2.11M
Category: informaticsinformatics

Цифровая запись Как работает вычислительная машина

1.

Цифровая запись
Как работает вычислительная машина
1/
17

2.

Цифровой продукт
1. Цифровые файлы, содержащие
специализированные данные,
которые после извлечения
программами преобразуются ЭВМ в
текст, иллюстрации, анимацию, видео
и звук.
2. Программы (алгоритмы) служат для
извлечения данных из файлов.
2/
17

3.

Способы записи данных
Электромагнитная волна
Открытие/закрытие затвора
Намагниченное место
Открытие/закрытие
плавающего затвора
Математическая
модель
Объёмная дорожка
Звуковой импульс
11010010
Дырка
Окрашенная точка
Световой импульс
Электрический импульс
3/
17

4.

Бинарная запись текста
4/
17

5.

5/
17

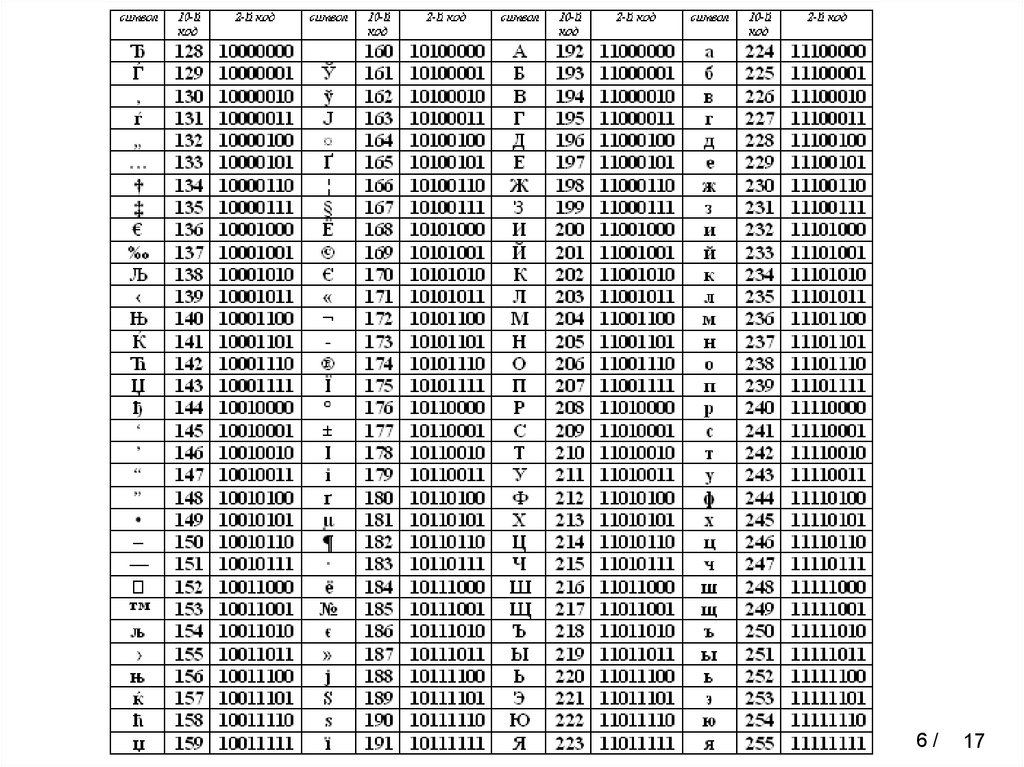
6.

6/
17

7.

Задание
• Напишите своё имя бинарным кодом
знаками кириллицы:
– единицами и нулями (0 и 1),
– точками и пробелами (▪ и ▫).
• Сделайте то же самое латинскими
знаками.
7/
17

8.

Например
• Моё имя Сергей
(кириллицей) –
C
е
р
г
е
й
11010001
11100101
11110000
11100011
11100101
11101001
• Моё имя Serge
(латиницей) –
S
e
r
g
e
01010011
01100101
01110010
01100111
01100101
0101001101100101011100100110011101100101
110100011110010111110000111000111110010111101001
8/
17

9.

Запись текста на компьютере
Электрические сигналы
Клавиатура
Код
Память
ЭВМ
Процессор
ищет
соответствие
Текст
Подстановка
знаков
Кодовая таблица
ASCII
ЭВМ
различает знаки
по коду
Человек
различает знаки
по начертанию
9/
17

10.

Звуковая волна
Громкость
Тихий низкий звук
Громкий высокий звук
10 /
17

11.

Бинарная запись звука
11 /
17

12.

Сигналы: аналоговый и
цифровой
12 /
17

13.

Мультимедийное
оборудование
• Аппаратные средства,
служащие для записи и
воспроизведения
цифровых
мультимедийных
файлов.
13 /
17

14.

Процессы записи и
воспроизведения звука
Запись
Звуковая волна
Воспроизведение
Память ЭВМ
Микрофон
Двоичный код
Переменный
электрический ток
Аудиоадаптер
Аудиоадаптер
Переменный
электрический ток
Двоичный код
Микрофон
Динамик
Память ЭВМ
Звуковая волна
14 /
17

15.

Бинарная запись графики
15 /
17

16.

Кодирование цвета
16 /
17

17.

Спасибо за внимание
С удовольствием отвечу на вопросы
© Сергей Вячеславович Калитин, 2019
17 /
17
English     Русский Rules