HCl
+
H3C - CH - COOH
OH
OH
молочная
кислота
OH
α –гидроксипропионовая
кислота (молочная)
Cl
α-хлорпропионовая
кислота

21.

Рассмотрим на примере гликолевой кислоты
(2-гидроксиэтановая):
Реакция нейтрализации:
CH2
COOH
+ NaOH -H O
2
OH
CH2
COONa
OHгликолят натрия
С аммиаком при to образуются амиды:
CH2
COOH
+ NH3 -H O
2
OH
CH2
C
OH
O
NH2
амид гликолевой кислоты

22.

Взаимодействие с
пентахлоридом фосфора
Пятихлористый фосфор замещает на галоген одновременно как спиртовый гидроксил, так
и гидроксил карбоксила молекулы гидроксикислот и превращает их таким образом в
хлорангидриды хлорорганических кислот:
O
O
CH3
CH
2 PCl5
C
CH3
CH
C
Cl
OH
OH
α –гидроксипропионовая
кислота
Cl
хлорангидрид
α –хлорпропионовой
кислоты
2POCl3
2 HCl

23.

Взаимодействие ОК с диметилсульфатом
по спиртовой группе
При взаимодействии гидроксикислот с диметилсульфатом образуются простые эфиры:
O
O
H3C - CH - C
OH
OH
молочная
кислота
+
(CH3)2SO4
H3C - CH - C
+ CH3O - SO3H
O - CH3 OH
α-метиловый
эфир молочной
кислоты

24.

Окисление ОК
Гидроксикислоты, как и спирты, могут окисляться. Это свойство гидроксикислот
отличает их от карбоновых кислот, которые, как правило, устойчивы к окислению.
Гидроксикислоты,которые содержат первичную ОН-группу, при окислении превращаются
в альдегидокислоты. Гидроксикислоты с вторичной ОН-группой - в кетокислоты:
O
[O]
HO - CH2 - COOH
C -COOH
- H2O
H
гликолевая
кислота
H3C - CH - COOH
OH
O
- H2O
глиоксалевая
кислота
H3C - C - COOH
O
молочная кислота
пировиноградная кислота
Аналогичное окисление молочной кислоты в пировиноградную осуществляется и в живых
организмах.

25.

Специфические реакции
Кроме реакций, которые осуществляются с участием карбоксильной и спиртовой групп,
гидроксикислотам свойственны также специфические реакции, обусловленные взаимным
влиянием двух функциональных групп в их молекулах. Так, α-, β- ,γ- ,δ- и ε гидроксикислоты по-разному превращаются при нагревании. Гидроксикислоты при
повышенных температурах дегидратируются, но в зависимости от взаимного расположения
спиртовой и карбоксильной групп дегидратация их происходит по-разному и с
образованием разных продуктов реакции.

26.

Дегидратация α-гидроксикислот
α-Гидроксикислоты при нагревании отщепляют воду межмолекулярно за счет гидроксила
карбоксильной группы одной молекулы гидроксикислоты и атома водорода спиртовой
группы другой молекулы гидроксикислоты. Продуктами такой дегидратации являются
циклические межмолекулярные сложные эфиры - лактиды. Так, гликолевая кислота в таких
условиях дает кристаллический лактид (2,5-диоксо-1,4-диоксан, или гликолид):
H
O
H
HO
OH
O
O
C
CH
CH
C
H
2H2O +
+
HC
C
C
C
O
OH HO
O
H
O
H
Молочная кислота при дегидратации также образует лактид (3,6-диметил-2,5-диоксо-1,4диоксан):
CH3
O
HO
CH
O
OH
3
O
C
CH
CH
C
H
2H O +
+
2
H3C
HC
C
C
OH HO
O
C
O
H3C
O

27.

Дегидратация β-гидроксикислот
β-Гидроксикислоты при нагревании дегидратируются внутримолекулярно. Вода при этом
отщепляется за счет спиртового гидроксила и весьма подвижного α-водородного атома
метиленовой группы. В результате образуются α-, β - непредельные кислоты. Так, βгидроксипропионовая кислота при этом превращается в акриловую кислоту:
H2C - CH - COOH - H O
2
HO H
H2C = CH - COOH

28.

Дегидратация γ- и δгидроксикислот
γ - и δ-гидроксикислоты при нагревании вступают во внутримолекулярную этерификацию
между спиртовым гидроксилом и карбоксильной группой, образуя внутримолекулярные
циклические сложные эфиры, которые называют лактонами. Так, γ-гидроксимасляная
кислота при дегидратации превращается в бутиролактон (tкип.=204оС ):
O
H2C - CH2 - CH2 - C
- H2O
OH
OH
H2C
CH2
H2C
C=O
O
Реакцию лактонизации гидроксикислот открыл в 1873 г. А.М. Зайцев. Лактоны являются
биологически активными веществами и используются для синтеза кровезаменителей.
Некоторые лактоны имеют приятный запах и их используют в парфюмерии.
ε -Гидроксикислоты и гидроксикислоты с еще более удаленной спиртовой группой при
нагревании вступают в реакции конденсации и образуют при этом линейные полимеры.

29.

