475.25K
Category:
chemistry
Similar presentations:
Ионы. Катионы и анионы
Ионная полимеризация. Катионная полимеризация
Адсорбция. Механизм адсорбции
Адсорбция
Адсорбция. Физическая и химическая адсорбция
Адсорбция. Величины адсорбции
Адсорбция. Механизмы адсорбции. Термодинамика адсорбции. Лекция 5
Закономерности адсорбции ионов и адагуляции коллоидных частиц. Самосборка на поверхности. (Лекция 9)
Ионные уравнения реакций. 8 класс
Электролитная адсорбция
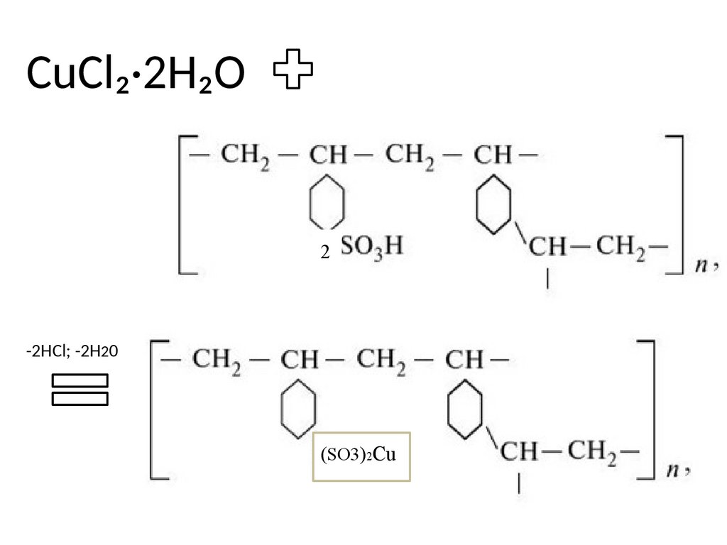
Адсорбция ионов меди на катионите КУ2-8
1.
«Адсорбция ионов
меди на катионите КУ2-8»
Выполнил: ученик 146 группы
Федоров Д.А.
Руководитель: к.х.н , доцент
кафедры ОИНХ
Иванов А.Р.
2.
CuCl₂·2H₂O
Это сине-зеленое твердое вещество, без
CuCl2->
запаха, с плотностью 2,51 г/см3
English
Русский
Rules