Специфические свойства гидроксикислот.
При кипячении с разбавленными минеральными
кислотами отщепляют муравьиную кислоту:
b)
CH 3 CH
OH
COOH
t
O
H
+
CH3 C
H + HCOOH
O
При нагревании α-гидроксикислот с
концентрированной серной кислотой также
происходит образование карбонильных соединений с
одновременным отщеплением воды и оксида
углерода(II) – продуктов разложения муравьиной
кислоты:
c)
пропаналь

30.

Ароматические оксикислоты
Наибольшее значение имеет о-оксибензойная или салициловая кислота. Её получают
способом Кольбе-Шмидта:
ONa
O
C
O
t, p
OH
COONa
твердый
фенолят натрия
Хорошо растворяется в воде, с FeCl3 дает фиолетовое окрашивание, реагирует как фенол
и как кислота.
Легко восстанавливается до пимелиновой кислоты:
OH
OH
C5H11OH Na
COOH
O
H2O
COOH
COOH
COOH
COOH

31.

Ароматические гидроксикислоты.
Фармпрепараты на основе салициловой
кислоты.
1) Метилсалицилат:
Используется как противовоспалительное,
анальгетическое средство наружно (в виде мазей).

32.

Ароматические гидроксикислоты.
2)
Салицилат натрия:
COOH
COONa
OH
+ NaHCO3
OH
+ CO2 + H2O
Применяется в качестве анальгетического,
противовоспалительного, жаропонижающего средства.

33.

Ароматические гидроксикислоты.
3)
Фенилсалицилат (салол):
O
C Cl
COONa
OH
POCl3
OH
O
C OC H
6 5
C6H5ONa
OH
-NaCl
салицилат
салол
натрия
хлорангидрид
салициловой кислоты
Используется как антисептическое средство при
заболеваниях кишечника, а также в качестве
оболочек таблетированных лекарственных средств.

34.

Ароматические гидроксикислоты.
4)
Ацетилсалициловая кислота (аспирин):
COOH
COOH
OH
+
CH 3
C
CH 3 C
O
O
O
C
O
CH 3
+ CH3COOH
O
Ацетилсалициловая кислота используется в
качестве обезболивающего, жаропонижающего
средства.
Салициловая кислота и её производные со
свободной гидроксильной группой дают с раствором
хлорида железа (III) фиолетовое окрашивание,
характерное для фенолов, что используется в
качественном анализе.

35.

36.

37.

38.

39.

40.

41.

42.

43.

Задача 1.
Предложите схему синтеза молочной
кислоты из 2-хлорпропановой кислоты.
Обладает ли полученная кислота
оптической активностью? Какой продукт
образуется при нагревании молочной
кислоты? Напишите схему реакции.

44.

Решение:
Гидроксикислоты получают из
галогенкарбоновых кислот в результате
обработки их щелочью с последующим
взаимодействием образующейся соли
гидроксикислоты с кислотой:
Благодаря наличию в молекуле
асимметрического атома углерода она может
существовать в виде двух оптически активных
энантиомеров:
Так как молочная кислота относится к αгидроксикислотам, то она при нагревании
образует устойчивый шестичленный
циклический диэфир-лактид:

45.

Задача 2.
Какое соединение образуется при
нагревании 3-гидроксибутановой
кислоты? Объясните, почему при
нагревании этой кислоты невозможна
внутри- и межмолекулярная
этерификация?

46.

Решение
3-гидроксибутановая кислота относится к β-
гидроксикислотам, а этим кислотам при
нагревании или под действием минеральных
кислот характерны реакции дегидратации с
образованием α,β-ненасыщенных кислот:
Внутри- или межмолекулярная этерификация в
этом случае невозможна, так как она привела
бы к образованию неустойчивого четырех- или
восьмичленного цикла (лактона и лактида
соответственно).
Направленность реакции определяется
большей подвижностью атома водорода в αположении по сравнению с γ-положением.

47.

Задача 3.
Напишите схему реакций
взаимодействия β-гидроксикислоты с
гидроксидом натрия, этанолом и
аммиаком. Назовите продукты реакции.

48.

Решение
Наличие в молекуле гидроксикислот
карбоксильной и гидроксильной групп
приводит к тому, что эти соединения
вступают в реакции, свойственные как
спиртам, так и кислотам. С гидроксидом
натрия, этанолом и аммиаком реакции
идут по карбоксильной группе:

49.

Задача 4
Напишите схему реакций
взаимодействия α-гидрокислоты с
натрием и пентахлоридом фосфора

50.

Решение
При взаимодействии щелочных металлов с
гидроксикислотами сначала получаются соли,
а затем алкоголяты:

51.

Решение
При действии пентахлорида фосфора
замещается галогеном спиртовой и
кислотный гидроксил:

52.

Задача 5.
Напишите схему расщепления
лимонной кислоты под действием
концентрированной серной кислоты.
Какое карбонильное соединение
получается в результате? Напишите
схему соответствующей реакции.

53.

Решение
Нагревание с серной кислотой приводит
к расщеплению лимонной кислоты на
ацетондикарбоновую и муравьиную
кислоты, которые распадаются далее с
выделением соответственно диоксида и
монооксида углерода:
Процесс распада ацетондикарбоновой
кислоты приводит к образованию
ацетона

54.

55.

Решите самостоятельно
English     Русский Rules